Polymeric Structure Evolution Behavior Analysis of Aluminosilicate-Based Smelting Slag
Abstract
:1. Introduction
2. Experiment Schemes
3. Results and discussion
3.1. Phase Analysis
3.2. Anion Group Structure Evolution Analysis
4. Conclusions
- (1)
- The CaO–SiO2–Al2O3–MgO quaternary slag system entered the melting state when the temperature was increased to 1773 K, and the main structural units of the polymer were as follows: [Si2O5]2−, [Si2O6]4−, [Si2O7]6−, [SiO4]4−, Si–O–Al, [AlO4]5−, [AlO5]7−, and [AlO6]9−.
- (2)
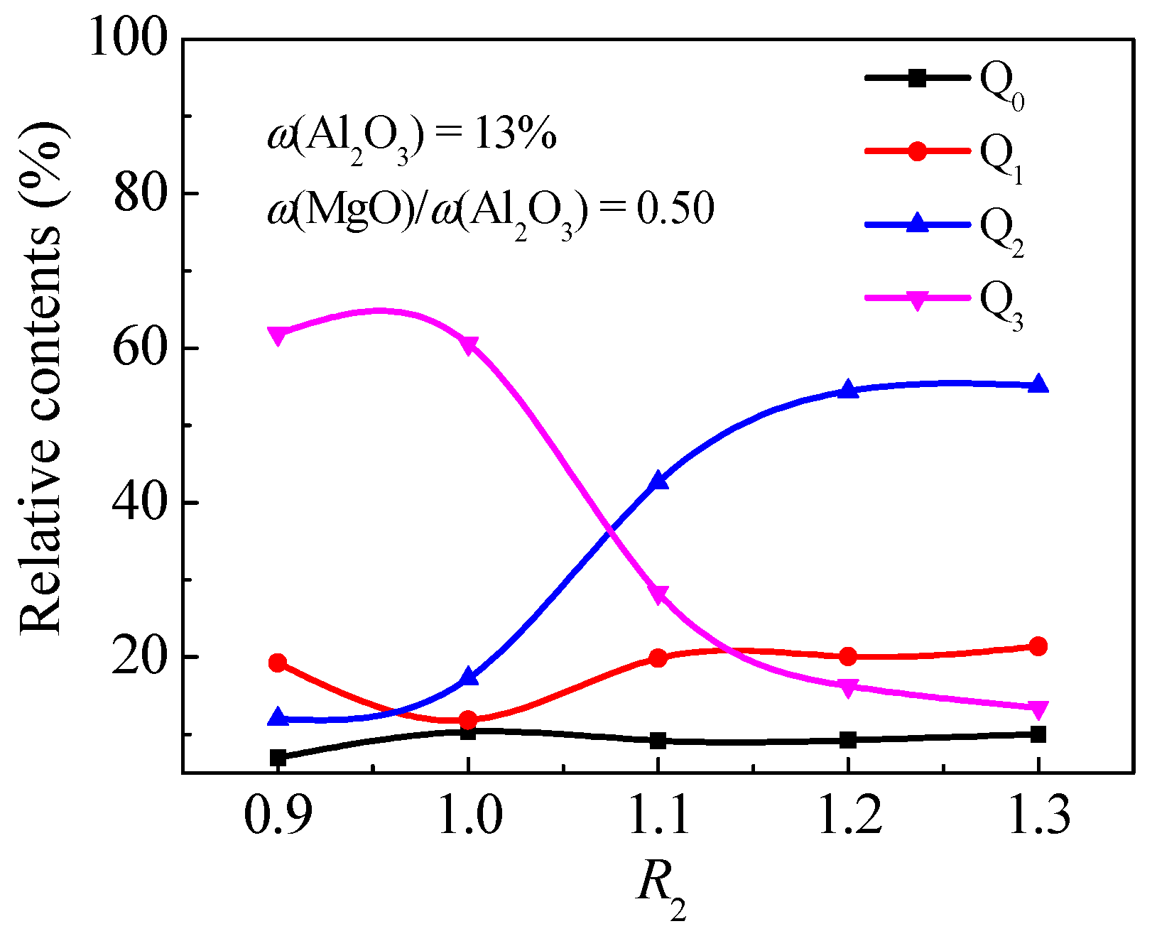
- With the increase of R2 and ω(MgO)/ω(Al2O3), the Q3 structural unit of the silicate anion group changed to Q0, Q1, and Q2, the DOP decreased, and the corresponding peak center position of each structural unit moved gradually to the lower wavenumber region. This indicates that the stability of each structural unit weakened and had a tendency to simplify in structure. The experimental data of the non-bridged oxygen content were compared with the formula in reference documents, and the fitting degree was found to be in agreement.
- (3)
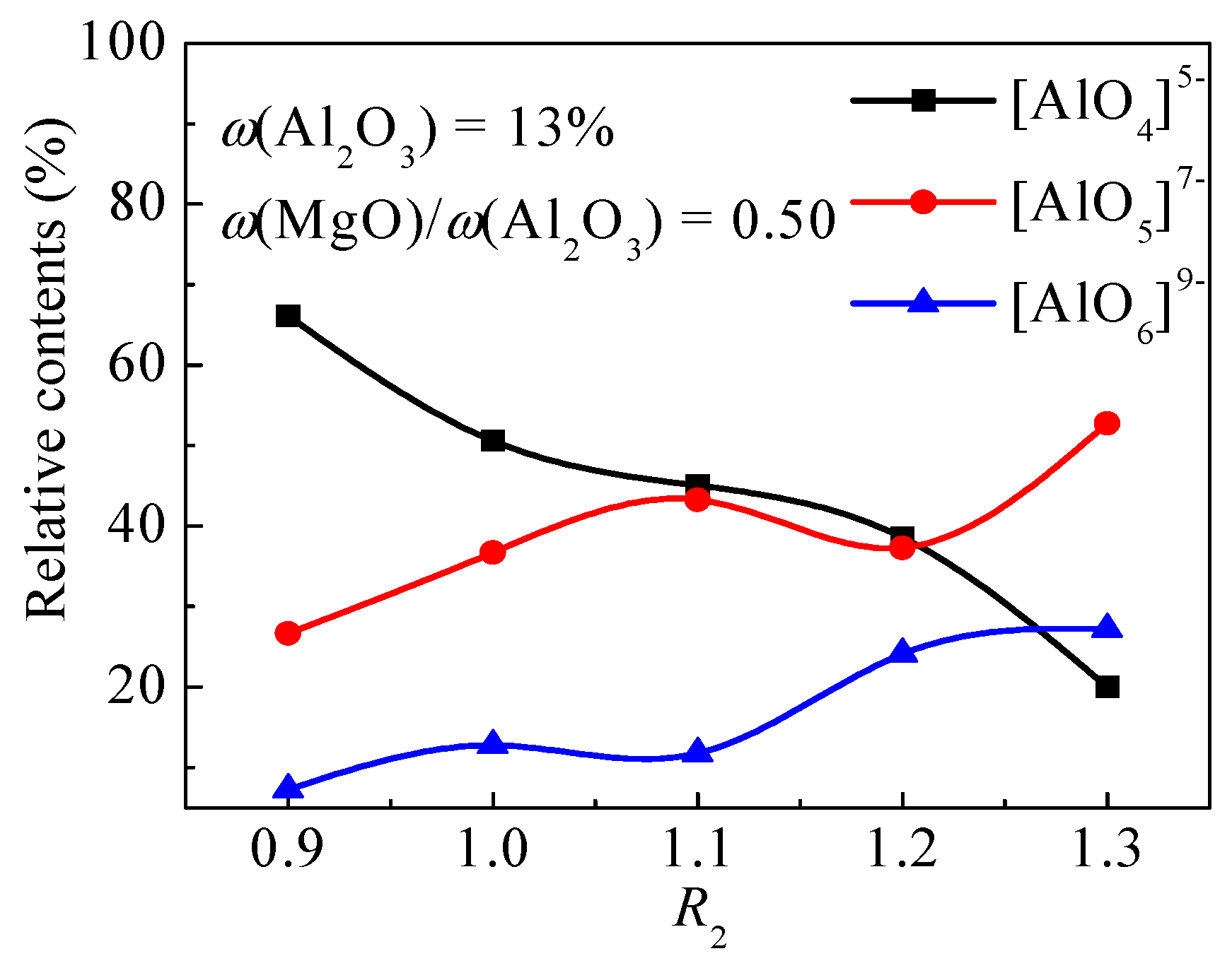
- The 27Al-SS-MAS-NMR results showed that R2 can lead to the transformation of the Al in slag from [AlO4]5− tetrahedral structure to [AlO5]7− pentahedral structure and [AlO6]9− octahedral structure. Increasing the ω(MgO)/ω(Al2O3) ratio is more likely to cause the slag to eventually transform into [AlO6]9− octahedral structure, which functions as a network modifier in the slag structure. This would then reduce the DOP of the slag. In general, when the basicity is controlled within 1.2, especially when the ω(MgO)/ω(Al2O3) ratio is less than 0.55, the fluidity is suitable and energy can be saved in BF production.
Author Contributions
Funding
Institutional Review Board Statement
Informed Consent Statement
Data Availability Statement
Conflicts of Interest
References
- Yao, J.B.; Liu, W.G.; Ju, J.T.; Xing, X.D.; An, J.L. Study on desulfurization capacity of CaO-SiO2-MgO-Al2O3-BaO slag system. J. Iron Steel Res. 2019, 31, 280–285. [Google Scholar]
- Ma, X.D.; Chen, M.; Xu, H.F.; Zhu, J.M.; Wang, G.; Zhao, B.J. Sulphide capacity of CaO-SiO2-Al2O3-MgO system relevant to low MgO blast furnace slags. ISIJ Int. 2016, 56, 2126–2131. [Google Scholar] [CrossRef] [Green Version]
- Zhang, Y.P.; Zhang, J.L.; Mao, R.; Liu, Z.J.; Yuan, X. Thermodynamic analysis of melting temperature and liquid formation of blast furnace slag. J. Iron Steel Res. 2014, 26, 11–15. [Google Scholar]
- Cheng, B.S.; Yang, X.M.; Jiao, J.S.; Li, C.; Guo, H.J. A sulphide capacity prediction model of CaO-SiO2-MgO-Al2O3. ISIJ Int. 2010, 50, 1362–1372. [Google Scholar]
- Taniguchi, Y.; Wang, L.; Sano, N.; Seetharaman, S. Sulfifide capacities of CaO-Al2O3-SiO2 slags in the temperature range 1673 K to 1773 K (1400 °C to 1500 °C). Metall. Mater. Trans. B 2012, 43, 477–484. [Google Scholar] [CrossRef]
- Zhang, G.H.; Chou, K.C. Influence of Al2O3/SiO2 Ratio on viscosities of CaO-Al2O3-SiO2 melt. ISIJ Int. 2013, 53, 177–180. [Google Scholar] [CrossRef] [Green Version]
- Liao, J.; Zhang, Y.; Sridhar, S.; Wang, X.; Zhang, Z. Effect of Al2O3/SiO2 ratio on the viscosity and structure of slags. ISIJ Int. 2012, 52, 753–758. [Google Scholar] [CrossRef] [Green Version]
- Park, J.J.H.; Dong, J.M.; Song, H.S. Amphoteric Behavior of alumina in viscous flow and structure of CaO-SiO2 (-MgO)-Al2O3 Slags. Metall. Mater. Trans. B 2004, 35, 269–275. [Google Scholar] [CrossRef]
- Kim, H.; Matsuura, H.; Tsukihashi, F.; Wang, W.; Min, D.J.; Sohn, I. Effect of Al2O3 and CaO/SiO2 on the viscosity of calcium-silicate–based slags containing 10 mass pct MgO. Metall. Mater. Trans. B 2013, 44, 5–12. [Google Scholar] [CrossRef]
- McMillan, F.P.; Petuskey, W.T.; Coté, B.; Massiot, D.; Landron, C.; Coutures, J.P. A structural investigation of CaO-Al2O3 glasses via 27Al MAS-NMR. J. Non-Cryst. Solids 1996, 195, 261–271. [Google Scholar] [CrossRef]
- Sunahara, K.; Nakano, K.; Hoshi, M.; Inada, T.; Komatsu, S.; Yamamoto, T. Effect of high Al2O3 slag on the blast furnace operations. ISIJ Int. 2008, 48, 420–429. [Google Scholar] [CrossRef] [Green Version]
- Shen, X.; Chen, M.; Wang, N.; Wang, D. Viscosity property and melt structure of CaO-MgO-SiO2-Al2O3-FeO slag system. ISIJ Int. 2019, 59, 9–15. [Google Scholar] [CrossRef] [Green Version]
- Brosh, E.; Pelton, A.D.; Decterov, S.A. A model to calculate the viscosity of silicate melts part IV: Alkali-free borosilicate melts. Int. J. Mater. Res. (Former. Z. Fuer Met.) 2012, 103, 494. [Google Scholar]
- Sarkar, S.B. Electrical conductivity of molten high-alumina blast furnace slags. ISIJ Int. 1989, 29, 348–351. [Google Scholar] [CrossRef]
- Stebbins, J.F.; Kroeker, S.; Lee, S.K.; Kiczenski, T.J. Quantifcation of five- and six-coordinated aluminum ions in aluminosilicate and fuoride-containing glasses by high-field, high-resolution 27Al NMR. J. Non-Cryst. Solids 2000, 275, 1–6. [Google Scholar] [CrossRef]
- McMillan, P.; Piriou, B.; Navrotsky’, A. A raman spectroscopic study of glasses along the joins silica-calcium aluminate, silica-sodium aluminate, and silica-potassium aluminate. Geochim. Et Cosmochim. Acta 1982, 46, 2021–2037. [Google Scholar] [CrossRef]
- Neuville, D.R.; Henderson, G.S.; Cormier, L.; Massiot, D. The structure of crystals, glasses, and melts along the CaO-Al2O3 join: Results from Raman, Al L- and K-edge X-ray absorption, and 27Al NMR spectroscopy. Am. Mineral. 2010, 95, 1580–1589. [Google Scholar] [CrossRef]
- Tian, Y.L.; Guo, S.G.; Sun, S.B. Effect of Al2O3 on Surface Tension of the SiO2-Al2O3-RO-R2O Glass System. Key Eng. Mater. 2014, 633, 322–325. [Google Scholar]
- Kong, W.G.; Liu, J.H.; Yu, Y.W.; Hou, X.M.; He, Z.J. Effect of w(MgO)/w(Al2O3) ratio and basicity on microstructure and metallurgical properties of blast furnace slag. J. Iron Steel Res. Int. 2021, 28, 1223–1232. [Google Scholar] [CrossRef]
- Tang, X.L.; Guo, M.; Wang, X.D.; Zhang, Z.T.; Zhang, M. Estimation model of viscosity based on modified (NBO/T) ratio. J. Univ. Sci. Technol. Beijing 2010, 32, 1542–1546. [Google Scholar]
- Stebbins, J.F.; Oglesby, J.V.; Kroeker, S. Oxygen triclusters in crystalline CaAl4O7 (grossite) and in calcium aluminosilicate glasses:17O NMR. Am. Mineral. 2001, 86, 1307–1311. [Google Scholar] [CrossRef]
- Zhang, R.; Min, Y.; Wang, Y.; Zhao, X.; Liu, C.J. Structural evolution of molten slag during the early stage of basic oxygen steelmaking. ISIJ Int. 2020, 60, 212–219. [Google Scholar] [CrossRef] [Green Version]
- Chang, Z.Y.; Zhang, J.L.; Ning, X.J.; Xu, R.Z.; Bai, X.Q. Effect mechanism of MgO on fluidity of low aluminum slag and thermodynamic analysis. Iron Steel 2018, 53, 10–15. [Google Scholar]
- Novikov, A.N.; Neuville, D.R.; Hennet, L.; Gueguen, Y.; Thiaudière, D.; Charpentier, T.; Florian, P. Al and Sr environment in tectosilicate glasses and melts: Viscosity, raman and NMR investigation. Chem. Geol. 2017, 461, 115–127. [Google Scholar] [CrossRef]
- Dhara, A.; Mishra, R.K.; Shukla, R.; Valsala, T.P.; Sudarsan, V.; Tyagi, A.K.; Kaushik, C.P. A comparative study on the structural aspects of sodium borosilicate glasses and barium borosilicate glasses: Effect of Al2O3 addition. J. Non-Cryst. Solids 2016, 447, 283–289. [Google Scholar] [CrossRef]
- Du, W.F.; Kuraoka, K.; Akai, T.; Yazawa, T. Study of Al2O3 effect on structural change and phase separation in Na2O-B2O3-SiO2 glass by NMR. J. Mater. Sci. 2000, 35, 4865–4871. [Google Scholar] [CrossRef]
- Neuville, D.R.; Cormier, L.; Massiot, D. Al environment in tectosilicate and peraluminous glasses: A 27Al MQ-MAS NMR, Raman, and XANES investigation. Geochim. Cosmochim. Acta 2004, 68, 5071–5079. [Google Scholar] [CrossRef]















| No. | CaO (%) | SiO2 (%) | Al2O3 (%) | MgO (%) | R2 | ω(MgO)/ω(Al2O3) |
|---|---|---|---|---|---|---|
| 1 | 38.1 | 42.4 | 13.0 | 6.5 | 0.9 | 0.50 |
| 2 | 40.2 | 40.3 | 13.0 | 6.5 | 1.0 | 0.50 |
| 3 | 42.1 | 38.4 | 13.0 | 6.5 | 1.1 | 0.50 |
| 4 | 43.9 | 36.6 | 13.0 | 6.5 | 1.2 | 0.50 |
| 5 | 45.0 | 35.5 | 13.0 | 6.5 | 1.3 | 0.50 |
| 6 | 43.2 | 39.2 | 13.0 | 4.6 | 1.1 | 0.35 |
| 7 | 42.9 | 38.9 | 13.0 | 5.2 | 1.1 | 0.40 |
| 8 | 42.5 | 38.6 | 13.0 | 5.9 | 1.1 | 0.45 |
| 9 | 41.8 | 38.0 | 13.0 | 7.2 | 1.1 | 0.55 |
| 10 | 41.5 | 37.7 | 13.0 | 7.8 | 1.1 | 0.60 |
| Structural Units | Connecting Format | Qn | Wave Number (cm−1) | Vibrations |
|---|---|---|---|---|
| [Si2O5]2− | Facet | Q3 | 1100–1050 | Symmetric stretching |
| [Si2O6]4− | Chain and cyclic annular | Q2 | 980–950 | Symmetric stretching |
| [Si2O7]6− | Double polymers | Q1 | 920–900 | Symmetric stretching |
| [SiO4]4− | Single polymer | Q0 | 880–850 | Symmetric stretching |
| [AlO4]5− | - | - | 720–630 | Anti-symmetric bend |
| [AlO6]9− | - | - | 570–520 | Anti-symmetric bend |
| Si-O-Al | - | - | 500 | Symmetric bend |
Publisher’s Note: MDPI stays neutral with regard to jurisdictional claims in published maps and institutional affiliations. |
© 2022 by the authors. Licensee MDPI, Basel, Switzerland. This article is an open access article distributed under the terms and conditions of the Creative Commons Attribution (CC BY) license (https://creativecommons.org/licenses/by/4.0/).
Share and Cite
Liu, J.; Kong, W.; Yang, X.; Wang, Q.; He, Z.; Hou, X. Polymeric Structure Evolution Behavior Analysis of Aluminosilicate-Based Smelting Slag. Metals 2022, 12, 715. https://doi.org/10.3390/met12050715
Liu J, Kong W, Yang X, Wang Q, He Z, Hou X. Polymeric Structure Evolution Behavior Analysis of Aluminosilicate-Based Smelting Slag. Metals. 2022; 12(5):715. https://doi.org/10.3390/met12050715
Chicago/Turabian StyleLiu, Jihui, Weiguo Kong, Xin Yang, Qi Wang, Zhijun He, and Xinmei Hou. 2022. "Polymeric Structure Evolution Behavior Analysis of Aluminosilicate-Based Smelting Slag" Metals 12, no. 5: 715. https://doi.org/10.3390/met12050715
APA StyleLiu, J., Kong, W., Yang, X., Wang, Q., He, Z., & Hou, X. (2022). Polymeric Structure Evolution Behavior Analysis of Aluminosilicate-Based Smelting Slag. Metals, 12(5), 715. https://doi.org/10.3390/met12050715
