Peculiarities of the Electro- and Magnetotransport in Semimetal MoTe2
Abstract
1. Introduction
2. Materials and Methods
3. Results and Discussion
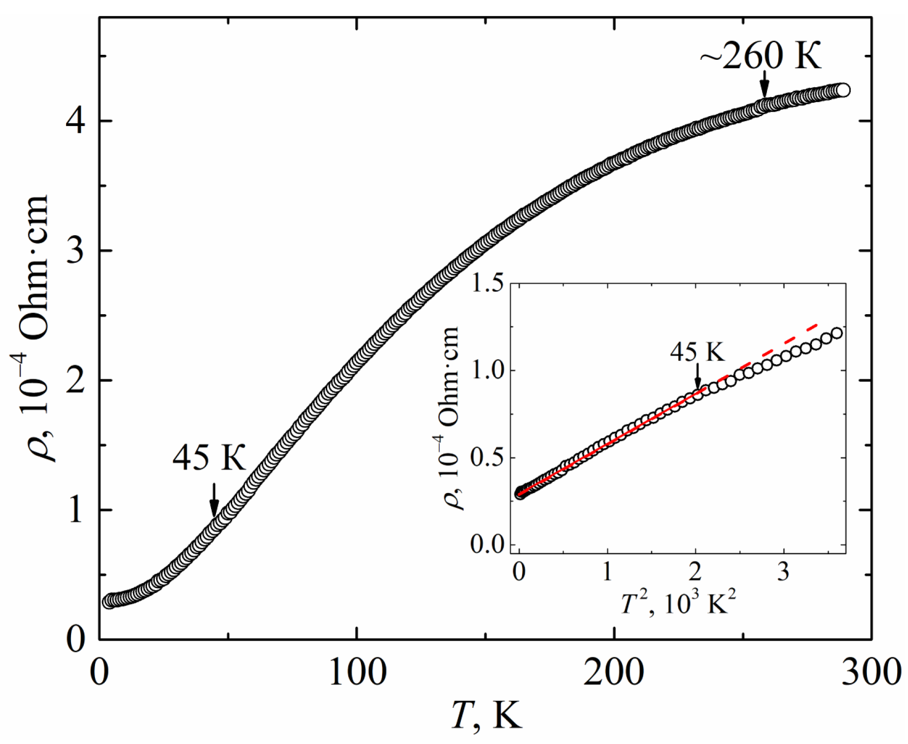
3.1. Electrical Resistivity
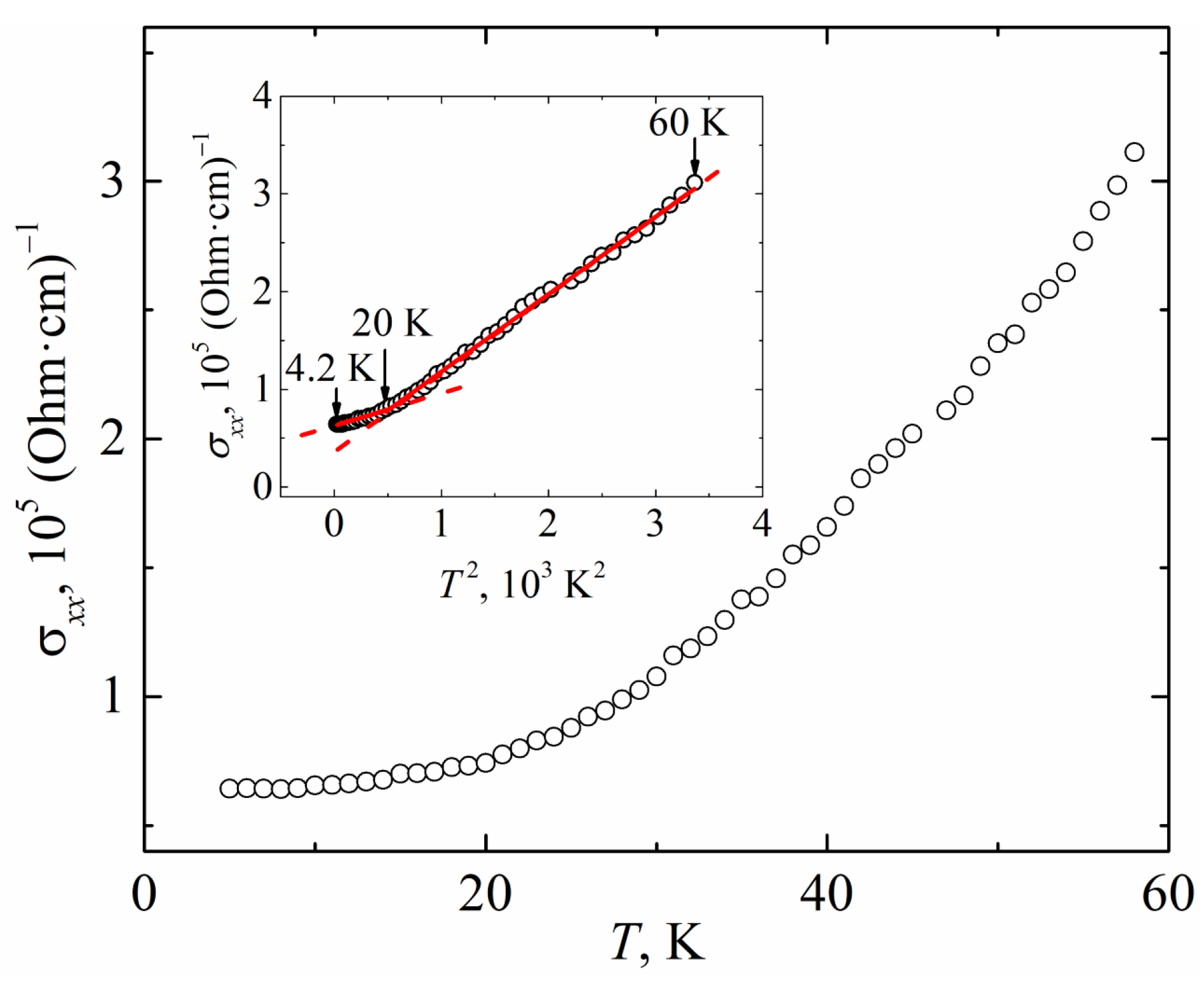
3.2. Resistivity (Conductivity) in Magnetic Field
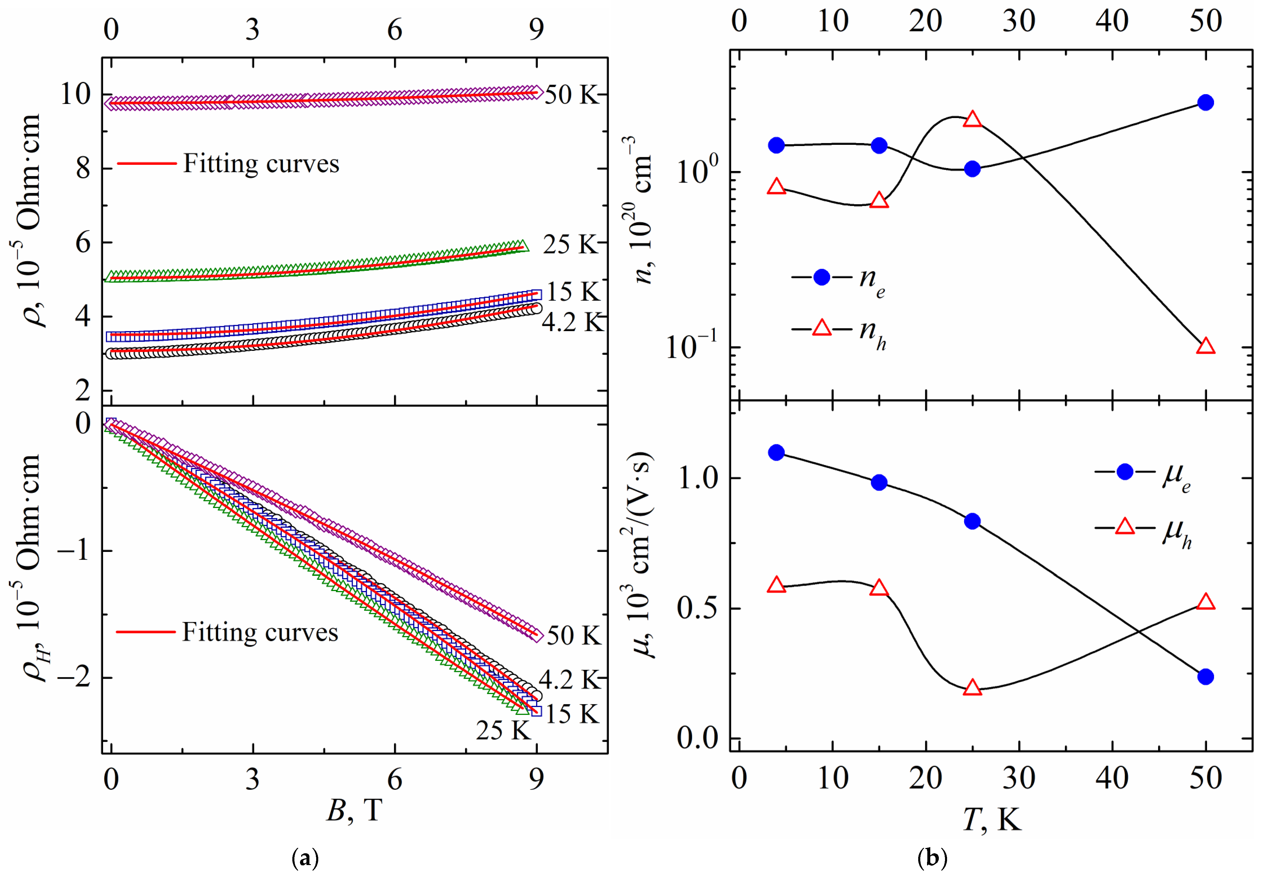
3.3. Hall Effect
4. Conclusions
- The quadratic temperature dependence of the electrical resistivity of MoTe2 was observed in a wide temperature range from 4.2 K to 45 K, which is consistent with the experimental results previously reported.
- The quadratic temperature dependence of the conductivity in a magnetic field was found in a wide temperature range. Moreover, two intervals can be distinguished: “low-temperature” and “high-temperature”. It has been suggested that in the low-temperature range, the quadratic dependence of the conductivity in a magnetic field might be associated with the “electron-phonon-surface” interference scattering mechanism.
- The analysis of data on the Hall effect in MoTe2 was carried out using single-band and two-band models. The values of concentration and mobility of current carriers were estimated. The Hall coefficients calculated from both models are in good agreement. Apparently, the two-band model is preferable in such systems containing different groups of current carriers.
Author Contributions
Funding
Data Availability Statement
Acknowledgments
Conflicts of Interest
References
- Armitage, N.P.; Mele, E.J.; Vishwanath, A. Weyl and Dirac semimetals in three-dimensional solids. Rev. Mod. Phys. 2018, 90, 015001. [Google Scholar] [CrossRef]
- Lv, B.Q.; Qian, T.; Ding, H. Experimental perspective on three-dimensional topological semimetals. Rev. Mod. Phys. 2021, 93, 025002. [Google Scholar] [CrossRef]
- Hasan, M.Z.; Kane, C.L. Colloquium: Topological insulators. Rev. Mod. Phys. 2010, 82, 3045–3067. [Google Scholar] [CrossRef]
- Liu, Y.; Chong, C.; Chen, W.; Huang, J.A.; Cheng, C.; Tsuei, K.; Li, Z.; Qiu, H.; Marchenkov, V.V. Growth and characterization of MBE-grown (Bi1− xSbx)2Se3 topological insulator. Jpn. J. Appl. Phys. 2017, 56, 070311. [Google Scholar] [CrossRef]
- Yan, B.; Felser, C. Topological Materials: Weyl Semimetals. Annu. Rev. Condens. Matter Phys. 2017, 8, 337–354. [Google Scholar] [CrossRef]
- Xu, S.-Y.; Belopolski, I.; Alidoust, N.; Neupane, M.; Bian, G.; Zhang, C.; Sankar, R.; Chang, G.; Yuan, Z.; Lee, C.-C.; et al. Discovery of a Weyl Fermion semimetal and topological Fermi arcs. Science 2015, 349, 613–617. [Google Scholar] [CrossRef]
- Soluyanov, A.A.; Gresch, D.; Wang, Z.; Wu, Q.; Troyer, M.; Dai, X.; Bernevig, B.A. Type-II Weyl semimetals. Nature 2015, 527, 495–498. [Google Scholar] [CrossRef]
- Wu, Y.; Mou, D.; Jo, N.H.; Sun, K.; Huang, L.; Bud’ko, S.L.; Canfield, P.C.; Kaminski, A. Observation of Fermi arcs in the type-II Weyl semimetal candidate WTe2. Phys. Rev. B 2016, 95, 121113. [Google Scholar] [CrossRef]
- Wang, C.; Zhang, Y.; Huang, J.; Nie, S.; Liu, G.; Liang, A.; Zhang, Y.; Shen, B.; Liu, J.; Hu, C.; et al. Observation of Fermi arc and its connection with bulk states in the candidate type-II Weyl semimetal WTe2. Phys. Rev. B 2016, 94, 241119. [Google Scholar] [CrossRef]
- Sun, Y.; Wu, S.-C.; Ali, M.N.; Felser, C.; Yan, B. Prediction of Weyl semimetal in orthorhombic MoTe2. Phys. Rev. B 2015, 92, 161107. [Google Scholar] [CrossRef]
- Deng, K.; Wan, G.; Deng, P.; Zhang, K.; Ding, S.; Wang, E.; Yan, M.; Huang, H.; Zhang, H.; Xu, Z.; et al. Experimental observation of topological Fermi arcs in type-II Weyl semimetal MoTe2. Nat. Phys. 2016, 12, 1105–1110. [Google Scholar] [CrossRef]
- Chernozatonskii, L.A.; Artukh, A.A. Quasi-two-dimensional transition metal dichalcogenides: Structure, synthesis, properties and applications. Phys. Usp. 2018, 61, 2. [Google Scholar] [CrossRef]
- Kim, H.-J.; Kang, S.-H.; Hamada, I.; Son, Y.-W. Origins of the structural phase transitions in MoTe2 and WTe2. Phys. Rev. B 2017, 95, 180101. [Google Scholar] [CrossRef]
- Vellinga, M.B.; de Jonge, R.; Haas, C. Semiconductor to Metal Transition in MoTe2. J. Solid State Chem. 1970, 2, 299–302. [Google Scholar] [CrossRef]
- Clarke, R.; Marseglia, E.; Hughes, H.P. A low-temperature structural phase transition in β-MoTe2. Philos. Mag. B 1978, 38, 121–126. [Google Scholar] [CrossRef]
- Ali, M.N.; Xiong, J.; Flynn, S.; Tao, J.; Gibson, Q.D.; Schoop, L.M.; Liang, T.; Haldolaarachchige, N.; Hirschberger, M.; Ong, N.P.; et al. Large, non-saturating magnetoresistance in WTe2. Nature 2014, 514, 205–208. [Google Scholar] [CrossRef]
- Keum, D.H.; Cho, S.; Kim, J.H.; Choe, D.-H.; Sung, H.-J.; Kan, M.; Kang, H.; Hwang, J.-Y.; Kim, S.W.; Yang, H.; et al. Bandgap opening in few-layered monoclinic MoTe2. Nat. Phys. 2015, 11, 482–486. [Google Scholar] [CrossRef]
- Li, P.; Wen, Y.; He, X.; Zhang, Q.; Xia, C.; Yu, Z.-M.; Yang, S.A.; Zhu, Z.; Alshareef, N.H.; Zhang, X.-X. Evidence for topological type-II Weyl semimetal WTe2. Nat. Commun. 2017, 8, 2150. [Google Scholar] [CrossRef] [PubMed]
- Shekhar, C.; Nayak, A.K.; Sun, Y.; Schmidt, M.; Nicklas, M.; Leermakers, I.; Zeitler, U.; Skourski, Y.; Wosnitza, J.; Liu, Z.; et al. Extremely large magnetoresistance and ultrahigh mobility in the topological Weyl semimetal candidate NbP. Nat. Phys. 2015, 11, 645–649. [Google Scholar] [CrossRef]
- Liang, T.; Gibson, Q.; Ali, M.N.; Liu, M.; Cava, R.J.; Ong, N.P. Ultrahigh mobility and giant magnetoresistance in the Dirac semimetal Cd3As2. Nat. Mater. 2015, 14, 280–284. [Google Scholar] [CrossRef]
- Zandt, T.; Dwelk, H.; Janowitz, C.; Manzke, R. Quadratic temperature dependence up to 50 K of the resistivity of metallic MoTe2. J. Alloys Compd. 2007, 442, 216–218. [Google Scholar] [CrossRef]
- Chen, F.C.; Lv, H.Y.; Luo, X.; Lu, W.J.; Pei, Q.L.; Lin, G.T.; Han, Y.Y.; Zhu, X.B.; Song, W.H.; Sun, Y.P. Extremely large magnetoresistance in the type-II Weyl semimetal MoTe2. Phys. Rev. B 2016, 94, 235154. [Google Scholar] [CrossRef]
- Chen, F.C.; Luo, X.; Xiao, R.C.; Lu, W.J.; Zhang, B.; Yang, H.X.; Li, J.Q.; Pei, Q.L.; Shao, D.F.; Zhang, R.R.; et al. Superconductivity enhancement in the S-doped Weyl semimetal candidate MoTe2. Appl. Phys. Lett. 2016, 108, 162601. [Google Scholar] [CrossRef]
- Lv, Y.-Y.; Cao, L.; Li, X.; Zhang, B.-B.; Wang, K.; Pang, B.; Ma, L.; Lin, D.; Yao, S.-H.; Zhou, J.; et al. Composition and temperature dependent phase transition in miscible Mo1−xWxTe2 single crystals. Sci. Rep. 2017, 7, 44587. [Google Scholar] [CrossRef] [PubMed]
- Perevalova, A.N.; Naumov, S.V.; Podgornykh, S.M.; Chistyakov, V.V.; Marchenkova, E.B.; Fominykh, B.M.; Marchenkov, V.V. Kinetic properties of topological semimetal WTe2 single crystal. Phys. Met. Metallogr. 2022; 123, in press. [Google Scholar]
- Kaveh, M.; Cherry, M.F.; Weger, M. New mechanism for the electrical resistivity of layer compounds: TiS2. J. Phys. C Solid State Phys. 1981, 14, L789–L795. [Google Scholar] [CrossRef]
- Zhou, Q.; Rhodes, D.; Zhang, Q.R.; Tang, S.; Schonemann, R.; Balicas, L. Hall effect within the colossal magnetoresistive semimetallic state of MoTe2. Phys. Rev. B 2016, 94, 121101. [Google Scholar] [CrossRef]
- Lee, S.; Jang, J.; Kim, S.I.; Jung, S.-G.; Kim, J.; Cho, S.; Kim, S.W.; Rhee, J.Y.; Park, K.-S.; Park, T. Origin of extremely large magnetoresistance in the candidate type-II Weyl semimetal MoTe2−x. Sci. Rep. 2018, 8, 13937. [Google Scholar] [CrossRef]
- Levy, F. Single-crystal growth of layered crystals. II Nuovo Cim. B 1977, 38, 359–368. [Google Scholar] [CrossRef]
- Brown, B.E. The Crystal Structures of WTe2 and High-Temperature MoTe2. Acta Cryst. 1966, 20, 268–274. [Google Scholar] [CrossRef]
- Al-Hilli, A.A.; Evans, B.L. The preparation and properties of transition metal dichalcogenide single crystals. J. Cryst. Growth 1972, 15, 93–101. [Google Scholar] [CrossRef]
- Bhattarai, N.; Forbes, A.W.; Dulal, R.P.; Pegg, I.L.; Philip, J. Transport characteristics of type II Weyl semimetal MoTe2 thin films grown by chemical vapor deposition. J. Mater. Res. 2020, 35, 454–461. [Google Scholar] [CrossRef]
- Startsev, V.E.; D’yakina, V.P.; Cherepanov, V.I.; Volkenshtein, N.V.; Nasyrov, R.S.; Manakov, V.G. Quadratic temperature dependence of the resistivity of tungsten single crystals. Role of surface scattering of electrons. Sov. Phys. JETP 1980, 52, 675–679. [Google Scholar]
- Marchenkov, V.V. Quadratic temperature dependence of magnetoresistivity of pure tungsten single crystals under static skin effect. Low Temp. Phys. 2011, 37, 852–855. [Google Scholar] [CrossRef]
- Marchenkov, V.V.; Weber, H.W. Size Effect in the High-Field Magnetoconductivity of Pure Metal Single Crystals. J. Low Temp. Phys. 2003, 132, 135–144. [Google Scholar] [CrossRef]
- Luo, Y.; Li, H.; Dai, Y.M.; Miao, H.; Shi, Y.G.; Ding, H.; Taylor, A.J.; Yarotski, D.A.; Prasankumar, R.P.; Thompson, J.D. Hall effect in the extremely large magnetoresistance semimetal WTe2. Appl. Phys. Lett. 2015, 107, 182411. [Google Scholar] [CrossRef]





Publisher’s Note: MDPI stays neutral with regard to jurisdictional claims in published maps and institutional affiliations. |
© 2022 by the authors. Licensee MDPI, Basel, Switzerland. This article is an open access article distributed under the terms and conditions of the Creative Commons Attribution (CC BY) license (https://creativecommons.org/licenses/by/4.0/).
Share and Cite
Perevalova, A.N.; Naumov, S.V.; Marchenkov, V.V. Peculiarities of the Electro- and Magnetotransport in Semimetal MoTe2. Metals 2022, 12, 2089. https://doi.org/10.3390/met12122089
Perevalova AN, Naumov SV, Marchenkov VV. Peculiarities of the Electro- and Magnetotransport in Semimetal MoTe2. Metals. 2022; 12(12):2089. https://doi.org/10.3390/met12122089
Chicago/Turabian StylePerevalova, Alexandra N., Sergey V. Naumov, and Vyacheslav V. Marchenkov. 2022. "Peculiarities of the Electro- and Magnetotransport in Semimetal MoTe2" Metals 12, no. 12: 2089. https://doi.org/10.3390/met12122089
APA StylePerevalova, A. N., Naumov, S. V., & Marchenkov, V. V. (2022). Peculiarities of the Electro- and Magnetotransport in Semimetal MoTe2. Metals, 12(12), 2089. https://doi.org/10.3390/met12122089

