Enhancing the Properties of FeSiBCr Amorphous Soft Magnetic Composites by Annealing Treatments
Abstract
1. Introduction
2. Experimental Procedure
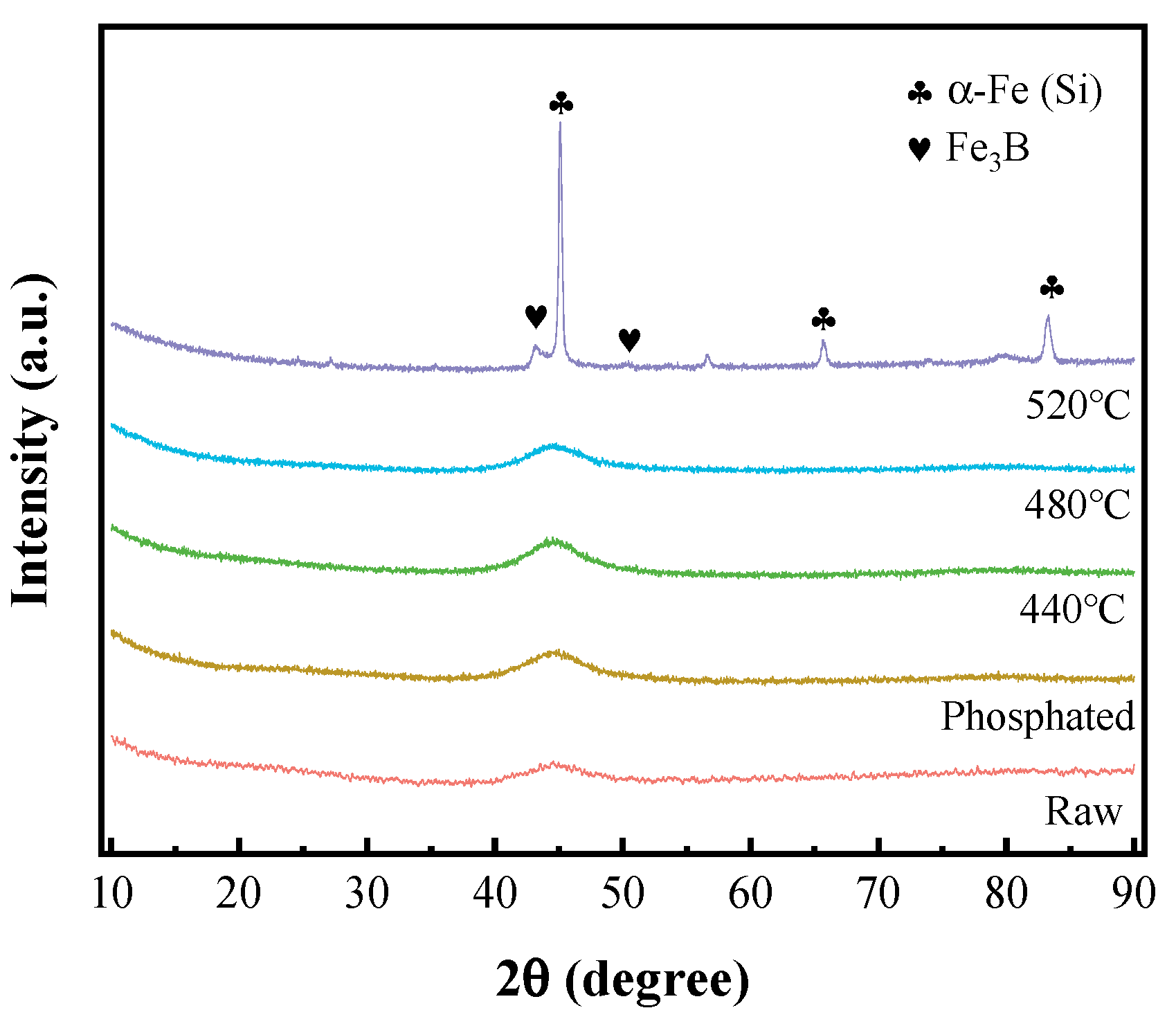
3. Results and Discussion
4. Conclusions
Author Contributions
Funding
Conflicts of Interest
References
- Perigo, E.A.; Weidenfeller, B.; Kollár, P.; Füzer, J. Past, present, and future of soft magnetic composites. Appl. Phys. Rev. 2018, 5, 031301. [Google Scholar] [CrossRef]
- Silveyra, J.M.; Ferrara, E.; Huber, D.L.; Monson, T.C. Soft magnetic materials for a sustainable and electrified world. Science 2018, 362, eaao0195. [Google Scholar] [CrossRef] [PubMed]
- Gutfleisch, O.; Willard, M.A.; Brück, E.; Chen, C.H.; Sankar, S.G.; Liu, J.P. Magnetic materials and devices for the 21st century: Stronger, lighter, and more energy efficient. Adv. Mater. 2011, 23, 821–842. [Google Scholar] [CrossRef] [PubMed]
- Chen, Z.; Liu, X.; Kan, X.; Wang, Z.; Zhu, R.; Yang, W. Phosphate coatings evolution study and effects of ultrasonic on soft magnetic properties of FeSiAl by aqueous phosphoric acid solution passivation. J. Alloys Compd. 2019, 783, 434–440. [Google Scholar] [CrossRef]
- Wang, C.; Liu, J.H.; Peng, X.L.; Li, J.; Yang, Y.T.; Han, Y.B.; Xu, J.C.; Gong, J.; Hong, B.; Ge, H.L.; et al. FeSiCrB amorphous soft magnetic composites filled with Co2Z hexaferrites for enhanced effective permeability. Adv. Powder Technol. 2022, 33, 103378. [Google Scholar] [CrossRef]
- Pittini-Yamada, Y.; Périgo, E.A.; De Hazan, Y.; Nakahara, S. Permeability of hybrid soft magnetic composites. Acta Mater. 2011, 59, 4291–4302. [Google Scholar] [CrossRef]
- Shokrollahi, H.; Janghorban, K. Soft magnetic composite materials (SMCs). J. Mater. Process. Technol. 2007, 189, 1–12. [Google Scholar] [CrossRef]
- Hossain, M.K.; Ferdous, J.; Haque, M.M.; Hakim, A.A. Development of nanostructure formation of Fe73.5Cu1Nb3Si13.5B9 alloy from amorphous state on heat treatment. World J. Nano Sci. Eng. 2015, 5, 107–114. [Google Scholar] [CrossRef][Green Version]
- Hossain, M.K.; Ferdous, J.; Haque, M.M.; Hakim, A.A. Study and characterization of soft magnetic properties of Fe73.5Cu1Nb3Si13.5B9 magnetic ribbon prepared by rapid quenching method. Mater. Sci. Appl. 2015, 6, 1089–1099. [Google Scholar]
- Li, W.; Xiao, S.; Li, W.; Ying, Y.; Yu, J.; Zheng, J.; Qiao, L.; Li, J.; Naoki, W.; Wu, J.; et al. Hybrid amorphous soft magnetic composites with ultrafine FeSiBCr and submicron FeBP particles for MHz frequency power applications. J. Magn. Magn. Mater. 2022, 555, 169365. [Google Scholar] [CrossRef]
- Ouda, K.; Danninger, H.; Gierl-Mayer, C.; Hellein, R.; Müller, A. Ferrothermal reduction of iron(III)phosphate insulating layers in soft magnetic composites. Powder Metall. 2021, 64, 351–359. [Google Scholar] [CrossRef]
- Liu, D.; Wu, C.; Yan, M.; Wang, J. Correlating the microstructure, growth mechanism and magnetic properties of FeSiAl soft magnetic composites fabricated via HNO3 oxidation. Acta Mater. 2018, 146, 294–303. [Google Scholar] [CrossRef]
- Xia, C.; Peng, Y.; Yi, Y.; Deng, H.; Zhu, Y.; Hu, G. The magnetic properties and microstructure of phosphated amorphous FeSiCr/silane soft magnetic composite. J. Magn. Magn. Mater. 2019, 474, 424–433. [Google Scholar] [CrossRef]
- Li, F.C.; Liu, T.; Zhang, J.Y.; Shuang, S.; Wang, Q.; Wang, A.D.; Wang, J.G.; Yang, Y. Amorphous–nanocrystalline alloys: Fabrication, properties, and applications. Mater. Today Adv. 2019, 4, 100027. [Google Scholar] [CrossRef]
- Zhou, B.; Chi, Q.; Dong, Y.; Liu, L.; Zhang, Y.; Chang, L.; Pan, Y.; He, J.; Li, J.; Wang, X. Effects of annealing on the magnetic properties of Fe-based amorphous powder cores with inorganic-organic hybrid insulating layer. J. Magn. Magn. Mater. 2020, 494, 165827. [Google Scholar] [CrossRef]
- Nie, W.; Yu, T.; Wang, Z.; Wei, X. High-performance core-shell-type FeSiCr@MnZn soft magnetic composites for high-frequency applications. J. Alloys Compd. 2021, 864, 158215. [Google Scholar] [CrossRef]
- Dobák, S.; Füzer, J.; Kollár, P.; Fáberová, M.; Bureš, R. Interplay of domain walls and magnetization rotation on dynamic magnetization process in iron/polymer–matrix soft magnetic composites. J. Magn. Magn. Mater. 2017, 426, 320–327. [Google Scholar] [CrossRef]
- Chi, Q.; Chang, L.; Dong, Y.; Zhang, Y.; Zhou, B.; Zhang, C.; Pan, Y.; Li, Q.; Li, J.; He, A.; et al. Enhanced high frequency properties of FeSiBPC amorphous soft magnetic powder cores with novel insulating layer. Adv. Powder Technol. 2021, 32, 1602–1610. [Google Scholar] [CrossRef]
- Wang, J.; Wu, Z.; Li, G. Intergranular insulated Fe/SiO2 soft magnetic composite for decreased core loss. Adv. Powder Technol. 2016, 27, 1189–1194. [Google Scholar] [CrossRef]
- Li, W.; Cai, H.; Kang, Y.; Ying, Y.; Yu, J.; Zheng, J.; Qiao, L.; Jiang, Y.; Che, S. High permeability and low loss bioinspired soft magnetic composites with nacre-like structure for high frequency applications. Acta Mater. 2019, 167, 267–274. [Google Scholar] [CrossRef]
- Guo, Z.; Wang, J.; Chen, W.; Chen, D.; Sun, H.; Xue, Z.; Wang, C. Crystal-like microstructural Finemet/FeSi compound powder core with excellent soft magnetic properties and its loss separation analysis. Mater. Des. 2020, 192, 108769. [Google Scholar] [CrossRef]
- Zhou, B.; Dong, Y.; Liu, L.; Chi, Q.; Zhang, Y.; Chang, L.; Bi, F.; Wang, X. The core-shell structured Fe-based amorphous magnetic powder cores with excellent magnetic properties. Adv. Powder Technol. 2019, 30, 1504–1512. [Google Scholar] [CrossRef]
- Xiaolong, L.; Yaqiang, D.; Min, L.; Chuntao, C.; Xin-Min, W. New Fe-based amorphous soft magnetic composites with significant enhancement of magnetic properties by compositing with nano-(NiZn)Fe2O4. J. Alloys Compd. 2017, 696, 1323–1328. [Google Scholar] [CrossRef]
- Zhang, Y.; Dong, Y.; Zhou, B.; Chi, Q.; Chang, L.; Gong, M.; Huang, J.; Pan, Y.; He, A.; Li, J.; et al. Poly-para-xylylene enhanced Fe-based amorphous powder cores with improved soft magnetic properties via chemical vapor deposition. Mater. Des. 2020, 191, 108650. [Google Scholar] [CrossRef]
- Chang, C.; Dong, Y.; Liu, M.; Guo, H.; Xiao, Q.; Zhang, Y. Low core loss combined with high permeability for Fe-based amorphous powder cores produced by gas atomization powders. J. Alloys Compd. 2018, 766, 959–963. [Google Scholar] [CrossRef]






| Sample | μe | Qmax | Pc (mW/cm3) | References | ||
|---|---|---|---|---|---|---|
| 0.01 T/800 kHz | 0.05 T/100 kHz | 0.1 T/100 kHz | ||||
| FeSiBCr@Phosphate | 36.4 | 44 | 51.3 | 152 | 530.4 | This work |
| FeSiBPC@Fe3O4@EP | 49.5 | 160 | - | 187 | 630 | [15] |
| FeSiBCCr@TiO2 | 81.5 | 102 | - | 275 | 900 | [19] |
| FeSiBP@(NiZn)Fe2O4 | 70 | - | - | - | 1000 | [20] |
| FeSiBPNbCr@PPX | 48 | - | - | 220 | 770 | [21] |
| FeSiBP | 86 | - | - | 200 | 780 | [22] |
| FeSiCr@MnZn | 48 | - | 45 | - | - | [13] |
Publisher’s Note: MDPI stays neutral with regard to jurisdictional claims in published maps and institutional affiliations. |
© 2022 by the authors. Licensee MDPI, Basel, Switzerland. This article is an open access article distributed under the terms and conditions of the Creative Commons Attribution (CC BY) license (https://creativecommons.org/licenses/by/4.0/).
Share and Cite
Yu, H.; Li, J.; Li, J.; Chen, X.; Han, G.; Yang, J.; Chen, R. Enhancing the Properties of FeSiBCr Amorphous Soft Magnetic Composites by Annealing Treatments. Metals 2022, 12, 828. https://doi.org/10.3390/met12050828
Yu H, Li J, Li J, Chen X, Han G, Yang J, Chen R. Enhancing the Properties of FeSiBCr Amorphous Soft Magnetic Composites by Annealing Treatments. Metals. 2022; 12(5):828. https://doi.org/10.3390/met12050828
Chicago/Turabian StyleYu, Hongya, Jiaming Li, Jingzhou Li, Xi Chen, Guangze Han, Jianmin Yang, and Rongyin Chen. 2022. "Enhancing the Properties of FeSiBCr Amorphous Soft Magnetic Composites by Annealing Treatments" Metals 12, no. 5: 828. https://doi.org/10.3390/met12050828
APA StyleYu, H., Li, J., Li, J., Chen, X., Han, G., Yang, J., & Chen, R. (2022). Enhancing the Properties of FeSiBCr Amorphous Soft Magnetic Composites by Annealing Treatments. Metals, 12(5), 828. https://doi.org/10.3390/met12050828
