Next Article in Journal
Size and Shape Effects on Fatigue Behavior of G20Mn5QT Steel from Axle Box Bodies in High-Speed Trains
Previous Article in Journal
Predicting the Irradiation Swelling of Austenitic and Ferritic/Martensitic Steels, Based on the Coupled Model of Machine Learning and Rate Theory
Previous Article in Special Issue
An Accurate Model of the Corrosion Current Density of Coatings Using an Adaptive Network-Based Fuzzy Inference System
 
 
Font Type:
Arial Georgia Verdana
Font Size:
Aa Aa Aa
Line Spacing:
Column Width:
Background:
Article

Effect of N2–H2 Ratio during Conventional Plasma Nitriding of Intermetallic FeAl40 Alloy on Electrochemical Corrosion Parameters in Sulphuric Acid

1
Institute of Materials Engineering, Technische Universität Bergakademie Freiberg, 09599 Freiberg, Germany
2
School of Materials Science and Engineering, Hanoi University of Science and Technology, Hanoi 10000, Vietnam
*
Author to whom correspondence should be addressed.
Metals 2022, 12(4), 649; https://doi.org/10.3390/met12040649
Submission received: 9 March 2022 / Revised: 4 April 2022 / Accepted: 7 April 2022 / Published: 11 April 2022

Abstract

:
The intermetallic alloy FeAl40 was plasma nitrided at 575 C for 4 h while varying the N 2 –H 2 gas mixture with nitrogen contents f N 2 between 0.1 and 0.9. The effect of the gas mixture on the resulting structure of the nitrided FeAl40 and the associated electrochemical corrosion behaviour in a 0.25 M H 2 SO 4 (pH = 0.3) electrolyte were investigated using different complementary analytical methods such as scanning electron microscopy (SEM), energy dispersive spectroscopy (EDS), X-ray spectroscopy, electron probe microanalysis (EPMA), electrochemical polarisation and electrochemical impedance spectroscopy. Nitriding significantly changed the corrosion mechanism of FeAl40 alloys in acidic environments, ranging from consistently high material loss in untreated base material to strongly inhibited material loss. This phenomenon was the result of a corrosion product layer formed on nitrided FeAl40 during the corrosion process. Therefore, plasma nitriding reduced the corrosion rate to about 5–7 mm/year compared with 22 mm/year of the untreated FeAl40 base material. A high nitrogen content in the N 2 –H 2 plasma of more than f N 2 = 0.3 ensured the formation of protective nitrided layers on FeAl40. In addition, an approach to explaining the effect of the nitrided layer on FeAl materials was presented on the basis of thermodynamic considerations.

1. Introduction

Iron aluminide possesses excellent properties such as a high strength-to-weight ratio, excellent corrosion/oxidation resistance, and low cost [1]. Additionally, it is currently being considered for room-temperature applications, such as a pipe material in chemical plants.
The corrosion resistance of iron aluminides depends on their ability to form a passive film of aluminium and iron oxides on the surface, protecting the underlying alloy from corrosion medium. To date, there have been several published studies on the aqueous corrosion at room temperature of Fe 3 Al- and FeAl-based alloys [2,3,4,5,6,7,8,9,10]. The studies evaluated the corrosion behaviour of such alloys in various corrosion environments [2,3,8,11,12] and the influence of additional alloying elements on their corrosion behaviour, such as Cr, Zr, Ti, Cu, and C [13,14,15,16,17].
However, iron-based intermetallic aluminides still have disadvantageous properties at room temperature, such as low ductility and medium hardness [1]. Therefore, various nitriding processes have been investigated to improve their properties by creating a hard layer with good wear resistance [18,19]. Researchers published the effects of the formed nitrided layer on the properties of these alloys [18,19,20,21]. The obtained hardness of the nitrided layer was up to 1500 HV, much higher than that of the base material, which was around 300–400 HV. Spies et al. also showed that the nitrided samples had a significantly increased wear resistance compared with the initial material [20].
To the knowledge of the authors, the nitrided layer’s effect on the aqueous corrosion behaviour of iron aluminide alloy has not yet been investigated. The formation of a nitrided layer improves the alloys’ mechanical performance; however, the corrosion behaviour of this layer should be studied when the alloys are used in a specific corrosion environment, such as the application of iron aluminides in the combustion chamber of marine engines [22]. The addition of the element nitrogen to the surface’s composition will affect the corrosion behaviour of the alloys.
Therefore, in an attempt to improve the current understanding of the corrosion behaviour of nitrided layers formed on iron aluminide alloys in an acidic media, a B2-FeAl-based alloy was selected to perform plasma nitriding treatments in various N 2 –H 2 plasmas and to investigate the electrochemical corrosion performance in 0.25 M sulphuric acid (H 2 SO 4 ) solution containing naturally dissolved oxygen at room temperature.

2. Materials and Methods

A FeAl40 intermetallic alloy was used for this investigation. The atomic percentage of Al in the alloy was around 40%. Round discs with a diameter of 15 mm and a thickness of 5 mm were used as specimens. All samples were wet ground and then polished with a 1 μ m diamond suspension. Finally, they were cleaned ultrasonically in ethanol to remove contaminants from the surface. Subsequently, the samples were plasma nitrided in a conventional plasma facility introducing various N 2 –H 2 plasmas using a constant total inlet gas flow rate of 100 l/h, where the nitrogen fraction, the ratio of nitrogen flow rate to the total flow rate, was f N 2 . Other parameters were kept unchanged, such as the temperature of 575 C, the nitriding time of 4 h, the chamber pressure of 3 mbar, the applied voltage of 530 V and the duration/pause pulse of 70/70 μ s. Then, the characteristics of the nitrided layer formed on the surface were evaluated by several analysis methods.
Initially, the effect of the treatment condition on the surface morphology was investigated using a scanning electron microscope (SEM) (MIRA 3 XMU, TESCAN, Brno, Czech Republic). Next, the qualitative and quantitative determination of the phases within the nitrided layer were determined with X-ray diffraction (XRD) analysis by a diffractometer (SEIFERT-FPM URD6, Seifert FPM GmbH, Freiberg, Germany) operating in the Bragg–Brentano configuration with both Cu-K α radiation ( λ 1 = 1.54056 Å, λ 2 = 1.54439 Å) and Co-K α radiation ( λ 1 = 1.78897 Å, λ 2 = 1.79285 Å), and data recorded from 2 θ = 20 to 150 . Because of the different penetration depths of the applied radiations, the XRD patterns of Cu radiation provided information about a thin layer (about 5 μ m) on the surface. In contrast, the XRD patterns of Co radiation revealed the characteristics of deeper regions (about 15 μ m) inside the nitrided layer. The qualitative phases present in the patterns were determined by a Search-Match routine (Panalytical HighScore+ V4.5, Malvern Panalytical Ltd., Malvern, UK) involving the ICDD PDF-4+ database (ICDD, Newtown Square, PA, USA). The quantitative phase fractions were then determined by the Rietveld refinement method, carried out in the Maud software (Maud V2.99, University of Trento, Trento, Italy) [23]. Finally, cross-sections of nitrided layers were carefully examined to characterise their microstructure and thickness by using a light optical microscope (Neophot 32, Carl Zeiss GmbH, Jena, Germany). In addition, the microhardness distribution within the nitrided layers was studied by Vickers hardness measurements (HV0.05).
The subsequent electrochemical corrosion tests were performed at 25 C in 0.25 M sulphuric acid (H 2 SO 4 ) solution (pH = 0.3) using an Ametek’s flat-cell and a potentiostat (VSP, Bio-Logic Science Instruments Ltd., Seyssinet-Pariset, France), as shown in Figure 1. A tetrafluoroethylene (TFE) gasket was located at the end cap of the cell’s sample to control the standard exposed electrode with surfaces of 1 cm 2 exposed to the H 2 SO 4 solution. A conventional three-electrode setup was applied with a saturated Ag/AgCl reference electrode (SSC), a platinum mesh as the counter electrode and the nitrided specimen as the working electrode.
Characteristic corrosion measurements were conducted, including potentiodynamic polarisation (PP), linear polarisation resistance (LPR) and electrochemical impedance spectroscopy (EIS).
The PP measurement procedure was performed according to the guidelines of ASTM G5-14 [24]. In the beginning, the open circuit potential (OCP) was measured for 55 min to ensure steady-state conditions. Next, potentiodynamic polarisation was carried out in a potential range from −0.8 to +1.8 V (vs. SSC) with a scan rate of 0.1667 mV/s.
The LPR and EIS measurements were determined to evaluate the corrosion behaviour as well as the corrosion mechanism in dependence on time. Both electrochemical methods were combined to evaluate the samples immersed in 0.25 M H 2 SO 4 solution for a maximum of 24 and 36 h for both the nitrided and non-nitrided samples, respectively. The OCP state was turned between these techniques for at least 5 min to ensure steady-state conditions of the corrosion system for the subsequent measurement.
The LPR data were obtained over 60 min during the test in a potential range of OCP ±30 mV, using a scan rate of 0.1667 mV/s. A potential scan rate of 0.1667 mV/s was adopted in this stage of the experimentation in order to prevent substantial distortions in the polarisation curves to be attained, as previously reported [25,26,27,28]. Thus, no deleterious effects were verified when polarisation parameters were obtained. It is worth noting that the potential scan rate has an important role in order to minimise the effects of distortion in Tafel slopes and corrosion current density analyses [25,26,27,28]. From LPR data, both corrosion current density (j corr ) and corrosion rate (CR) were determined according to the ASTM-G59 standard [29]. The relationship between j corr and CR was displayed by combining the Stern–Geary Equation (Equation (1)) and Faraday’s Law (Equation (2)):
R p = Δ E j j = 0 , d E d t 0 = β a β c 2.303 β a + β c j corr
C R = 3.27 × 10 3 j corr · EW ρ mm / year
where j corr is the corrosion current density in μ A/cm 2 ; R p is the polarisation resistance in Ohm; β a and β c are the Tafel slope constants in volts/current decade; EW is the equivalent weight in g/eq, and ρ is the material density in g/cm 3 (EW = 38.516 g/eq and ρ = 5.9 g/cm 3 were used in this study).
The EIS measurement was conducted in accordance with ASTM G106-89 [30]. The measurements were carried out at the stabilised OCP within a frequency range of 10 6 to 10 2 Hz, applying a sinusoidal excitation signal of 10 mV in amplitude. The EIS data were recorded every 6 h during the immersion test. From the data, equivalent circuit models (ECM) corresponding to the electrophysical processes in the system were determined. These ECMs were used to model the interfaces between alloy and electrolyte in order to describe the corrosion mechanisms that take place in the electrochemical system. The Z-Fit tool of EC-Lab software (EC-Lab V11.3, Bio-Logic Science Instruments Ltd., Seyssinet-Pariset, France) with the “Randomise + Simplex” fitting method (or Simplex Curve-Fitting Algorithm—SCFA) was used as the optimisation method to perform curve fitting for the selected measurement points. Furthermore, the fitting goodness of the models was verified by the χ 2 values [31,32].
All electrochemical corrosion experiments were performed three times to ensure reproducibility.
After corrosion measurements, the corrosion product layer was also evaluated regarding its morphology and chemical composition by scanning electron microscopy (SEM) (MIRA 3 XMU, TESCAN, Brno, Czech Republic) equipped with a probe for the X-ray energy-dispersive spectrum (EDS).

3. Results and Discussion

3.1. Microstructure and Phases Analyses of Nitrided Layer

The surface morphology, chemical composition and formed phases greatly influence the corrosion behaviour of metallic surfaces. For plasma nitriding, the mentioned surface’s properties are affected by the applied nitriding parameters, among which the N 2 –H 2 gas mixture is a critical influencing parameter.
Figure 2 shows a typical structure of the nitrided layer formed on FeAl40 material, including a white compound layer and a diffusion layer. Le et al. [19] reported a similar structure for gas-nitrided iron aluminide. In addition, several other published results also show that the white compound layer is mainly composed of iron nitrides formed on the sample surface [19,33]. In addition, the phase composition of the diffusion layer is a mixture of several phases such as AlN, FeAl, Fe bcc and iron nitride phases [18,21,33]. The concentration of the element N is nearly constant throughout this diffusion layer [18,21,33]. Furthermore, a sharp interface between the substrate and diffusion region is observed, corresponding to the sudden decrease in N concentration [18,21,33].
Table 1 presents the characteristics of the nitrided layers formed as a function of N 2 –H 2 input gas composition determined by metallography and microhardness measurements. As a result, the obtained nitrided layer is very thin (4 μ m) with a minimum f N 2 of 0.1. However, with increasing N 2 concentration (f N 2 ) in the nitriding atmosphere, the nitrided layers are formed significantly on the samples under the experimental plasma nitriding conditions. They have a similar microstructure which includes a white compound and diffusion layers. In addition, their thickness reaches a range of 41 to 51 μ m, corresponding to constant microhardness values between 1400 and 1500 HV0.05.
Figure 3 shows SEM images of the surface morphology of the initial non-nitrided state and after plasma nitriding, which depends on the composition of the N 2 –H 2 input gas mixture. For the nitrided samples (Figure 3b–f), nitrides form on the top surface. The shape, size and extent of the nitride phases change with increasing nitrogen content (f N 2 ) towards larger particles, clearly reflecting the influence of the changing gas composition. For the lowest f N 2 of 0.1 investigated (Figure 3b), the observed nitride particles have a nanometer-scaled “worm” structure. In contrast, with increasing f N 2 in the range greater than and equal to 0.3 up to 0.9 (Figure 3c–f), the compound layers formed on the surfaces of the nitrided samples and their microstructure were similar.
Figure 4 presents the nitrogen content and its diffusion depth in the nitrided layers as a function of the inlet nitrogen fraction (f N 2 ) determined by the EPMA method. The results show that the concentration of nitrogen in the diffusion layer reaches a value of 30 at.% N in all nitrided layers generated with N 2 –H 2 plasmas where the nitrogen levels (f N 2 ) exceeded 0.3 of the inlet gas. This value of N remains stable throughout the diffusion layers. Furthermore, the diffusion depths of N are also comparable for these gas ratios. To the contrary, in the case of f N 2 of 0.1, the nitrided layer exhibits a low nitrogen content, and the diffusion depth of nitrogen is shallow. The EMPA results are consistent with the microstructural analysis (cf. Table 1). The plasma device’s operating records also indicate that a plasma power density, measured with f N 2 of 0.1, is the lowest compared with all treatments performed (cf. Table 1). It means that the driving force and kinetics for the formation, absorption and diffusion of nitrogen atoms from the plasma nitriding environment to penetrate the iron aluminide substrate are too low in the case of nitrogen deficiency. Accordingly, the plasma power density increases proportionally with increasing nitrogen content in the inlet gas.
Table 2 provides the phase fractions of the nitrided layers analysed by XRD measurements using both Cu and Co radiation. Although the penetration depth of Cu-K α radiation is low (about 5 μ m), the obtained analytical results are still affected by information belonging to the diffusion region. Therefore, these results obtained by Cu radiation are only used in order to give hypothetical statements on the phase composition of the compound layer. In contrast, the penetration depth of Co-K α radiation is about 15 μ m, so the obtained signals provide reliable information about the phase composition of the diffusion layer. Quantitative phase analysis was conducted by the Rietveld refinement with Maud software.
The results of XRD analysis applying Cu radiation show that the compound layer consisted of a γ -Fe 4 N phase, without the existence of an ϵ -Fe 2 - 3 N phase. In addition, based on the results of XRD Co radiation, one can conclude that the phase compositions of the diffusion region of the nitrided layers formed by applying various N 2 –H 2 gas ratios are comparable. For the nitrided layers generated under the conditions of f N 2 ≥ 0.3, the XRD results of Co-K α radiation confirm that the diffusion layers consist of ∼65 vol.% of AlN, ∼35 vol.% of Fe bcc and FeAl phases (cf. Table 2). The different result in terms of the determined phase composition in the case of the lowest nitrogen supply (f N 2 = 0.1) is due to the low thickness of the generated nitrided layer and the resulting increased detected volume of the iron aluminide substrate.

3.2. Polarisation Curves

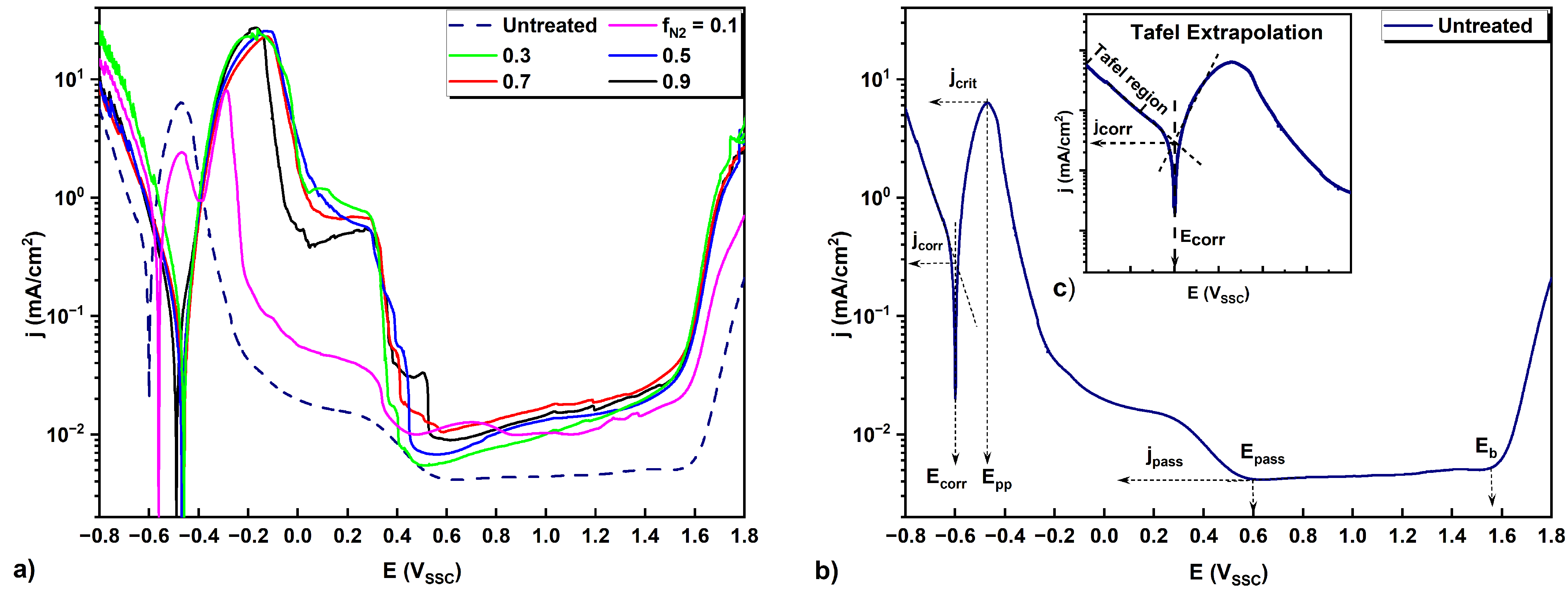
The polarisation curves of FeAl40 alloy in 0.25 M H 2 SO 4 electrolyte for the non-nitrided and nitrided sample states are depicted in Figure 5. A relationship between the increase and decrease in the current density and the polarisation potential is observed. All curves show the typical passive-active behaviour of FeAl40 alloy in the studied potential range. The electrochemical parameters derived from the polarisation curves are summarised in Table 3. They include the corrosion potential (E corr ), the corrosion current density (j corr ), the primary passivation potential (E pp ), the critical passivation current density (j crit ), the passive potential (E pass ), the passive current density (j pass ) and the breakdown potential (E b ). The relationship between E b and E pp for the different nitrogen contents in the feed gas is also given. The polarisation curve in 0.25 M H 2 SO 4 of the non-nitrided FeAl40 specimen obtained in this study is consistent with previous results published by other authors [3,6,7].
The non-nitrided sample exhibited the lowest corrosion potential E corr = −599 mV SSC . Furthermore, the corrosion current density calculated by the Tafel extrapolation method obtained a value of 279 μ A/cm 2 . The passivation region started from a primary passivation potential E pp = −459 mV SSC with a critical passivation current density j crit = 6.3 mA/cm 2 . At a potential of 584 mV SSC in the passive region, it reached the lowest passive current density j pass = 4.3 μ A/cm 2 . In addition, this passive current remained stationary until reaching the oxygen overpotential E b = 1556 mV SSC .
Figure 5a presents the difference in the corrosion behaviour of the different nitrided samples compared with that of the non-nitrided sample. From the above-described results of the XRD Co radiation measurement, it can be seen that the influence of the nitrogen content in the inlet gas on the formed phases within the nitrided layer on FeAl40 alloy was not significant (an exception was the f N 2 of 0.1). Therefore, the corrosion behaviour and the corrosion parameters of the nitrided samples generated with different nitrogen contents within the N 2 –H 2 plasma can be considered the same. The polarisation curves prove this in Figure 5a; they have similar shapes, and the difference in the electrochemical parameters gained is not significant, as presented in Table 3.
The difference in the corrosion potential of the nitrided samples was not significant and remained in the range E corr = −460 to −488 mV SSC , corresponding to increasing f N 2 from 0.3 to 0.9. In addition, the corrosion current densities were also approximately the same. By increasing the nitrogen content in the inlet gas, the corrosion current densities of the resulting nitrided layers decreased from 100 to 87.7 μ A/cm 2 , respectively. In addition, their critical current density values (j crit ) were in a comparable range between 22.9 and 26.8 mA/cm 2 . Similarly, the passivation corrosion current density also fluctuated in a small range from 5.6 to 10.3 μ A/cm 2 . The breakdown/oxygen overpotential value of the samples was about 1535 ± 10 mV SSC .
The electrochemical results indicate that the nitrided layer formed on the FeAl40 alloy had beneficial as well as detrimental effects on the alloy’s corrosion behaviour in the 0.25 M H 2 SO 4 medium.
The beneficial effect was that the presence of the nitrided layers positively affected the cathode branch of the polarisation curves and the corrosion potentials and corrosion currents of the FeAl40 alloy. As shown in Figure 5a, the corrosion potentials of the nitrided samples, generated with increasing f N 2 from 0.3 up to 0.9 within the inlet gas composition, shifted towards positive values by 110–130 mV compared with that of the non-nitrided state. Thus, the cathode polarisation of the nitrided samples was achieved faster than that of the non-nitrided base material. This is advantageous for the cathodic protection of the FeAl40 alloy. There are many options for choosing a sacrificial anode material in the passive cathode protection method or an applied external smaller current in the impressed current cathodic protection (ICCP) method [34].
The most strongly affected electrochemical parameter was the corrosion current density. It decreased by almost 2.8 times compared with the non-nitrided base material. Accordingly, at the corrosion potential or when the samples were immersed in the electrolyte under the OCP mode, the nitrided samples had higher corrosion resistance than the untreated sample. Thus, the nitrided layer had a positive effect on the cathode branch and reduced the corrosion current density, which helped to protect the alloy against the corrosion of the sulphuric acid environment.
In contrast, the existence of the nitrided layer has a detrimental effect on the passive behaviour in the acidic solution of the FeAl40 alloy, which is shown on the anodic branch of the polarisation curves. Apparently, the critical corrosion current density of the nitrided samples was much higher than that of the base material, i.e., it increased by 3.6 to 4.3 times. Thus, the active dissolution of the nitrided samples occurs faster than that of the non-nitrided sample in the acidic medium. Furthermore, the potential difference Δ E ( Δ E = E b E p p ∼1.67 V) of the passive region on the anodic branch of the nitrided samples was narrower than that of the base material (2 V). Moreover, it was added that the passive current density of the nitrided layer increased slightly compared with the untreated sample, respectively, from 5.6 to 10.3 μ A/cm 2 and 4.3 μ A/cm 2 . Thus, the passive behaviour of the nitrided material became worse.
This behaviour can be explained by an altered form of the protective Al 2 O 3 oxide layer as a result of nitrogen diffusion. Since Al atoms have a stronger chemical affinity to N atoms compared with Fe atoms, diffusing nitrogen combines with Al to form AlN with the release of the Fe bcc phase, which leads to a decrease in the proportion of Al atoms within the nitrided layer. Therefore, it is assumed that the Al available for the formation of the protective Al 2 O 3 layer is strongly depleted within the matrix due to the AlN formation. Consequently, the corrosion resistance of the nitrided samples decreases under anodic polarisation conditions.
A conclusion can be drawn that the nitrided layer significantly influences the corrosive behaviour of the FeAl40 alloy in an acidic environment of 0.25 M H 2 SO 4 . Depending on the corrosion conditions, it has positive and negative effects on the alloy’s corrosion resistance.
In fact, the corrosion of mechanic parts immersed in the electrolyte environment is widespread. Therefore, in the following sections of this study, the change in corrosion rate and corrosion mechanism of the nitrided layer on this FeAl40 material over immersed time will be studied more systematically.

3.3. Corrosion Rate Measurement

Figure 6 shows the influence of the inlet gas composition of the plasma nitriding process on the corrosion kinetics of the non-nitrided and nitrided FeAl40 samples in the electrolyte of 0.25 M H 2 SO 4 , corresponding to the measuring time up to 24 h and 36 h, at which time the electrochemical system was in a steady corrosive state.
Figure 6a depicts the change in the corrosion potential of the samples with increasing immersion time in the electrolyte. The untreated, non-nitrided sample exhibited the lowest corrosion potential with a value of approximately E OCP ≈−600 mV SSC . The potential increased proportionally with an increasing duration of immersion. After 27 h, it reached a stable value of −550 mV SSC .
In contrast, the corrosion potential curves of the nitrided samples obtained after plasma nitriding with different N 2 –H 2 gas compositions show no clear difference, except for the lowest nitrogen ratio (f N 2 of 0.1) (cf. Figure 6a). They are entirely consistent with the results of the polarisation curves, EPMA and the nitrided layer structure. It can be concluded that the effect of the gas composition on the corrosion behaviour of the nitrided samples is negligible as long as an appropriately thick nitrided layer is formed. At the initial time of the measurements, the corrosion potential of the nitrided samples was between −500 and −480 mV SSC . This potential also increased with an increasing immersion time in the electrolyte. However, they quickly reached a steady-state value of about −460 to −450 mV SSC after a period of 6–7 h, compared with 27 h for the untreated, non-nitrided sample. Thus, the nitrided samples were faster to reach a steady-state, and they had a positive potential difference of more than 100 mV compared with the untreated, non-nitrided sample. Consequently, considering the driving force for the corrosion process in 0.25 M H 2 SO 4 medium, the nitrided samples show better passivation characteristics than the base material.
The exception occurs for the specimen treated with f N 2 of 0.1. At the beginning of the measurement, the corrosion potential E corr = −480 mV SSC was in accordance with the values of the other nitrided samples. However, the corrosion potential decreased very fast within the first 1 h, and after about 12 h the change was similar to that of the base material. The explanation for this is that the thickness of the nitrided layer achieved with this low N 2 –H 2 ratio is significantly lower than that of samples nitrided with higher nitrogen content (cf. Table 1, Figure 4). In addition, it was found that the N content in the nitrided layer did not reach the value of 30 at.% N and was considerably lower (Figure 4), and furthermore, in connection with the significantly changed surface coverage compared with the other nitrided layers (Figure 3), it can be assumed that the compound layer did not completely cover the surface. Therefore, the nitrided layer rapidly dissolved into the electrolyte when active dissolution reactions occurred in the electrochemical system. As a result, the underlying FeAl40 substrate interacted directly with the corrosive medium. Consequently, the electrochemical corrosion behaviour of this nitrided sample is similar to that of the untreated material sample after 12 h immersion.
Figure 6b shows the changes in the corrosion rate of the investigated samples with increasing immersion time in the electrolyte. The corrosion process consists of two main stages, initial increasing and stabilising corrosion rates. During the initial stage, the corrosion rate increased with increasing immersion time. In contrast, the corrosion rate in the stabilising stage reached a constant value with increasing duration. For the FeAl40 untreated, non-nitrided sample, its increasing stage lasted up to 27 h, and its corrosion rate increased from 7.5 mm/year to 22 mm/year during this time. However, the corrosion rates of the nitrided samples are quite low and exhibit similar values. Their increasing state lasted up to 7 h, reaching a stabilising state faster than the base material. Their corrosion rates increased from approximately 2 mm/year in the initial stage to 5–7 mm/year in the stabilising stage.
These results indicate that the FeAl40 base alloy had inferior corrosion resistance in acidic media. The presence of a nitrided layer on the surface had a positive effect in terms of enhancing this material property. The protective effect of the nitrided layer on FeAl40 in the acidic environment was three times higher than that of the untreated, non-nitrided sample. Furthermore, the specimens nitrided with medium nitrogen content in the N 2 –H 2 inlet gas (f N 2 of 0.5 and 0.7) had the lowest corrosion rate (cf. Figure 6b blue and red lines).
An abnormal corrosion behaviour occurred with the sample treated with f N 2 of 0.1. Its corrosion rate was initially quite high compared with other samples and equivalent to that of the untreated, non-nitrided sample after 12 h immersion time, consistent with its change in corrosion potential, as shown in Figure 6a. The effect of low inlet nitrogen content (f N 2 < 0.3) on the corrosion behaviour of FeAl40 will need further study to make a proper assessment.

3.4. Surface State and Chemical Composition of Corrosion Products

Figure 7 presents the surface morphology of the samples after being immersed in the solution of 0.25 M H 2 SO 4 for 24 h. The morphology characterisations of the untreated, non-nitrided sample and the sample treated with the lowest nitrogen content (f N 2 of 0.1) are similar, as shown in Figure 7a,b. The images confirm that the results of corrosion behaviour after 24 h were similar for these samples and the corrosion process was uniform on the surfaces. In addition, a tiny mass of deposited corrosion products was observed on the surfaces, which means that the absorption process of the corrosion products was negligible.
In contrast, especially for the nitrided samples treated with f N 2 of 0.5 and 0.7, a crystalline film formed on the surface of the samples, as shown in Figure 7c,d, which was assumed to be a layer of formed corrosion products. Based on the determined corrosion rate of the nitrided samples (Figure 6b), it is assumed that the faster stabilisation of the corrosion rate at low values is caused by the formation of such a layer.
In order to evaluate the layer of formed corrosion products, cross-sections of samples immersed in the solution for 24 h were prepared, as shown in Figure 8. Corrosion products were not observed on the untreated, non-nitrided sample and the sample nitride with the lowest nitrogen atmosphere (Figure 8a,b). Therefore, it can be estimated that there is almost no appearance of a film of corrosion products deposited on the surface of these samples. In contrast, on the nitrided samples treated at high N 2 content, a dark layer region is observed on the surface, which is the layer of formed corrosion products (Figure 8c,d).
Table 4 provides the results of the EDS analysis performed to evaluate the chemical composition of the surface layer of the samples after being immersed in the solution for 24 h. The result for the untreated, non-nitrided sample shows that its Fe content is highest at 64.2 at.%, which is close to the primary content. At the same time, the Al content was 14.6 at.%, reduced by 2/3 compared with the initial FeAl40 alloy. The O content reached 15.3 at.%, and the contents of N and S were almost negligible. This indicates that the dissolution rate of Al in the electrolyte was relatively large compared with Fe. Analytical results were similar for the nitrided sample treated with the lowest N 2 content in the initial gas composition, in which the measured O and N contents are 5.4 at.% and 5.8 at.%, respectively. These results are consistent with the morphology of the samples after the corrosion tests (Figure 8a,b).
In contrast, the EDS data of sample plasma nitrided with high nitrogen content in the inlet gas show completely different results. In general, it can be concluded for these nitrided layers that the influence of the N 2 –H 2 ratio of the input gas on the composition of the corrosion products is insignificant. The main elements of the corrosion product layer are Al, O and N. The overall average values of these analysed elements are 44 ± 1 at.% Al, 38 ± 4 at. % O and 16 ± 2 at.% N, respectively, while that of iron is only 2 ± 1 at.% Fe. Therefore, it can be concluded that the corrosion product layer formed on the surface of the samples consists of oxide and nitride phases of Al. The presence of this layer acts as an inhibited film that prevents the active dissolution of Fe and Al elements. It contributes to the low and stable corrosion rate of the nitrided samples in the electrolyte environment.

3.5. EIS Characterisation

In order to further investigate the corrosion behaviour of the nitrided layer on FeAl40 alloy, EIS measurements were performed with both the untreated, non-nitrided state and the sample state, which was plasma nitrided with f N 2 of 0.5.
Figure 9 shows the impedance results of the untreated, non-nitrided material immersed in sulphuric acid for up to 36 h. The Nyquist plot (Figure 9a) shows its impedance curves measured at the initial stage and after increasing immersion times. It can be seen that the shape of these curves did not change during the corrosion test with increasing time, which means that the corrosion mechanism occurring on the base material did not change during the test. Furthermore, the curves displayed two loops on the plot. The first loop, called a capacitive loop, in the wide frequency range (10 4 –2.5 Hz) with Z img and Z re values, describes the response of the double-layer at the interface between sample and electrolyte, as well as the charge transfer processes.
Moreover, the second loop at low frequencies (2.5–0.01 Hz), the inductive loop, was derived from the absorption process of intermediate products formed on the corrosion products. The corresponding Bode plot in Figure 9b shows two inflection points of phase angles, a maximum at high frequency (200–300 Hz) and a minimum at low frequency (0.1–0.8 Hz). The largest phase angle indicates that the corrosion process depends on the capacitive response with short relaxation times. The lowest phase angle showed the corrosion process response within the inductive loop.
The effect of the immersion times on the corrosion behaviour of the base material, or its impedance values, is clearly visible (Figure 9). From the Nyquist plot (cf. Figure 9a), it is evident that the resulting curves became smaller with time, indicating that the corrosion resistance gradually decreased. From an immersion time of 30 h, the corrosion process reached a steady state, which remained unchanged even at 36 h. From the Bode plot (cf. Figure 9b), the changes in the phase angles as a function of immersion time represent the variations in the physical processes taking place in the electrochemical system. As time increased, impedance values decreased at both middle and low frequencies. In addition, the absolute value of the largest phase angle of the capacitive loop moved from 50 to 12 , and that of the smallest phase angle of the inductive loop shifted from 6 to 1 .
These diagrams show that the corrosion behaviour of FeAl40 alloy in acidic media was mainly represented by the dissolution of metals and controlled by the charge transfer process, shown with the capacitive loop on the Nyquist plot. At the first stage of the corrosion process, metallic elements underwent intermediate chemical reactions and an absorption process of the intermediate products on the metal surface; this formed the inductive loop. As immersion time increased, the rate of the metallic dissolution or the charge transfer was much faster than that of the intermediate product absorption. As a result, the size of the inductive loop became smaller and finally negligible compared with the capacitive loop. The impedance values decreased steadily and remained stable after an immersion time of more than 30 h, which is consistent with the polarisation resistance measurement performed, indicating that the corrosion rates of the FeAl40 alloy increased with time. The decrease in the overall impedance indicated that the formed layer was less protective than the initial passive oxide.
Figure 10 depicts the EIS results of the sample nitrided with f N 2 of 0.5. From the Nyquist plot (cf. Figure 10a,c), it can be seen that the curves were utterly different from the untreated sample, and their shape also changed with increasing immersion time. This indicates that the corrosion mechanism that occurred on the sample changed over time.
When the nitrided sample was immersed in the corrosion solution (cf. Figure 10a), the initial time curve displayed that the corrosion process included two processes: the charge transfer through the double layer and the diffusion process of ions for the electrochemical reaction to occur. Upon reaching an immersion time of 3 h, the curve showed a semicircle, which means that the charge transfer caused the corrosion process, and a porous oxide layer formed on the surface. Its impedance values decreased with increasing immersion time. After about 12 h of immersion (cf. Figure 10c), a second capacitance loop began to form and grew larger with time, indicating that a dense oxide layer had formed on the sample surface, impeding the flow of charged particles. With increasing immersion time, this layer also became thicker, and thus its impedance also increased.
From the Bode plot (cf. Figure 10b,d), it can be seen that the impedance of the nitrided sample shows an opposite trend with increasing immersion time compared with the untreated, non-nitrided sample. The change in the phase angles indicates the variation in the physical processes occurring in the corrosion system. In Figure 10b,d, at the initial time, the maximum phase angle of the first capacitive loop appeared with an absolute value of 40 at f = 100 Hz. With increasing immersion time, the angle generally shifted to a lower frequency with a smaller absolute value. In particular, for an immersion time of more than 12 h, the maximum angle of the first capacitive loop reached a stationary value of 35 at f = 30 Hz. In addition, a second capacitive loop formed in the low-frequency region at 0.1 Hz, and its phase angle value increased with time.
The results of the nitrided sample reveal that with increasing immersion time, the resistance of the initial passive oxide decreases. However, a second layer consisting of corrosion products formed along the surface, which finally increased the overall resistance of the surface.

3.6. Equivalent Circuit Models and EIS Parameters

Corrosion mechanisms were identified by analysing impedance distribution with the equivalent circuit models (ECMs), representing the physical processes within the corrosion system. In order to calculate EIS parameters, the Nyquist plot, which was experimentally obtained, was fitted to the ECM using the BioLogic EC-Lab V11.3 software. Figure 11 and Figure 12 show the best fitted schematic ECM representations for the untreated and treated samples in 0.25 M H 2 SO 4 .
Figure 11 presents the ECM of the untreated, non-nitrided sample and Table 5 lists the impedance parameters obtained following the fitting of the EIS experimental results. R s is the electrolyte resistance, Q dl is a constant phase element (CPE) representing the double-charge layer capacitance, R ct is the charge transfer resistance, R L is the inductive resistance, and L is the inductance. The following equation describes the CPE impedance (Z CPE ):
Z C P E = 1 Q ( j ω ) α
where Z CPE is the impedance of CPE, Q is the constant phase element (CPE), “j” is the imaginary unit (j = (−1) 1 / 2 ), ω is 2 π f and α is a factor which takes values between 0 and 1.
Generally, the fitting results clearly show that as Q dl increased (45.7 to 170.0 μ Fs ( α 1 ) cm 2 ), R ct reduced (55.8 to 6.4 Ω cm 2 ) from the initial time and up to 36 h. This Q dl behaviour was due to the electrophysical properties of the corrosion products. The increase in the Q dl values with immersion time indicated that the interactive area, where the corrosion reactions occurred on the cathodic electrode surface, became larger. This result clearly shows the increasing trend of the active dissolution process of Fe and Al atoms into the electrolyte, and similarly, the decrease in the R ct value was also a consequence of this process. It has been reported that the corrosion mechanism of FeAl40 alloys in acidic media is accompanied by the formation of FeOH ads on the surface, which is a corrosion intermediate. If such FeOH formation is transferred to the impedance behaviour determined for the untreated, non-nitrided sample, the values of R L and L are assumed to be proportional [3,4]. Accordingly, R L gradually decreased down to 0.5 Ω cm 2 at an immersion time of 36 h, which means that the absorption process of intermediate corrosion products did not occur on the surface, being small compared with R s (9.4 Ω cm 2 ).
The ECM corresponding to nitrided samples in the electrolytic solution is displayed in Figure 12. It is worth mentioning that such an ECM had also been used to describe a porous passive layer [4,35,36]. In the first stage, when the nitrided samples were immersed in the corrosive solution, the Fe and Al atoms quickly dissolved into the electrolyte, and a porous oxide layer gradually formed on the surface; its ECM is shown in Figure 12a, including the resistance of the solution R s in series with the parallel arrangement of CPE 1 (or CPE dl ), and the series of R 1 (or R ct ) and Z W represents a Warburg diffusion impedance. The second capacitance loop appeared on the Nyquist plot when the immersion time exceeded 12 h. The corrosion products formed a second layer on the surface that was now detectable by EIS. Thus, the porous oxide layer consisted of two sublayers, an inner sublayer and an outer sublayer, and their ECM is presented in Figure 12b. There, Q 1 and Q 2 are constant phase elements (CPEs) representing the capacitances of the inner and outer sublayers, R 1 and R 2 are the resistances of the inner and outer sublayers, and L is the inductance of the outer sublayer.
The analysed results for the ECM model of the nitrided samples are shown in Table 6. At the initial time when the sample was immersed in the acidic medium, the corrosion system reached no steady state; the Q 1 and R 1 were 234.2 μ Fs ( α 1 ) cm 2 and 81.8 Ω cm 2 , respectively. With increasing immersion time from 1 h to 6 h, the value of Q 1 increased from 287.9 to 753.6 μ Fs ( α 1 ) cm 2 , and R 1 decreased from 125.3 to 68.5 Ω cm 2 . The values of Q 1 and R 1 showed a reverse change with increasing immersion time. In detail, Q 1 decreased from 768.2 μ Fs ( α 1 ) cm 2 (12 h) to 590.4 μ Fs ( α 1 ) cm 2 (24 h) and R 1 increased from 57.3 Ω cm 2 (12 h) to 64.3 Ω cm 2 (24 h), respectively.
Table 6 also shows that R 2 appears after 12 h of immersion with a value of 1.8 Ω cm 2 and increases to 24.8 Ω cm 2 at 24 h immersion time. In the same period, the value of Q 2 decreased from 1075 mFs ( α 1 ) cm 2 to 79.1 mFs ( α 1 ) cm 2 . The reverse trend of R 2 and Q 2 represented the formation of the outer oxide layer, respectively, with the second capacitance loop on Nyquist (cf. Figure 10c), and the thickness of the oxide layer increased with increasing time.
The corrosion behaviour of the nitrided layer changed as a function of immersion time and was evident from the change in Q x and R x values. In the first stage, Q 1 increased and R 1 decreased; which meant that the electrochemical impedance decreased, leading to a decrease in the corrosion resistance of the sample over time. Conversely, Q 1 decreased slightly and R 1 increased slightly when the time exceeded 12 h. Furthermore, Q 2 and R 2 appeared, with Q 2 decreasing and R 2 increasing over time. As a result, system impedance increased and corrosion resistance was improved.

3.7. Discussion about the Influence of Nitrided Layer on Corrosion Mechanism

The electrochemical measurements’ results proved that the nitrided layer formed on the FeAl40 alloy promoted a formation of the layer of formed corrosion products leading to a change in the corrosion mechanism when they were immersed in H 2 SO 4 electrolyte. Therefore, to understand the influence of the nitrided layer on the corrosion mechanism, the thermodynamic characteristics of corrosion reactions will be concerned in this section. Table 7 provides the thermodynamic data of the species that are supposed to appear in the corrosion system used to calculate the Gibbs free energy of the reactions under the standard experimental conditions [37].
Firstly, we consider the corrosion behaviour of untreated, non-nitrided samples of FeAl40 alloy immersed in 0.25 M H 2 SO 4 (pH = 0.3) electrolyte with the corrosion potential recorded at E corr = −0.6 V SSC (KCl sat’d). At the corrosion potential, the following reactions are possible if Al and Fe are considered to be selectively dissolved:
FeAl Fe + Al 3 + + 3 e
FeAl Fe 2 + + Al + 2 e
Furthermore, the total dissolved reaction of FeAl40 alloy with the simultaneous dissolution of Fe and Al elements can also be described as following:
FeAl Fe 2 + + A l 3 + + 5 e
Δ f G = 514.0 kJ / mol
The electrode potential values corresponding to the reactions given in Equation (4) and Equation (5) are, respectively, −1.85 V SSC and −0.6 V SSC (values obtained considering pH = 0.3 and the standard chemical potential of each species involved). For the original FeAl40 alloy, its measured corrosion potential is −0.6 V SSC in 0.25 M H 2 SO 4 solution (pH = 0.3), and reached a stabilised value at −0.5 V SSC . Under these experimental conditions, the FeAl40 alloy is dissolved to form ionic atoms of Fe 2 + and Al 3 + according to Equation (6).
Secondly, we consider the corrosion behaviour of nitrided samples immersed in 0.25 M H 2 SO 4 (pH = 0.3) at E corr = −0.46 V SSC . Based on the analysis results, the nitrogen content within the nitrided layer reaches 30 at.%, and the existing phases include AlN + Fe bcc . Therefore, at the corrosion potential, the following reactions are possible:
A l N + 3 H + A l 3 + + N H 3
F e F e 2 + + 2 e
A l N + F e + 3 H + F e 2 + + A l 3 + + N H 3 + 2 e
Δ f G = 303 , 7 kJ / mol
Thus, it can be seen that in terms of thermodynamics, the existence of N in the nitrided layer reduced the absolute value of the Gibbs free energy of the corrosion system (compare Equation (6) with Equation (9)). It means that the solubility of metallic atoms is reduced compared with that of the original material.
Thirdly, we consider the formation of a layer of corrosion products containing Al 2 O 3 . It is formed by the following reaction:
2 A l 3 + + 3 H 2 O A l 2 O 3 + 6 H +
Based on the results of Rao et al. [7], the untreated sample immersed in 0.25 M H 2 SO 4 electrolyte at a corrosion potential is in the range of −0.6 to −0.5 V SSC ; a significant Al 2 O 3 layer, affecting the passivation of the interface, is not formed on the surface. So, the alloy remains in the region of active dissolution. Therefore, the corrosion process occurs in this sample with the dissolution of Al and Fe.
For the nitrided samples, their stable corrosion potential value of −0.46 V SSC corresponds with the Al 2 O 3 formation passivation range. A layer of Al 2 O 3 forms on the surface, acting as a protective barrier for the substrate, and maintaining the low and stable corrosion rate for the nitrided samples.

4. Conclusions

The electrochemical corrosion behaviour in 0.25 M H 2 SO 4 of FeAl40 alloy in the untreated and nitrided states was investigated. The nitrided layer formed changed the corrosion mechanism of the alloy in the corrosion environment, causing both positive and negative effects on the corrosive behaviour of FeAl40 alloy depending on the corrosion conditions.
In the case of anodic polarisation conditions, the existence of the nitrided layer degrades the passive behaviour of the FeAl40 alloys. Furthermore, this attenuation increased proportionally with the nitrogen fraction (f N 2 ) used during the plasma nitriding process.
In the case of no anodic polarisation condition, the following conclusion was drawn from the experiments:
  • In general, a thick and uniform nitrided layer had a positive effect on the corrosion behaviour of FeAl40 alloy. It significantly reduced the corrosion rate from 22 mm/year for the non-nitrided state to 5–7 mm/year for the nitrided state due to the formation of a protective passive oxide layer that formed during the corrosion process. The performance of the alloy efficiently enhanced up to 70%.
  • The electrochemical corrosion behaviour of the nitrided samples was not affected by the nitrogen fraction in the N 2 –H 2 gas mixture during plasma nitriding, as long as a minimum nitrogen supply of 3 parts nitrogen in the N 2 –H 2 inlet gas mixture was ensured.
  • EIS analyses confirmed the observed corrosion rate trend by assessing the polarisation resistance measurements of the untreated, non-nitrided and nitrided surfaces.
  • As a result of nitriding, because of changes in the chemical compositions and phases of the surface, the corrosion mechanism of workpieces immersed in the 0.25 M H 2 SO 4 electrolyte changed from constant metal dissolution in the case of the untreated base material to inhibited material loss due to the layer of corrosion products formed on the nitrided surface.
  • For the nitrided sample, impedance data were fit to the equivalent circuit R s + Q 1 /(R 1 + W) and R s + Q 1 /[R 1 + {Q 2 /(R 2 + L 2 )}] in which Q 1 , Q 2 , R 1 and R 2 could be assigned to the CPE and resistance of the inner and outer oxide layers, respectively. The overall trend was decreasing capacitances (Q 1 , Q 2 ) and increasing resistances (R 1 , R 2 ) with increasing immersion time, which led to an increased impedance of the nitrided layer. Furthermore, this indicates that the nitrided sample exhibited better corrosion behaviour than the untreated sample.
  • Typically, with the nitrided samples, the capacitive elements (Q 1 and Q 2 ) decreased with increasing resistances (R 1 and R 2 ) when the immersion time was longer than 12 h. Furthermore, it suggests that the layer of corrosion products formed on the nitrided surface reduced the active dissolved area and inhibited the dissolution rate of metallic elements.

Author Contributions

Conceptualisation, N.M.L., M.M. and A.D.; investigation, N.M.L.; data curation, N.M.L.; writing—original draft preparation, N.M.L.; writing—review and editing, M.M., L.K., H.B. and A.D.; visualisation, N.M.L.; supervision, H.B. and A.D. All authors have read and agreed to the published version of the manuscript.

Funding

Open Access Funding by the Publication Fund of the TU Bergakademie Freiberg.

Institutional Review Board Statement

Not applicable.

Informed Consent Statement

Not applicable.

Data Availability Statement

The data can be obtained from the authors on request.

Acknowledgments

The authors thank Saeed Jafarpour (TU Bergakademie Freiberg, Institute of Materials Engineering) for plasma nitriding experiments; Tom Weinhold (TU Bergakademie Freiberg, Institute of Materials Engineering) for SEM investigation; and Christian Schimpf (TU Bergakademie Freiberg, Institute of Materials Science) for XRD meassurement.

Conflicts of Interest

The authors declare no conflict of interest.

References

  1. Zamanzade, M.; Barnoush, A.; Motz, C. A Review on the Properties of Iron Aluminide Intermetallics. Crystals 2016, 6, 10. [Google Scholar] [CrossRef] [Green Version]
  2. Brito, P.P.; de Carvalho Filho, C.T.; de Andrade Oliveira, G. Electrochemical Corrosion Behaviour of Iron Aluminides in Sulphuric Acid. Mater. Sci. Forum 2020, 1012, 395–400. [Google Scholar] [CrossRef]
  3. Frangini, S. Corrosion Rate and Anodic Dissolution Behaviour of a B2-Iron Aluminide Alloy in Sulphuric Acid. Corrosion 1999, 55, 89–95. [Google Scholar] [CrossRef]
  4. Hernández-Hernández, M.; Liu, H.B.; Alvarez-Ramirez, J.; Espinosa-Medina, M.A.; Sosa, E. Corrosion Behaviour of Fe-40at.%Al-Based Intermetallic in 0.25 M H2SO4 Solution. J. Mater. Eng. Perform. 2017, 26, 5983–5996. [Google Scholar] [CrossRef]
  5. López, M.; Escudero, M. Corrosion behaviour of FeAl-type intermetallic compounds. Electrochim. Acta 1998, 43, 671–678. [Google Scholar] [CrossRef]
  6. Peng, J.; Moszner, F.; Rechmann, J.; Vogel, D.; Palm, M.; Rohwerder, M. Influence of Al content and pre-oxidation on the aqueous corrosion resistance of binary Fe-Al alloys in sulphuric acid. Corros. Sci. 2019, 149, 123–132. [Google Scholar] [CrossRef]
  7. Rao, V.S. A review of the electrochemical corrosion behaviour of iron aluminides. Electrochim. Acta 2004, 49, 4533–4542. [Google Scholar] [CrossRef]
  8. Sharma, G.; Singh, P.R.; Sharma, R.K.; Gaonkar, K.B.; Ramanujan, R.V. Aqueous Corrosion Behaviour of Iron aluminide Intermetallics. J. Mater. Eng. Perform. 2007, 16, 779–783. [Google Scholar] [CrossRef]
  9. Frangini, S.; De Cristofaro, N.; Lascovich, J.; Mignone, A. On the passivation characteristics of a β-FeAl Intermetallic compound in sulphate solutions. Corros. Sci. 1993, 35, 153–159. [Google Scholar] [CrossRef]
  10. Sosa, E.; La Carbajal-De Torre, G.; Espinosa-Medina, M.A. Assessment of the Corrosion Behaviour of FeAl Based Intermetallics in NaCl Solution. ECS Trans. 2021, 101, 259–268. [Google Scholar] [CrossRef]
  11. Cebulski, J.; Lalik, S.; Michalik, R. Corrosion resistance of FeAl intermetallic phase based alloy in water solution of NaCl. J. Achiev. Mater. Manuf. 2008, 27, 15–18. [Google Scholar]
  12. Huape-Padilla, E.; Sánchez-Carrillo, M.; Flores-de los Rios, J.P.; Espinosa-Medina, M.A.; Bautista-Margulis, R.G.; Ferrer-Sánchez, M.I.; Carbajal-de la Torre, G.; Bejar-Gómez, L.; Chacón-Nava, J.G.; Martínez-Villafañe, A. Corrosion study of Fe-Al Intermetallic Alloys in Simulated Acid. Int. J. Electrochem. Sci. 2015, 10, 2141–2154. [Google Scholar]
  13. Rao, V.; Baligidad, R.G.; Raja, V.S. Effect of carbon on corrosion behaviour of Fe3Al intermetallics in 0.5N sulphuric acid. Corros. Sci. 2002, 44, 521–533. [Google Scholar] [CrossRef]
  14. Chiang, W.C.; Luu, W.C.; Wu, J.K. Effect of aluminium content on the passivation behaviour of Fe–Al alloys in sulphuric acid solution. J. Mater. Sci. 2006, 41, 3041–3044. [Google Scholar] [CrossRef]
  15. Trinadh, K.; Nouveau, C.; Khanna, A.S.; Aneja, K.S.; Rao, K.R.M. Electrochemical study on the corrosion resistance of surface modified Cr-Mo-V steel by elevated temperature plasma nitriding. Mater. Res. Express 2019, 6, 076507. [Google Scholar] [CrossRef]
  16. Kutz, T.N.; Zander, D. The Influence of Chromium on the Passivation of Fe3Al Iron Aluminides, Investigated Via Potentiodynamic polarisation in 0.25 M H2SO4. Corrosion 2017, 73, 648–654. [Google Scholar] [CrossRef]
  17. Agarwal, A.; Akhtar, M.J.; Balasubramaniam, R. Effect of alloying on aqueous corrosion and mechanical behaviour of iron aluminide Fe3Al. J. Mater. Sci. 1996, 31, 5207–5213. [Google Scholar] [CrossRef]
  18. Zhang, Z.; Li, X.; Dong, H. Plasma-nitriding and characterisation of FeAl40 iron aluminide. Acta Mater. 2015, 86, 341–351. [Google Scholar] [CrossRef] [Green Version]
  19. Le, N.M.; Schimpf, C.; Biermann, H.; Dalke, A. Effect of Nitriding Potential KN on the Formation and Growth of a “White Layer” on Iron Aluminide Alloy. Metall. Mater. Trans. B 2021, 52, 414–424. [Google Scholar] [CrossRef]
  20. Spies, H.J.; Biermann, H.; Fischer, A. Nitriding behaviour of the intermetallic alloy FeAl. Int. J. Mater. Res. 2005, 96, 781–786. [Google Scholar] [CrossRef]
  21. Çelikyürek, İ. Salt Bath Nitriding of Fe3Al Based Intermetallic Compound. Trans. Indian Inst. 2017, 70, 1209–1214. [Google Scholar] [CrossRef]
  22. Moszner, F.; Peng, J.; Suutala, J.; Jasnau, U.; Damani, M.; Palm, M. Application of Iron Aluminides in the Combustion Chamber of Large Bore 2-Stroke Marine Engines. Metals 2019, 9, 847. [Google Scholar] [CrossRef] [Green Version]
  23. Lutterotti, L.; Matthies, S.; Wenk, H.R. MAUD: A friendly Java program for material analysis using diffraction. IUCr Newslett. CPD 1999, 21, 14–15. [Google Scholar]
  24. ASTM Standard G5-14; Standard Reference Test Method for Making Potentiodynamic Anodic polarisation Measurements. ASTM International: West Conshohocken, PA, USA, 2014.
  25. Osório, W.R.; Freitas, E.S.; Garcia, A. EIS and potentiodynamic polarisation studies on immiscible monotectic Al–In alloys. Electrochim. Acta 2013, 102, 436–445. [Google Scholar] [CrossRef]
  26. Osório, W.R.; Peixoto, L.C.; Moutinho, D.J.; Gomes, L.G.; Ferreira, I.L.; Garcia, A. Corrosion resistance of directionally solidified Al-6Cu-1Si and Al-8Cu-3Si alloys castings. Mater. Design 2011, 32, 3832–3837. [Google Scholar] [CrossRef]
  27. Zhang, X.L.; Jiang, Z.H.; Yao, Z.P.; Song, Y.; Wu, Z.D. Effects of scan rate on the potentiodynamic polarisation curve obtained to determine the Tafel slopes and corrosion current density. Corros. Sci. 2009, 51, 581–587. [Google Scholar] [CrossRef]
  28. McCafferty, E. Validation of corrosion rates measured by the Tafel extrapolation method. Corros. Sci. 2005, 47, 3202–3215. [Google Scholar] [CrossRef]
  29. ASTM Standard G59-97; Standard Test Method for Conducting Potentiodynamic polarisation Resistance Measurements. ASTM International: West Conshohocken, PA, USA, 1997.
  30. ASTM Standard G106-89; Standard Practice for Verification of Algorithm and Equipment for Electrochemical Impedance Measurements. ASTM International: West Conshohocken, PA, USA, 1989.
  31. Chen, G.-J.; Liu, Y.-H.; Cheng, Y.-S.; Pai, H.-Y. A Novel Optimal Charging Algorithm for Lithium-Ion Batteries Based on Model Predictive Control. Energies 2021, 14, 2238. [Google Scholar] [CrossRef]
  32. Zhou, Q.; Xu, N.; Shih, S. The Analysis of Impedance Data by Means of a Random Simplex. Corros. Sci. 1991, 32, 1143–1153. [Google Scholar] [CrossRef]
  33. Martin, J.; Martinavicius, A.; Bruyère, S.; van Landeghem, H.P.; Gendarme, C.; Danoix, F.; Danoix, R.; Redjaimia, A.; Grosdidier, T.; Czerwiec, T. Multiscale analysis of an ODS FeAl40 intermetallic after plasma-assisted nitriding. J. Alloys Compd. 2016, 683, 418–426. [Google Scholar] [CrossRef]
  34. Perez, N. Electrochemistry and Corrosion Science; Kluwer Academic Publishers: Boston, MA, USA, 2004. [Google Scholar]
  35. Arrieta-Gonzalez, C.D.; Rodriguez-Diaz, R.A.; Mayen, J.; Retes-Mantilla, R.F.; Torres-Mancera, M.T.; Oros-Méndez, L.A.; Cruz-Mejía, H.; Flores-Garcia, N.S.; Porcayo-Calderon, J. Electrochemical Performance of Fe40Al-X (X = Cr, Ti, Co, Ni) Alloys Exposed to Artificial Saliva. Materials 2020, 13, 1095. [Google Scholar] [CrossRef] [PubMed] [Green Version]
  36. Bocchetta, P.; Chen, L.Y.; Tardelli, J.D.C.; Reis, A.C.d.; Almeraya-Calderón, F.; Leo, P. Passive Layers and Corrosion Resistance of Biomedical Ti-6Al-4V and β-Ti Alloys. Coatings 2021, 11, 487. [Google Scholar] [CrossRef]
  37. Donald, D.W.; William, H.E.; Vivian, B.P.; Richard, H.S.; Iva, H.; Sylvia, M.B.; Kenneth, L.C.; Raiph, L.N. The NBS tables of chemical thermodynamic properties: Selected values for inorganic and C1 and C2 organic substances in SI units. J. Phys. Chem. Ref. Data 1982, 11. Available online: https://srd.nist.gov/JPCRD/jpcrdS2Vol11.pdf (accessed on 4 March 2022).
Figure 1. Schematic overview of the electrochemical experiments conducted with a corrosion flat-cell.
Figure 1. Schematic overview of the electrochemical experiments conducted with a corrosion flat-cell.
Metals 12 00649 g001
Figure 2. Cross-sectional image (SEM) of FeAl nitrided layer features, 575 C, 4 h, f N 2 = 0.5.
Figure 2. Cross-sectional image (SEM) of FeAl nitrided layer features, 575 C, 4 h, f N 2 = 0.5.
Metals 12 00649 g002
Figure 3. Scanning electron microscopic images of the surface of non-nitrided and nitrided samples applying different N 2 –H 2 ratios within the plasma process of FeAl40 alloy: (a) polished and non-nitrided, (b) f N 2 = 0.1, (c) 0.3, (d) 0.5, (e) 0.7 and (f) 0.9.
Figure 3. Scanning electron microscopic images of the surface of non-nitrided and nitrided samples applying different N 2 –H 2 ratios within the plasma process of FeAl40 alloy: (a) polished and non-nitrided, (b) f N 2 = 0.1, (c) 0.3, (d) 0.5, (e) 0.7 and (f) 0.9.
Metals 12 00649 g003
Figure 4. Electron probe microanalysis results show the nitrogen content within the diffusion layer of nitrided FeAl40 alloy.
Figure 4. Electron probe microanalysis results show the nitrogen content within the diffusion layer of nitrided FeAl40 alloy.
Metals 12 00649 g004
Figure 5. Polarisation curves in 0.25 M H 2 SO 4 for FeAl40 in untreated state and nitrided with varying N 2 –H 2 ratios within the plasma nitriding process: (a) polarisation curves, (b) electrochemical corrosion parameters and (c) Tafel extrapolation for determining of E corr and j corr .
Figure 5. Polarisation curves in 0.25 M H 2 SO 4 for FeAl40 in untreated state and nitrided with varying N 2 –H 2 ratios within the plasma nitriding process: (a) polarisation curves, (b) electrochemical corrosion parameters and (c) Tafel extrapolation for determining of E corr and j corr .
Metals 12 00649 g005
Figure 6. Time-dependent development of electrochemical parameters of non-nitrided and nitrided samples immersed in 0.25 M H 2 SO 4 for up to 24 and 36 h, respectively: (a) corrosion potential (E corr ) and (b) corrosion rate (CR).
Figure 6. Time-dependent development of electrochemical parameters of non-nitrided and nitrided samples immersed in 0.25 M H 2 SO 4 for up to 24 and 36 h, respectively: (a) corrosion potential (E corr ) and (b) corrosion rate (CR).
Metals 12 00649 g006
Figure 7. SEM images of the top samples’ morphology after immersion in 0.25 M H 2 SO 4 for 24 h: (a) untreated, (b) f N 2 = 0.1, (c) 0.5 and (d) 0.7.
Figure 7. SEM images of the top samples’ morphology after immersion in 0.25 M H 2 SO 4 for 24 h: (a) untreated, (b) f N 2 = 0.1, (c) 0.5 and (d) 0.7.
Metals 12 00649 g007
Figure 8. The cross-section samples’ images after immersion in 0.25 M H 2 SO 4 for 24 h: (a) untreated, (b) f N 2 = 0.1, (c) 0.5 and (d) 0.7.
Figure 8. The cross-section samples’ images after immersion in 0.25 M H 2 SO 4 for 24 h: (a) untreated, (b) f N 2 = 0.1, (c) 0.5 and (d) 0.7.
Metals 12 00649 g008
Figure 9. Electrochemical impedance spectrum for the untreated, non-nitrided FeAl40 alloy in 0.25 M H 2 SO 4 solution at 25 C at the initial time and as a function of immersion time: (a) Nyquist plot; (b) Bode plot.
Figure 9. Electrochemical impedance spectrum for the untreated, non-nitrided FeAl40 alloy in 0.25 M H 2 SO 4 solution at 25 C at the initial time and as a function of immersion time: (a) Nyquist plot; (b) Bode plot.
Metals 12 00649 g009
Figure 10. Electrochemical impedance spectrum in 0.25 M H 2 SO 4 solution at 25 C for the sample nitrided at f N 2 of 0.5 at the initial time and after increasing immersion time: (a,c) Nyquist plot; (b,d) Bode plot.
Figure 10. Electrochemical impedance spectrum in 0.25 M H 2 SO 4 solution at 25 C for the sample nitrided at f N 2 of 0.5 at the initial time and after increasing immersion time: (a,c) Nyquist plot; (b,d) Bode plot.
Metals 12 00649 g010
Figure 11. Equivalent circuit model of the interface between untreated, non-nitrided state and electrolyte.
Figure 11. Equivalent circuit model of the interface between untreated, non-nitrided state and electrolyte.
Metals 12 00649 g011
Figure 12. Equivalent circuit model of the interface between nitrided state and electrolyte: (a) for immersion times up to 6 h and (b) for 12, 18 and 24 h.
Figure 12. Equivalent circuit model of the interface between nitrided state and electrolyte: (a) for immersion times up to 6 h and (b) for 12, 18 and 24 h.
Metals 12 00649 g012
Table 1. Investigated conventional plasma nitriding parameters and initial characteristics of the nitrided layer.
Table 1. Investigated conventional plasma nitriding parameters and initial characteristics of the nitrided layer.
Gas
Ratio N 2 :H 2
f N 2 (*)Plasma Power
Density (W/cm 2 )
Compound Layer’s
Thickness ( μ m)
Diffusion Layer’s
Thickness ( μ m)
Nitrided Layer’s
Microhardness (HV0.05)
1:90.10.51 ± 0.04∼04 ± 3-
3:70.31.03 ± 0.04<241 ± 21400–1500
5:50.51.51 ± 0.04<251 ± 21400–1550
7:30.71.83 ± 0.04<242 ± 31400–1500
9:10.91.91 ± 0.06<241 ± 31400–1500
* fN2 = N2/(N2 + H2).
Table 2. Phase composition of the nitrided layer obtained from XRD analysis.
Table 2. Phase composition of the nitrided layer obtained from XRD analysis.
f N 2 XRD—Cu K α (vol.%)XRD—Co K α (vol.%)
B2-FeAl & Fe bcc AlN hex Fe 4 NB2-FeAl & Fe bcc AlN hex Fe 4 N
0.125 ± 272 ± 53 ± 167 ± 333 ± 40
0.339 ± 356 ± 45 ± 132 ± 367 ± 51
0.530 ± 267 ± 43 ± 130 ± 269 ± 51
0.740 ± 255 ± 25 ± 234 ± 265 ± 41
0.930 ± 353 ± 47 ± 246 ± 353 ± 41
Table 3. Extracted electrochemical corrosion parameters from the polarisation curves presented in Figure 5.
Table 3. Extracted electrochemical corrosion parameters from the polarisation curves presented in Figure 5.
SampleE corr j corr E pp j crit E pass j pass E b E b -E pp
(mV SSC )( μ A/cm 2 )(mV SSC )(mA/cm 2 )(mV SSC )( μ A/cm 2 )(mV SSC )(mV)
Untreated−599 ± 2279.0 ± 15.5−459 ± 206.3 ± 0.5603 ± 194.3 ± 0.71556 ± 62015 ± 21
f N 2 = 0.1−560 ± 3733.5 ± 110−281 ± 206.8 ± 1.7475 ± 258.3 ± 1.61556 ± 101838 ± 18
0.3−460 ± 5100 ± 16.2−140 ± 1624.6 ± 3.7522 ± 265.6 ± 0.51538 ± 131678 ± 16
0.5−468 ± 394.9 ± 8.2−134 ± 1525.2 ± 7.8560 ± 336.8 ± 0.51535 ± 101669 ± 14
0.7−465 ± 589.9 ± 17.7−126 ± 1022.9 ± 2.9586 ± 1910.3 ± 2.11532 ± 101665 ± 13
0.9−488 ± 187.7 ± 18.3−147 ± 1026.8 ± 5.5616 ± 348.9 ± 1.01538 ± 111685 ± 18
Table 4. Chemical composition (at.%) of corrosion products analysed by EDS on the surface.
Table 4. Chemical composition (at.%) of corrosion products analysed by EDS on the surface.
SampleElement Chemical (at.%)
FeAlONS
Untreated64.214.615.32.91.0
f N 2 = 0.167.019.75.45.82.1
0.32.844.833.018.70.8
0.51.142.441.614.40.6
0.71.743.939.414.60.5
0.92.443.638.415.00.5
Table 5. EIS parameters for untreated, non-nitrided FeAl40.
Table 5. EIS parameters for untreated, non-nitrided FeAl40.
Base MaterialImmersed Time
Initial6 h12 h18 h24 h30 h36 h
R s ( Ω cm 2 )6.97.78.58.19.28.99.4
CPE, Q dl (10 6 .Fs ( α 1 ) cm 2 )45.766.675.692.5148.0155.0170
CPE, α dl 0.9250.9240.9020.8950.8590.8650.865
R ct ( Ω cm 2 )55.828.517.511.46.56.66.4
R L ( Ω cm 2 )20.28.74.72.31.10.50.5
L(Hcm 2 )16.24.71.30.360.30.30.02
χ 2 16 × 10 3 14 × 10 3 11.8 × 10 3 5.7 × 10 3 1.6 × 10 3 1.1 × 10 3 0.8 × 10 3
Table 6. EIS parameters for the sample nitrided with f N 2 of 0.5.
Table 6. EIS parameters for the sample nitrided with f N 2 of 0.5.
Nitrided SampleImmersed Time
Initial1 h3 h6 h12 h18 h24 h
R s ( Ω cm 2 )9.58.710.99.510.610.411.5
CPE 1 , Q 1 (10 6 · Fs ( α 1 ) cm 2 )234.2287.9518.3753.6768.2661.3590.4
CPE 1 , α 1 0.7820.7870.7770.7790.7650.7790.788
R 1 ( Ω cm 2 )81.8125.398.468.557.359.364.3
CPE 2 , Q 2 (10 3 · Fs ( α 1 ) cm 2 )----1075175.479.1
CPE 2 , α 2 ----10.7540.695
R 2 ( Ω cm 2 )----1.811.924.8
L 2 (Hcm 2 )----5.034.5132.1
W, σ ( Ω s 0.5 )4.63.100---
χ 2 8.6 × 10 3 4.2 × 10 3 4.2 × 10 3 4.1 × 10 3 3.5 × 10 3 3.1 × 10 3 3.8 × 10 3
Table 7. Selected standard Gibbs free energies ( Δ f G ) of formation [37].
Table 7. Selected standard Gibbs free energies ( Δ f G ) of formation [37].
Species Δ f G [kJ/mol]Species Δ f G [kJ/mol]
FeAl−50.2Al 2 O 3 −1582.3
Fe0Al0
Fe 2 + −78.9Al 3 + −485.3
H 2 O−237.1AlN−287.0
H + 0NH 3 −26.5
Publisher’s Note: MDPI stays neutral with regard to jurisdictional claims in published maps and institutional affiliations.

Share and Cite

MDPI and ACS Style

Le, N.M.; Mandel, M.; Krüger, L.; Biermann, H.; Dalke, A. Effect of N2–H2 Ratio during Conventional Plasma Nitriding of Intermetallic FeAl40 Alloy on Electrochemical Corrosion Parameters in Sulphuric Acid. Metals 2022, 12, 649. https://doi.org/10.3390/met12040649

AMA Style

Le NM, Mandel M, Krüger L, Biermann H, Dalke A. Effect of N2–H2 Ratio during Conventional Plasma Nitriding of Intermetallic FeAl40 Alloy on Electrochemical Corrosion Parameters in Sulphuric Acid. Metals. 2022; 12(4):649. https://doi.org/10.3390/met12040649

Chicago/Turabian Style

Le, Ngoc Minh, Marcel Mandel, Lutz Krüger, Horst Biermann, and Anke Dalke. 2022. "Effect of N2–H2 Ratio during Conventional Plasma Nitriding of Intermetallic FeAl40 Alloy on Electrochemical Corrosion Parameters in Sulphuric Acid" Metals 12, no. 4: 649. https://doi.org/10.3390/met12040649

APA Style

Le, N. M., Mandel, M., Krüger, L., Biermann, H., & Dalke, A. (2022). Effect of N2–H2 Ratio during Conventional Plasma Nitriding of Intermetallic FeAl40 Alloy on Electrochemical Corrosion Parameters in Sulphuric Acid. Metals, 12(4), 649. https://doi.org/10.3390/met12040649

Note that from the first issue of 2016, this journal uses article numbers instead of page numbers. See further details here.

Article Metrics

Back to TopTop