Elevated Temperature Tensile Behavior of a Nb-Mo Microalloyed Medium Mn Alloy under Quasistatic Loads
Abstract
:1. Introduction
2. Materials and Methods
3. Results
4. Discussion
4.1. The Dependence of Stability of Retained Austenite on Deformation Temperature
4.2. The Dependence of Deformation Mechanism on Deformation Temperature
5. Conclusions
- (1)
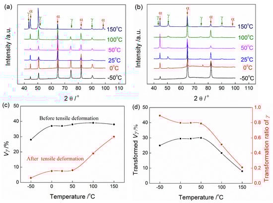
- The higher deformation temperature increases the stability of retained austenite for the lower chemical driving force for transformation from retained austenite to martensite. The increase in deformation temperature leads to a decrease in the fraction of transformed austenite from 30% to 9%.
- (2)
- The ultimate tensile strength was significantly reduced with increasing deformation temperature, but both YS and EI values changed slightly. The best product of UTS and EI (~59.5 GPa·%) can be achieved at the deformation temperature of 50 °C, implying an excellent combination of strength and ductility.
- (3)
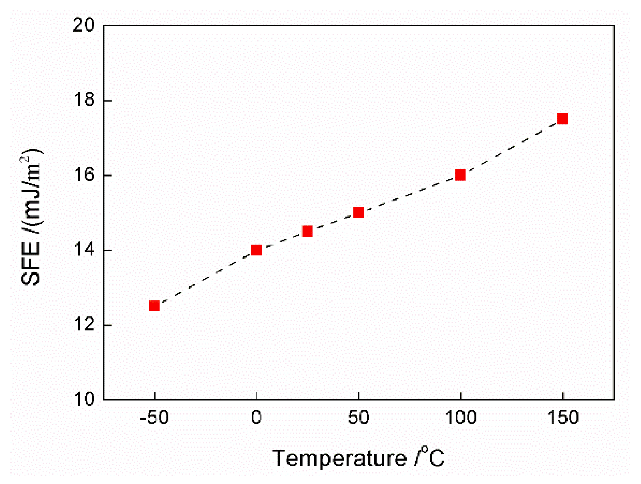
- The increase in deformation temperature from −50 to 150 °C leads to the increase in the SFE value from 12.4 to 17.5 . When the deformation was −50 °C, the deformation mechanism was mainly the TRIP effect, while the deformation mechanism was mainly governed by the TWIP effect at 150 °C.
Author Contributions
Funding
Data Availability Statement
Acknowledgments
Conflicts of Interest
References
- Ding, R.; Dai, Z.; Huang, M.; Yang, Z.; Zhang, C.; Chen, H. Effect of pre-existed austenite on austenite reversion and mechanical behavior of an Fe-0.2C-8Mn-2Al medium Mn steel. Acta Mater. 2018, 147, 59–69. [Google Scholar] [CrossRef]
- Yen, H.-W.; Ooi, S.; Eizadjou, M.; Breen, A.; Huang, C.-Y.; Bhadeshia, H.; Ringer, S. Role of stress-assisted martensite in the design of strong ultrafine-grained duplex steels. Acta Mater. 2015, 82, 100–114. [Google Scholar] [CrossRef] [Green Version]
- Li, X.; Song, R.B.; Zhou, N.P.; Li, J.J. An ultrahigh strength and enhanced ductility cold-rolled medium-Mn steel treated by intercritical annealing. Scr. Mater. 2018, 154, 30–33. [Google Scholar] [CrossRef]
- Bhadhon, K.M.H.; Wang, X.; Mcnally, E.A.; Mcdermid, J.R. Effect of intercritical annealing parameters and starting microstructure on the microstructural evolution and mechanical properties of a medium-Mn third generation advanced high strength steel. Metals 2022, 12, 356. [Google Scholar] [CrossRef]
- Liu, C.Q.; Xiong, F.; Wang, Y.; Cao, Y.X.; Liu, X.B.; Xue, Z.L.; Peng, Q.C.; Peng, L.S. Strengthening mechanism and carbide precipitation behavior of Nb-Mo microalloy medium Mn steel. Metals 2021, 14, 7461. [Google Scholar] [CrossRef]
- Han, J.; Kang, S.H.; Lee, S.J.; Lee, Y.K. Fabrication of bimodal-grained Al-free medium Mn steel by double intercritical annealing and its tensile properties. J. Alloys. Compd. 2016, 681, 580–588. [Google Scholar] [CrossRef]
- Hu, B.; Luo, H.W.; Yang, F.; Dong, H. Recent progress in medium-Mn steels made with new designing strategies, a review. J. Mater. Sci. Technol. 2017, 33, 1457–1464. [Google Scholar] [CrossRef]
- Suh, D.W.; Kim, S.J. Medium Mn transformation-induced plasticity steels: Recent progress and challenges. Scr. Mater. 2016, 126, 63–67. [Google Scholar] [CrossRef]
- Yang, Y.-G.; Mi, Z.-L.; Xu, M.; Xiu, Q.; Li, J.; Jiang, H.-T. Impact of intercritical annealing temperature and strain state on mechanical stability of retained austenite in medium Mn steel. Mater. Sci. Eng. A 2018, 725, 389–397. [Google Scholar] [CrossRef]
- Choi, I.D.; Kim, D.M.; Kim, S.J.; Bruce, D.M.; Matlock, D.K.; Speer, J.G. The effect of retained austenite stability on high speed deformation behavior of TRIP steels. Met. Mater. Int. 2006, 12, 13–19. [Google Scholar] [CrossRef]
- Xu, M.; Yang, Y.-G.; Chen, J.-Y.; Tang, D.; Jiang, H.-T.; Mi, Z.-L. Effects of strain states on stability of retained austenite in medium Mn steels. J. Iron Steel Res. Int. 2017, 24, 1125–1130. [Google Scholar] [CrossRef]
- Luo, L.; Li, W.; Wang, L.; Zhou, S.; Jin, X. Tensile behaviors and deformation mechanism of a medium Mn-TRIP steel at different temperatures. Mater. Sci. Eng. A 2017, 682, 698–703. [Google Scholar] [CrossRef]
- Sugimoto, K.I.; Tanino, H.; Kobayashi, J. Warm ductility of 0.2% C–1.5% Si–5% Mn TRIP-aided steel. Mater. Sci. Eng. A 2017, 688, 237–243. [Google Scholar] [CrossRef]
- Tanino, H.; Horita, M.; Sugimoto, K.-I. Impact Toughness of 0.2 Pct C-1.5 Pct Si-(1.5 to 5) Pct Mn Transformation-Induced Plasticity-Aided Steels with an Annealed Martensite Matrix. Met. Mater. Trans. A 2016, 47, 2073–2080. [Google Scholar] [CrossRef]
- Kozłowska, A.; Janik, A.; Radwański, K.; Grajcar, A. Microstructure evolution and mechanical stability of retained austenite in medium-Mn steel deformed at different temperatures. Materials 2019, 12, 3042. [Google Scholar] [CrossRef] [PubMed] [Green Version]
- Zhang, M.; Li, L.; Ding, J.; Wu, Q.; Wang, Y.D.; Almer, J.; Guo, F.; Ren, Y. Temperature-dependentmicromechanical behavior of medium-Mn transformation-induced-plasticity steel studied by in situ synchrotron X-ray diffraction. Acta Mater. 2017, 141, 294–303. [Google Scholar] [CrossRef]
- Van Dijk, N.H.; Butt, A.M.; Zhao, L.; Sietsma, J.; Offerman, S.E.; Wright, J.P.; Van Der Zwaag, S. Thermal stability of retained austenite in TRIP steels studied by synchrotron X-ray diffraction during cooling. Acta Mater. 2005, 53, 5439–5447. [Google Scholar] [CrossRef]
- Pan, H.; Ding, H.; Cai, M.; Kibaroglu, D.; Ma, Y.; Song, W. Precipitation behavior and austenite stability of Nb or Nb–Mo micro-alloyed warm-rolled medium-Mn steels. Mater. Sci. Eng. A 2019, 766, 138371. [Google Scholar] [CrossRef]
- Pan, H.; Ding, H.; Cai, M. Microstructural evolution and precipitation behavior of the warm-rolled medium Mn steels containing Nb or Nb-Mo during intercritical annealing. Mater. Sci. Eng. A 2018, 736, 375–382. [Google Scholar] [CrossRef]
- Cai, M.; Li, Z.; Chao, Q.; Hodgson, P.D. A Novel Mo and Nb Microalloyed Medium Mn TRIP Steel with Maximal Ultimate Strength and Moderate Ductility. Met. Mater. Trans. A 2014, 45, 5624–5634. [Google Scholar] [CrossRef]
- Yong, T.; Zhuang, L. Effects of warm deformation on mechanical properties of TRIP aided Fe-C-Mn-Si multiphase steel. J. Iron Steel Res. Int. 2012, 19, 47–52. [Google Scholar]
- Hu, B.; Luo, H. A strong and ductile 7Mn steel manufactured by warm rolling and exhibiting both transformation and twinning induced plasticity. J. Alloy. Compd. 2017, 725, 684–693. [Google Scholar] [CrossRef]
- Olson, G.B.; Cohen, M. Stress-assisted isothermal martensitic transformation: Application to TRIP steels. Met. Mater. Trans. A 1982, 13, 1907–1914. [Google Scholar] [CrossRef]
- Sohn, S.S.; Choi, K.; Kwak, J.-H.; Kim, N.J.; Lee, S. Novel ferrite–austenite duplex lightweight steel with 77% ductility by transformation induced plasticity and twinning induced plasticity mechanisms. Acta Mater. 2014, 78, 181–189. [Google Scholar] [CrossRef]
- Lee, S.; Cooman, B.C.D. Effect of the intercritical annealing temperature on themechanical properties of 10 pct Mn multi-phase steel. Metall. Mater. Trans. A 2014, 45, 5009–5016. [Google Scholar] [CrossRef] [Green Version]
- Allain, S.; Chateau, J.-P.; Bouaziz, O.; Migot, S.; Guelton, N. Correlations between the calculated stacking fault energy and the plasticity mechanisms in Fe–Mn–C alloys. Mater. Sci. Eng. A 2004, 387–389, 158–162. [Google Scholar] [CrossRef]
- Curtze, S.; Kuokkala, V.-T.; Oikari, A.; Talonen, J.; Hänninen, H. Thermodynamic modeling of the stacking fault energy of austenitic steels. Acta Mater. 2011, 59, 1068–1076. [Google Scholar] [CrossRef]






| Parameter | Function |
|---|---|
When When Where | |
Publisher’s Note: MDPI stays neutral with regard to jurisdictional claims in published maps and institutional affiliations. |
© 2022 by the authors. Licensee MDPI, Basel, Switzerland. This article is an open access article distributed under the terms and conditions of the Creative Commons Attribution (CC BY) license (https://creativecommons.org/licenses/by/4.0/).
Share and Cite
Wu, W.; Cai, M.; Zhang, Z.; Tian, W.; Pan, H. Elevated Temperature Tensile Behavior of a Nb-Mo Microalloyed Medium Mn Alloy under Quasistatic Loads. Metals 2022, 12, 442. https://doi.org/10.3390/met12030442
Wu W, Cai M, Zhang Z, Tian W, Pan H. Elevated Temperature Tensile Behavior of a Nb-Mo Microalloyed Medium Mn Alloy under Quasistatic Loads. Metals. 2022; 12(3):442. https://doi.org/10.3390/met12030442
Chicago/Turabian StyleWu, Wenlong, Minghui Cai, Zeyu Zhang, Weigong Tian, and Haijun Pan. 2022. "Elevated Temperature Tensile Behavior of a Nb-Mo Microalloyed Medium Mn Alloy under Quasistatic Loads" Metals 12, no. 3: 442. https://doi.org/10.3390/met12030442
APA StyleWu, W., Cai, M., Zhang, Z., Tian, W., & Pan, H. (2022). Elevated Temperature Tensile Behavior of a Nb-Mo Microalloyed Medium Mn Alloy under Quasistatic Loads. Metals, 12(3), 442. https://doi.org/10.3390/met12030442
