Abstract
The search for environmentally neutral construction materials is an important aim of science from the middle of the XX century. We elaborated the method of the smelting of the new alloy Ti-20Nb-10Ta-5Zr. The Ti-20Nb-10Ta-5Zr was a β-phase alloy with an ~550 MPa yield strength, an ~700 MPa of ultimate strength and >50 GPa Young’s modulus. The Ti-20Nb-10Ta-5Zr alloy did not generate reactive oxygen species in contradistinction to the widely used NiTi. The biocompatibility of Ti-20Nb-10Ta-5Zr was studied. The human cell line cultured on the alloy showed a high mitotic index (2.2%) and a low cytotoxicity (<4% dead cells). The 30 days of the cultivation of the plants near the Ti-20Nb-10Ta-5Zr blanks did not influence the morphology and plants area. Therefore, Ti-20Nb-10Ta-5Zr may be considered as a material for the manufacture of environmentally neutral greenhouses of a new generation.
1. Introduction
The search for environmentally neutral structural materials has been ongoing since the 1960s [1]. Commonly used materials, especially metal ones, unfortunately, may be toxic against organisms, both of plants and humans [2]. Titanium is one of the most environmentally neutral metallic materials [3], but it is difficult to fabricate massive elements from titanium due to its high cost and hydrogen embrittlement [4]. There are various methods for measuring the level of indicators in titanium, which is associated with a decrease in the hydrogen embrittlement. The most common of these are galvanization (coating the surface of another metal) or alloying [5]. Currently, titanium-based alloys are widely used in different fields, for example, the fabrication of turbines for a power generation, the production of equipment to the chemical processing, aerospace, marine and automotive industry, architectural applications and the fabrication of bone and dental implants [6,7,8,9,10,11,12]. Recently, the use of alloys containing titanium in agriculture is described [13]. Historically, the most common titanium alloy is nitinol or titanium nickelide [14]. The addition of nickel (Ni) in an alloy improves its mechanical properties (for example, adding super elasticity and memory of shape) [15]. Unfortunately, the addition of Ni increases the toxicity of materials [16]. Mechanisms of Ni toxicity are similar to other transition metals [17]. The first mechanism is the generation of reactive oxygen species (ROS), for example, hydroxyl radicals (OH•) via a Fenton-like reaction. The second mechanism is the inactivation of proteins via binding to SH groups of amino acid. The third mechanism is the disturbance of the cell metabolism via binding to biologically active anions. These described processes lead to the development of oxidative stress-associated events, such as the lipid peroxidation [18,19], proteins modification [20] and DNA-modification, mutagenesis and carcinogenesis [21]. All these processes may be associated with senescence [22].
Today, titanium (Ti)-, niobium (Nb)-, tantalum (Ta)- and zirconium (Zr)-contained alloys are the most promising [23,24,25,26,27,28]. For the first time, alloys based on TiNbTaZr were obtained and applied in biomedicine more than a decade ago [29]. Currently, composite materials based on TiNbTaZr alloys are used for biomedical applications [30]. It should be noted that in some cases, molybdenum is used instead of niobium in alloys [31,32]. Such alloys are also super elastic and have shape memory, while they are devoid of all the disadvantages associated with the presence of nickel atoms in the composition. In the present study, for the first time, the TiNbTaZr-based alloy with proportions of Nb:Ta:Zr equal to 20:10:5% has been developed. The toxicity against animal cells and the cultivated plants of the TiNbTaZr alloy was examined. We showed that the TiNbTaZr alloy is environmentally neutral. The TiNbTaZr alloy had a low toxicity against both the human cell line and plants in vivo. The physicochemical and mechanical properties of the developed alloy were researched. Like nitinol, the TiNbTaZr-based alloy has a super elasticity and shape memory properties: a yield strength (σy) of ~550 MPa, a tensile strength (σB) of ~700 MPa and Young’s modulus (E) of ~50 GPa. It is possible to obtain overall products from the developed alloy. We believe that the Ti-20Nb-10Ta-5Zr alloy can be used in the manufacturing of a new type of environmentally neutral greenhouses in the near future.
2. Materials and Methods
2.1. Alloy Smelting
Iodides of titanium (TiI4) and zirconium (ZrI4), chemical pure Nb0 (99,9%) and Ta0 were used as the charge materials. The melting of the samples was carried out in an electric arc vacuum oven with a tungsten electrode (Leybold-Heraeus, Cologne, Germany). A ZrI4 ingot was chosen as a getter. The samples were melted 5 times in cycles (each 1–1.5 min) and were turned over in each cycle. The melting of the samples was reformed at the argon atmosphere. [25]. The homogenous distribution of the charge materials in the alloy was provided by homogenizing annealing at pressure 2 × 10−5 mm Hg, 600 °C within 12 h [26].
2.2. Samples Preparation
The alloy plates with a height of 1 mm were obtained by the following technique. The preforms were heated before deformation in a muffle furnace PM-4 (Plavka.Proб Moscow, Russia) for 25 min. The initial deformation of the alloy fragment with a height of 10–12 mm was made by warm rolling at 600 °C on a two-roll mill DUO-300 (NPP Energoterm-system, Moscow, Russia). Partial absolute reductions of the alloy samples were made in three steps: 1.5 mm/pass, 1.0 mm/pass and 0.5 mm/pass up to a sample fatness of 4.0, 0.2 and 1 mm, respectively. The fatness of a sample at 1 mm was designed as final. The intermediate heating of the billets after each pass was carried out for 5 min. The alloy samples were cut by electroerosion for an in vitro assay (biocompatibility with the cell lines) into pieces with a length of 10 mm, a width of 10 mm and a height of 1 mm. The samples were cut for an in vivo assay (biocompatibility with whole plants) into pieces with a length of 10 mm, a width of 5 mm and a height of 1 mm. All visible defects were deleted from all the samples’ surfaces by polishing [33]. Wire with a diameter of about 300 μm was also made with the early described technology [24].
2.3. Assay of the Physicochemical and Mechanical Properties of the Alloy
The element composition of the alloy was studied by X-ray diffraction (CuKα radiation) in a parallel beam geometry with an X-ray diffractometer Arl X`Tra instrument (Thermo Fisher Scientific, Waltham, MA, USA). The error in the position of the reflections in the device was less than 0.010 2ϴ. The crystal cell properties were specified by the Nelson–Riley method to ϴ = 900 [33]. The surface properties of the alloy were studied with SEM Vega II (Tescan, Brno, Czech Republic). The phase composition of the alloy was investigated with an electron spectrometer (Jeol, Tokyo, Japan). The calorimetric properties of the alloy were evaluated by differential scanning calorimetry with DSC STA-409PC (Netzsch, Burlington, MA, USA). Alloy pieces of 50 mg were heated in argon in a temperature diapason 400–900 °C with an increment of 10 °C/min. Dilatometric studies were performed with a DIL 402 C7G high-temperature dilatometer (Netzsch, Exton, PA, USA) used for [25]. Optical microscopy was performed using a GX51 microscope (Olympus, Tokyo, Japan). The surface properties were studied by AFM with Nanopics 2000 (Seiko, Tokyo, Japan) and laser modulation interference microscopy with MIM 321 (AmphoraLab, Moscow, Russia) [34]. The work piece roughness was studied using an ISHP-210 profilometer (NTC Expert, Lobnya, Russia). The σy, σB and E were measured with testing machine 3382 (Instron, Norwood, MA, USA) [26].
2.4. Study of Interaction of the Alloy with Saline Solutions
The Ti-20Nb-10Ta-5Zr alloy plates (5 × 15 × 1 mm) were placed in a waterlogged soil solution and placed and exposed at 40 or 80 °C for 2 h. The obtained solutions were used in the study of the ROS’ generation.
2.5. Measurement of Long-Lived Reactive Protein Species (LRPS)
The determination of the LRPS’ concentration was performed by the method of the intrinsic chemiluminescence (CL) of the protein solutions with a highly sensitive CL-meter Biotoks (Econ, Moscow, Russia) [35]. The bovine serum albumin (1 mg/mL) solution was incubated with alloy samples for 2 h at 37 °C. After that, the samples were incubated in the dark and at 25 °C for 30 min. The amount of LRPS was measured in the dark at 25 °C in scintillation count-compatible cuvettes (Beckman, Indianapolis, IN, USA) [36].
2.6. Measurement of Hydrogen Peroxide (H2O2) Concentration
The concentration of H2O2 in the solutions was menstruated by highly sensitive CL. The concentration of H2O2 in the experimental samples was evaluated with calibration graphs (abscise is H2O2 amount, ordinate is CL-intensity). The initial concentrations of the H2O2 standards were menstruated by spectrophotometry at 240 nm, ε = 43.6 (M−1·cm−1) [37]. The samples were added in 1 mL 0.1 M Tris-HCl buffer (pH 8.5) with p-iodophenol, luminol and peroxidase in concentrations 50 μM, 50 μM and 10 nM, respectively [38]. The CL-intensity was measured with Biotoks-7 chemiluminometer (Econ, Moscow, Russia). Only freshly prepared solutions were used. The limit of detection is <1 nM [39].
2.7. Measurement of OH• Concentration
A coumarin-3-carboxylic acid (CCA)-based method was used to menstruate the concentration of [OH•]. [OH•] hydroxylates non-fluorescent CCA to high-fluorescent product 7-hydroxycoumarin-3-carboxylic (7-OH-CCA). The CCC solution (0.5 mM) in water (pH 3.6) was mixed with PBS (pH 7.4) and the samples [40]. The fluorescence intensity of 7-OH-CCA was menstruated on an SFM 25A (Kontron Instruments, Milan, Italy) with λex/λem 407/470 nm. Commercially available 7-OH-CCA (Sigma-Aldrich, St. Louis, MO, USA) was used for the calculation of the calibration curve [41].
2.8. Cytotoxicity Assay
The biocompatibility of the Ti-20Nb-10Ta-5Zr was studied on the human SH-SY5Y cell line. Microscopic analysis was performed with a Leica DMI6000 confocal microscope (Leica, Wetzlar, Germany). A viability of the culture was estimated as a ratio of the dead cells amount to the living+dead cells amount. The cells were loaded by 5 µg/mL of Hoechst 33342 and 2 mM of propidium iodide (PI) (both Sigma, Street Saint Louis, MO, USA). The Hoechst 33342 marks all cells (living + dead) and the PI marks only dead cells; >500 cells were analyzed in each sample [42]. The amount of cells in the mitotic stage (M-stage) of the cell circle was evaluated by fluorescent microscopy with Hoechst 33342 in vivo staining. M-stage cells were founded by specific nucleus morphology. To analyze the mitotic activity of the cells, the mitotic index (MI) was evaluated at day 3 of the experiment. MI is equal to the ratio of the sum of cells in mitosis to the total number of analyzed cells taken as 100% [43]. The influence of Ti-20Nb-10Ta-5Zr and other alloys on the SH-SY5Y culture density was studied in addition to the viability and proliferation.
2.9. Leaves Areas Assay
Studied plants grew in a climatic chamber. The plants grew in the soil at 22 °C, with illumination for 16 h/day. The leaves areas of the tomatoes and cucumbers were measured using the “GreenImage”V.1 program (GPI RAS, Moscow, Russia) described earlier [41]. The original photos of the plants with RGB-color coding were obtained with a digital camera PowerShot SX430 (Canon, Tokyo, Japan). The distance between the camera and a plant specimen stand was constant throughout the study. To select pixels corresponding to the image of the leaves in a photo, the following procedure was carried out BG = Bg − aBr − bBb, where Bg, Br and Bb are the “brightness” of each pixel in the red, green or blue channel, BG is the “clean” brightness of the green component in each pixel and a and b are the weight coefficients. After the IG calculation, “true” green pixels were chosen by the threshold procedure. A leaf area was calculated as the multiplication of the “true” green pixels amount on the specific area of a pixel [44].
2.10. Statistic
The results are shown as the average values and standard errors (SE). At least three independent measurements were carried out in each variant. T-test was used to estimate significant differences between the samples.
3. Results
The proportions of Ti, Nb, Ta and Zr in the developed alloy were 65, 20, 10 and 5% (Figure 1a). The zirconium quantities on the alloy’s surface and in the alloy’s thickness were equal. At the same time, the alloy surface contained ~20% less Ti and ~20% more tantalum compared with the alloy’s thickness. The surface of Ti-20Nb-10Ta-5Zr contented to more than ~50% of all the oxygen detected in the alloy. The proportion of oxygen decreased when moving deeper into the workpiece. The amount of oxygen was 20 and 10% and trace counts at 0.02, 0.1 and 0.2 μm from the surface, respectively.
Figure 1.
Physical features of Ti-20Nb-10Ta-5Zr alloy: (a) element composition; (b) X-ray phase analysis; (c) function heat flow from temperature; (d) results of dilatometric analysis of the alloy. The red line is the left y-axis, the green line is the right y-axis.
The phase properties of the TiNbTaZr alloy were investigated (Figure 1b). TiNbTaZr is a single-phase alloy. The crystal cell can be attributed to type β-Ti. The type of the crystal cell syngony is cubic. The space group was attributed to Im-3m. Peak positions: 38.6508 (d-spacing 2.33052, Rel. Int. 100.00%, hkl 011, beta), 69.6987 (d-spacing 1.34857, Rel. Int. 12.53%, hkl 112, beta), 82.5072 (d-spacing 1.16844, Rel. Int. 3.62%, hkl 022, beta), 94.9302 (d-spacing 1.04546, Rel. Int. 4.11%, hkl 013, beta), 107.5824 (d-spacing 0.95465, Rel. Int. 0.41%, hkl 222, beta) and 121.1965 (d-spacing 0.88407, Rel. Int. 5.19%, hkl 123, beta). The 107.5824 peak had a very low intensity of occurrence of 0.41% of the total and is hardly noticeable. The mechanical properties of the TiNbTaZr alloy were studied in the next step. We determined the following values of the important characteristics of an alloy: σy ~550 MPa, σB ~ 700 MPa and E ~ 50 GPa, with a relative fastening of ~1.4%. A phase transition was shown at ≤600 °C during the calorimetric assay (Figure 1c).
A dilatometric analysis of the Ti-20Nb-10Ta-5Zr was performed to determine the coefficients of a thermal expansion of the materials at changes in the temperatures (Figure 1d). The temperature intervals of the Ti-20Nb-10Ta-5Zr thermal expansion are observed on the graphs. The first derivative of the dilatometric curve was also calculated to more exactly determine the phase transition temperatures. Processes similar to the phase transitions were found at ~400 and ~850 °C.
The microphotographs of the morphology of Ti-20Nb-10Ta-5Zr are shown on Figure 2a. The roughness of a few micrometers was observed on the Ti-20Nb-10Ta-5Zr superficies before polishing. After polishing the surface of the Ti-20Nb-10Ta-5Zr alloy, it contains fewer defects and irregularities (Figure 2b).
Figure 2.
Microphotographs of the Ti-20Nb-10Ta-5Zr surface: (a) after fabrication; (b) after polishing. Scale bar is represented as a white rectangle. The width of the corresponding rectangle (µm) is given inside it.
The more detailed surface features were studied by AFM and MIM. It was shown that even in the relatively flat areas, there are folds and longitudinal comb-like structures up to 0.5 µm high (Figure 3a). Crest-like irregularities 100–150 nm high were observed on Ti-20Nb-10Ta-5Zr by both microscopy methods (Figure 3b). More pronounced irregularities were not detected.
Figure 3.
Data of nano-scale properties of the Ti-20Nb-10Ta-5Zr alloy surface: (a) AFM data; (b) MIM data.
The impact of the Ti-20Nb-10Ta-5Zr alloy on the rate of ROS and the LRPS’ production was investigated (Figure 4). In the presence of some metals, a more rapid course of Red/Ox processes is observed, and with an increase in the temperature, these processes accelerate significantly. Therefore, experiments were carried out at temperatures exceeding the standard condition (25 °C). The scheme of the experimental chamber is shown in Figure 4a. Pure Ti and nitinol (NiTi) were taken as positive and negative controls, respectively. The heating-induced generation of the LRPS is shown in Figure 4b. Pure titanium increased a rate of the LRPS’ generation by less than 10%. The studied alloys increased the LRPS’ generation and made it more intense. Nitinol increased the ROS’ and LRPS’ production rate by about 60%, while the Ti-20Nb-10Ta-5Zr accelerated the ROS’ and LRPS’ production by less than 30%.
Figure 4.
Influence of Ti-20Nb-10Ta-5Zr on ROS and LRPS rate production: (a) Scheme of experimental chamber (1—thermostat, 2—Ti-20Nb-10Ta-5Zr alloy, 3—Petri dish, 4—saline solution); (b) influence of Ti-20Nb-10Ta-5Zr alloy on LRPS rate production (120 min, 40 °C); (c) influence of Ti-20Nb-10Ta-5Zr alloy on H2O2 rate production (120 min, 40 °C); (d) influence of Ti-20Nb-10Ta-5Zr alloy on generation of hydroxyl radicals (2 h, 80 °C). *—p < 0.05 vs. solution without metal samples, two sample two-tailed t-test.
The impact of the Ti-20Nb-10Ta-5Zr alloy on the ROS’ production rate was estimated. Heating without the sample induced the generation of both H2O2 and [OH•] (Figure 4c,d). The NiTi alloy increased in the rate of the generation of H2O2 by 200%. The concentration of [OH•] increased by 900% in the presence of the NiTi alloy. Ti and the Ti-20Nb-10Ta-5Zr alloy had a similar impact on the ROS’ production rate and increased the concentration of H2O2 by 50% and [OH•] by 100%.
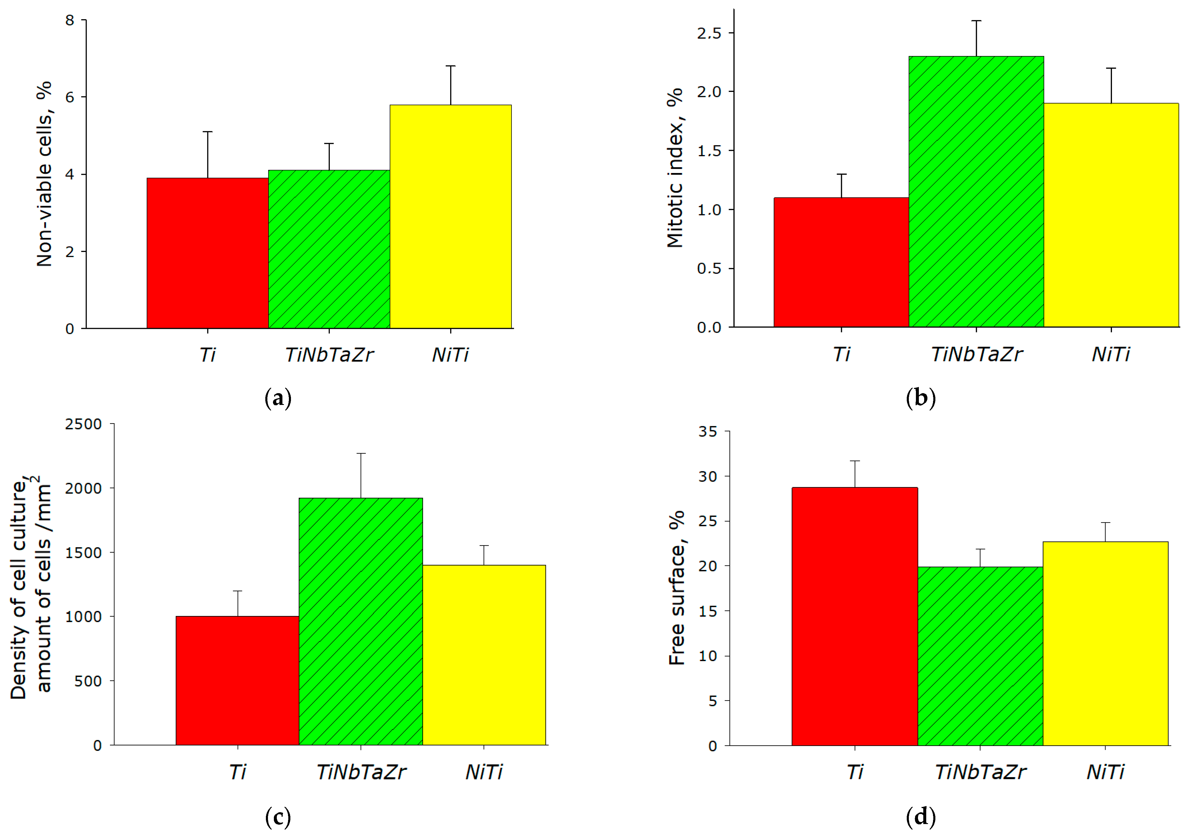
The effect of the Ti-20Nb-10Ta-5Zr alloy on the survival of the SH-SY5Y culture cells was researched (Figure 5a). The number of dead cells on pure Ti or Ti-20Nb-10Ta-5Zr did not exceed 4%. Nitinol increased the count of the dead cells by more than 1.5 times compared to the Ti-20Nb-10Ta-5Zr alloy. The same effects were observed both during the cell’s growth in metal substrates and wires.
Figure 5.
Impact of the Ti-20Nb-10Ta-5Zr on human cell line proliferation and viability: (a) effect of Ti-20Nb-10Ta-5Zr alloy on cell viability; (b) impact of the Ti-20Nb-10Ta-5Zr alloy on the proliferation rate (MI); (c) impact of Ti-20Nb-10Ta-5Zr on cell culture density; (d) impact of the Ti-20Nb-10Ta-5Zr on cell culture confluency.
The mitotic index (MI) of the SH-SY5Y culture on pure Ti was 1.2%. The MI was 1.8% or 2.2% during the growth on nitinol or the Ti-20Nb-10Ta-5Zr alloy, respectively (Figure 5b). The MI of the culture on the surface of Ti-20Nb-10Ta-5Zr was higher at 45% and 20% compared to the Ti and NiTi alloy, respectively.
The SH-SY5Y culture density was ~1000 cells per mm2 in case of titanium (Figure 5c) and ~1500 cells per mm2 in case of nitinol. The cell culture density was ~2000 cells per mm2 on Ti-20Nb-10Ta-5Zr.
It has been shown that the nitinol and Ti-20Nb-10Ta-5Zr samples are more appropriate for the cells’ adhesion and growth than the titanium surface (Figure 5d). The cells’ culture on the Ti sample occupied a smaller area available for growth compared to the NiTi and Ti-20Nb-10Ta-5Zr samples. The cells did not achieve full (100%) confluency after 3 days of the experiment on all the samples. The culture confluency did not exceed 80% on NiTi or Ti-20Nb-10Ta-5Zr, but it was higher compared to Ti (70%).
The impact of Ti-20Nb-10Ta-5Zr on the growth rate of cucumbers (Cucumis sativus) and tomatoes (Solanum lycopersicum) was studied. The Ti-20Nb-10Ta-5Zr alloy pieces (0.5 cm wide) were fully driven into the soil with studied plants at a rate of 1 piece per 10 cm2. The Ti-20Nb-10Ta-5Zr alloy did not affect the growth rate of all the studied plants (Figure 6).
Figure 6.
Ti-20Nb-10Ta-5Zr influence on plant growth: (a) average values Solanum lycopersicum leaf areas; (b) photos of Cucumis sativus plants (left—control, right—Ti-20Nb-10Ta-5Zr alloy).
The appearance and structure of the metal samples’ surface after being kept in soil for 30 days were studied. The control Ni metal and alloys were kept at a normal humidity and 25 °C. Some of the samples were in contact with waterlogged soil at a serum temperature of 25 °C. The appearance and structure of Ti-20Nb-10Ta-5Zr did not significantly change after testing.
4. Discussion
Titanium is a light, refractory, very strong and ductile, chemically resistant silver-white metal of the IV B group of the periodic table of chemical elements [33]. The analogues of titanium in the group are zirconium and hafnium. The alloying of titanium with zirconium increases the mechanical properties and machinability of titanium, and makes it more durable and resistant to external factors [34]. Titanium is a polymorphic metal and exists in two allotropic forms: α and β. To obtain the alloys, titanium is alloyed with various metals. Doping changes the position of the allotropic transformation temperature of titanium α-β. The elements that increase the temperature of the (α-β) transformation contribute to the stabilization of the α-solid solution and are called α-stabilizers (aluminum, oxygen and nitrogen). Elements that lower the temperature (α-β) of the transformation contribute to the stabilization of the β-solid solution and are called β-stabilizers (molybdenum, vanadium, niobium, tantalum, chromium and manganese). In addition, vanadium, niobium, tantalum, molybdenum and tungsten can dissolve indefinitely in the β-modification of titanium and dissolve to a limited extent in the α-modification [35].
In the present study, we developed the technique of the production of the Ti-20Nb-10Ta-5Zr alloy. The obtained alloy is homogeneous (Figure 1a and Figure 2b). The calorimetric and dilatometric properties of Ti-20Nb-10Ta-5Zr (Figure 1c,d) are similar to the properties of other widely used alloys [24,25,26,27]. However, Ti-20Nb-10Ta-5Zr showed an amount of ultimate strength equal to 700 MPa. It is more than other Ti-based alloys. For example, the ultimate strength of widely used Ti-33Nb-4Sn and Ti-25Ta alloys are 650 and 600 MPa, respectively [45,46]. The Ti-20Nb-10Ta-5Zr alloy has an excellent polishability. The surface of the alloy appears smooth after polishing without crack initiation zones (Figure 2b,c). The peaks and troughs were shown on the alloy surface at the nanoscale (Figure 3). However, no breaks or crack-initiation zones were observed.
ROS are permanently generated in cells as a byproduct of respiration in mitochondria and under some physicochemical conditions [47,48,49]. There are special protective antioxidant systems against the ROS’ destructive activity in a cell. The overproduction of ROS in cells (ROS’ production > activity of antioxidants) leads to oxidative stress. Oxidative stress is associated with processes dangerous for cell life, such as phospholipid peroxidation, modification of proteins and DNA/RNA [50]. The oxidation of DNA is the main reason for mutation, malignancies, senescence of cells and whole organism and some elderly related diseases [51]. It is known that under the action of heat, ROS are also generated. The heating of water solutions without transition metals may induce the generation and accumulation of H2O2 [52]. H2O2 is a medium strength oxidizer. It plays a double role. On one side, H2O2 in high concentrations can damage and inactivate all types of biomolecules. On the other hand, H2O2 in a low concentration is considered an intracellular signal molecule [53]. It is known that transition metals (Fe and others) catalyze the decomposition of H2O2 with a generation OH• through the Fenton reaction. OH• is the most active and destroying for biological systems ROS [54]. Nitinol in aqueous solutions increased the generation of ROS (Figure 4c,d). Ti-20Nb-10Ta-5Zr also increased the ROS’ generation, but the generation of ROS, in this case, was much slower. It can be argued that the alloy obtained in this study is safer than nitinol in terms of ROS’ generation.
Transient metals also can accelerate the formation of LRPS in addition to the formation of ROS. LRPS includes long-lived proteins radicals and protein hydroperoxides [55]. LRPS have genotoxic and oncogenic activities [55]. It has been established that the Ti-20Nb-10Ta-5Zr alloy is more biosafe than the similar nitinol alloy, because Ti-20Nb-10Ta-5Zr leads to a two times fewer generation of LRPS in saline solution in comparison with a NiTi. In addition, the Ti-20Nb-10Ta-5Zr alloy does not interfere with eukaryotic cell growth and proliferation (Figure 5). Moreover, the long-time and abundant presence of Ti-20Nb-10Ta-5Zr plates in soil has no effect on the growth of tomato or cucumber plants (Figure 6). The decrease in the leaf area or discoloration of leaves are classic symptoms of metal poisoning in a plant [56]. In our case, neither of these was observed. Thus, it has been shown that the alloy obtained in this study does not pose a significant danger to eukaryotic cells, both of plant and animal origin, with a short-term use.
5. Conclusions
We have developed a technology for producing the new alloy with the composition Ti-20Nb-10Ta-5Zr. The alloy has the desired mechanical characteristics. Micro- and nanostructures are observed on Ti-20Nb-10Ta-5Zr superficies. Ti-20Nb-10Ta-5Zr increased the generation of ROS and LRPS two times less than Ni or NiTi, therefore the Ti-20Nb-10Ta-5Zr alloy is preferable compared to nitinol. Eukaryotic cells can effectively grow and proliferate on the alloy’s surface. Growing plants (tomato and cucumber) in a close proximity to massive alloys or wire blanks did not reveal any apparent problems. The superficies morphology and composition of the Ti-20Nb-10Ta-5Zr pieces stayed unchangeable within 30 days of exposition in soil. However, the effect of the Ti-20Nb-10Ta-5Zr alloy on more complex physiological processes in animal and plant cells cannot be completely ruled out. An aim of future studies is the evaluation of the influences of Ti-20Nb-10Ta-5Zr or similar alloys on physiological and molecular processes in plant and animal cells. The obtained data expand the general understanding of the improvement in titanium-based alloys’ biocompatibility and expand the field of their practical application in agriculture. Based on the above, Ti-20Nb-10Ta-5Zr is a new material for the potential manufacture of a new generation of environmentally neutral greenhouses.
Author Contributions
Conceptualization, R.M.S.; methodology, M.A.S.; software, M.E.A.; investigation, R.M.S., V.N.L., D.V.Y., A.V.S. (Alexey V. Sibirev), A.A.S., A.V.S. (Alexandr V. Simakin) and N.F.B.; resources, S.V.K.; writing—original draft preparation, R.M.S. and D.A.S.; writing—review and editing, A.P.G.; visualization, I.V.B.; supervision, S.V.G.; funding acquisition, S.V.G. All authors have read and agreed to the published version of the manuscript.
Funding
This research was funded by a grant from the Ministry of Science and Higher Education of the Russian Federation for large scientific projects in priority areas of scientific and technological development (number 075-15-2020-774).
Institutional Review Board Statement
Not applicable.
Informed Consent Statement
Not applicable.
Data Availability Statement
The raw data supporting the conclusions of this article will be made available by the authors, without undue reservation.
Acknowledgments
The authors thank the Shared Use Center of the GPI RAS for access to the necessary equipment.
Conflicts of Interest
The authors declare no conflict of interest.
References
- Mohajerani, A.; Burnett, L.; Smith, J.V.; Markovski, S.; Rodwell, G.; Rahman, M.T.; Kurmus, H.; Mirzababaei, M.; Arulrajah, A.; Horpibulsuk, S.; et al. Recycling waste rubber tyres in construction materials and associated environmental considerations: A review. Resour. Conserv. Recycl. 2020, 155, 104679. [Google Scholar] [CrossRef]
- Długosz, O.; Szostak, K.; Staroń, A.; Pulit-Prociak, J.; Banach, M. Methods for Reducing the Toxicity of Metal and Metal Oxide NPs as Biomedicine. Materials 2020, 13, 279. [Google Scholar] [CrossRef] [PubMed]
- Su, H.; Luo, X.-B.; Chai, F.; Shen, J.-C.; Sun, X.-J.; Lu, F. Manufacturing Technology and Application Trends of Titanium Clad Steel Plates. J. Iron Steel Res. Int. 2015, 22, 977–982. [Google Scholar] [CrossRef]
- Nelson, H.G.; Williams, D.P.; Stein, J.E. Environmental hydrogen embrittlement of an α-β titanium alloy: Effect of microstructure. Metall. Mater. Trans. B 1972, 3, 473–479. [Google Scholar] [CrossRef]
- Lee, S.C.; Ho, W.Y.; Huang, C.C.; Meletis, E.I.; Liu, Y. Hydrogen embrittlement and fracture toughness of a titanium alloy with surface modification by hard coatings. J. Mater. Eng. Perform. 1996, 5, 64–70. [Google Scholar] [CrossRef]
- Kaur, M.; Singh, K. Review on titanium and titanium based alloys as biomaterials for orthopaedic applications. Mater. Sci. Eng. C Mater. Biol. Appl. 2019, 102, 844–862. [Google Scholar] [CrossRef]
- Cordeiro, J.M.; Beline, T.; Ribeiro, A.L.R.; Rangel, E.C.; da Cruz, N.C.; Landers, R.; Faverani, L.P.; Vaz, L.G.; Fais, L.M.G.; Vicente, F.B.; et al. Development of binary and ternary titanium alloys for dental implants. Dent. Mater. 2017, 33, 1244–1257. [Google Scholar] [CrossRef]
- Vijayaram, D.T.; Natarajan, M.; Ramarao, M.; Ananthapadmanaban, D. Titanium and Titanium Alloys: Advanced Materials for Engineering Industries. 2021. Available online: https://www.researchgate.net/publication/355903268_Titanium_and_Titanium_Alloys_Advanced_Materials_for_Engineering_Industries (accessed on 1 July 2022).
- Cotton, J.D.; Briggs, R.D.; Boyer, R.R.; Tamirisakandala, S.; Russo, P.; Shchetnikov, N.; Fanning, J.C. State of the Art in Beta Titanium Alloys for Airframe Applications. JOM 2015, 67, 1281–1303. [Google Scholar] [CrossRef]
- Williams, J.C.; Boyer, R.R. Opportunities and Issues in the Application of Titanium Alloys for Aerospace Components. Metals 2020, 10, 705. [Google Scholar] [CrossRef]
- Veiga, C.; Davim, J.P.; Loureiro, A. Review on machinability of titanium alloys: The process perspective. Rev. Adv. Mater. Sci. 2013, 34, 148–164. [Google Scholar]
- Gurrappa, I. Characterization of titanium alloy Ti-6Al-4V for chemical, marine and industrial applications. Mater. Charact. 2003, 51, 131–139. [Google Scholar] [CrossRef]
- Dostayeva, A.; Toleuova, A. Physical and chemical interaction of aluminum with titanium and nickel for further use in parts of agricultural machinery. Engineering for Rural Development. Proc. Int. Sci. Conf. (Latv.) 2021, 105, 811–816. [Google Scholar] [CrossRef]
- Logacheva, A.I. Titanium nickelide-based shape memory alloy for space engineering. Russ. Metall. (Met.) 2014, 2014, 928–931. [Google Scholar] [CrossRef]
- Chaudhari, R.; Vora, J.J.; Parikh, D.M. A Review on Applications of Nitinol Shape Memory Alloy. In Recent Advances in Mechanical Infrastructure; Parwani, A.K., Ramkumar, P.L., Abhishek, K., Yadav, S.K., Eds.; Springer: Singapore, 2021; pp. 123–132. [Google Scholar]
- Shabalovskaya, S.A. Physicochemical and biological aspects of Nitinol as a biomaterial. Int. Mater. Rev. 2001, 46, 233–250. [Google Scholar] [CrossRef]
- Hassan, M.U.; Chattha, M.U.; Khan, I.; Chattha, M.B.; Aamer, M.; Nawaz, M.; Ali, A.; Khan, M.A.U.; Khan, T.A. Nickel toxicity in plants: Reasons, toxic effects, tolerance mechanisms, and remediation possibilities—A review. Environ. Sci. Pollut. Res. 2019, 26, 12673–12688. [Google Scholar] [CrossRef]
- Samsonov, M.V.; Podkuychenko, N.V.; Khapchaev, A.Y.; Efremov, E.E.; Yanushevskaya, E.V.; Vlasik, T.N.; Lankin, V.Z.; Stafeev, I.S.; Skulachev, M.V.; Shestakova, M.V.; et al. AICAR Protects Vascular Endothelial Cells from Oxidative Injury Induced by the Long-Term Palmitate Excess. Int. J. Mol. Sci. 2022, 23, 211. [Google Scholar] [CrossRef]
- Grigorieva, D.V.; Gorudko, I.V.; Grudinina, N.A.; Panasenko, O.M.; Semak, I.V.; Sokolov, A.V.; Timoshenko, A.V. Lactoferrin modified by hypohalous acids: Partial loss in activation of human neutrophils. Int. J. Biol. Macromol. 2022, 195, 30–40. [Google Scholar] [CrossRef]
- Zakharova, E.T.; Sokolov, A.V.; Pavlichenko, N.N.; Kostevich, V.A.; Abdurasulova, I.N.; Chechushkov, A.V.; Voynova, I.V.; Elizarova, A.Y.; Kolmakov, N.N.; Bass, M.G.; et al. Erythropoietin and Nrf2: Key factors in the neuroprotection provided by apo-lactoferrin. BioMetals 2018, 31, 425–443. [Google Scholar] [CrossRef]
- Abdullaev, S.; Minkabirova, G.; Karmanova, E.; Bruskov, V.; Gaziev, A. Metformin prolongs survival rate in mice and causes increased excretion of cell-free DNA in the urine of X-irradiated rats. Mutat. Res. Genet. Toxicol. Environ. Mutagen. 2018, 831, 13–18. [Google Scholar] [CrossRef]
- Poetsch, A.R. The genomics of oxidative DNA damage, repair, and resulting mutagenesis. Comput. Struct. Biotechnol. J. 2020, 18, 207–219. [Google Scholar] [CrossRef]
- Sevostyanov, M.A.; Kolmakov, A.G.; Sergiyenko, K.V.; Kaplan, M.A.; Baikin, A.S.; Gudkov, S.V. Mechanical, physical–chemical and biological properties of the new Ti–30Nb–13Ta–5Zr alloy. J. Mater. Sci. 2020, 55, 14516–14529. [Google Scholar] [CrossRef]
- Konushkin, S.V.; Sergiyenko, K.V.; Nasakina, E.O.; Leontyev, V.G.; Kuznetsova, O.G.; Titov, D.D.; Tsareva, A.M.; Dormidontov, N.A.; Kirsankin, A.A.; Kannykin, S.V.; et al. Study of the physicochemical and biological properties of the new promising Ti–20Nb–13Ta–5Zr alloy for biomedical applications. Mater. Chem. Phys. 2020, 255, 123557. [Google Scholar] [CrossRef]
- Gudkov, S.V.; Simakin, A.V.; Konushkin, S.V.; Ivannikov, A.Y.; Nasakina, E.O.; Shatova, L.A.; Kolmakov, A.G.; Sevostyanov, M.A. Preparation, structural and microstructural characterization of Ti–30Nb–10Ta–5Zr alloy for biomedical applications. J. Mater. Res. Technol. 2020, 9, 16018–16028. [Google Scholar] [CrossRef]
- Gudkov, S.V.; Simakin, A.V.; Sevostyanov, M.A.; Konushkin, S.V.; Losertová, M.; Ivannikov, A.Y.; Kolmakov, A.G.; Izmailov, A.Y. Manufacturing and Study of Mechanical Properties, Structure and Compatibility with Biological Objects of Plates and Wire from New Ti-25Nb-13Ta-5Zr Alloy. Metals 2020, 10, 1584. [Google Scholar] [CrossRef]
- Sevostyanov, M.A.; Baikin, A.S.; Kaplan, M.A.; Kolmakov, A.G.; Gudkov, S.V.; Rebezov, M.B.; Garnov, S.V. A β Ti–20Nb–10Ta–5Zr Alloy with the Surface Structured on the Micro- and Nanoscale. Dokl. Phys. 2021, 66, 14–16. [Google Scholar] [CrossRef]
- Acharya, S.; Panicker, A.G.; Laxmi, D.V.; Suwas, S.; Chatterjee, K. Study of the influence of Zr on the mechanical properties and functional response of Ti-Nb-Ta-Zr-O alloy for orthopedic applications. Mater. Des. 2019, 164, 107555. [Google Scholar] [CrossRef]
- Wang, L.; Lu, W.; Qin, J.; Zhang, F.; Zhang, D. The characterization of shape memory effect for low elastic modulus biomedical β-type titanium alloy. Mater. Charact. 2010, 61, 535–541. [Google Scholar] [CrossRef]
- Gu, H.; Ding, Z.; Yang, Z.; Yu, W.; Zhang, W.; Lu, W.; Zhang, L.-C.; Wang, K.; Wang, L.; Fu, Y.-f. Microstructure evolution and electrochemical properties of TiO2/Ti-35Nb-2Ta-3Zr micro/nano-composites fabricated by friction stir processing. Mater. Des. 2019, 169, 107680. [Google Scholar] [CrossRef]
- Bălţatu, M.S.; Vizureanu, P.; Bălan, T.; Lohan, M.; Ţugui, C.A. Preliminary Tests for Ti-Mo-Zr-Ta Alloys as Potential Biomaterials. IOP Conf. Ser. Mater. Sci. Eng. 2018, 374, 012023. [Google Scholar] [CrossRef]
- Baltatu, I.; Sandu, A.V.; Vlad, M.D.; Spataru, M.C.; Vizureanu, P.; Baltatu, M.S. Mechanical Characterization and In Vitro Assay of Biocompatible Titanium Alloys. Micromachines 2022, 13, 430. [Google Scholar] [CrossRef]
- Sevost’yanov, M.A.; Nasakina, E.O.; Baikin, A.S.; Sergienko, K.V.; Konushkin, S.V.; Kaplan, M.A.; Seregin, A.V.; Leonov, A.V.; Kozlov, V.A.; Shkirin, A.V.; et al. Biocompatibility of new materials based on nano-structured nitinol with titanium and tantalum composite surface layers: Experimental analysis in vitro and in vivo. J. Mater. Sci. Mater. Med. 2018, 29, 33. [Google Scholar] [CrossRef]
- Gudkov, S.V.; Simakin, A.V.; Sarimov, R.M.; Kurilov, A.D.; Chausov, D.N. Novel Biocompatible with Animal Cells Composite Material Based on Organosilicon Polymers and Fullerenes with Light-Induced Bacteriostatic Properties. Nanomaterials 2021, 11, 2804. [Google Scholar] [CrossRef] [PubMed]
- Sharapov, M.G.; Novoselov, V.I.; Penkov, N.V.; Fesenko, E.E.; Vedunova, M.V.; Bruskov, V.I.; Gudkov, S.V. Protective and adaptogenic role of peroxiredoxin 2 (Prx2) in neutralization of oxidative stress induced by ionizing radiation. Free. Radic. Biol. Med. 2019, 134, 76–86. [Google Scholar] [CrossRef] [PubMed]
- Gudkov, S.V.; Garmash, S.A.; Shtarkman, I.N.; Chernikov, A.V.; Karp, O.E.; Bruskov, V.I. Long-lived protein radicals induced by X-ray irradiation are the source of reactive oxygen species in aqueous medium. Dokl. Biochem. Biophys. 2010, 430, 1–4. [Google Scholar] [CrossRef] [PubMed]
- Shtarkman, I.N.; Gudkov, S.V.; Chernikov, A.V.; Bruskov, V.I. Effect of amino acids on X-ray-induced hydrogen peroxide and hydroxyl radical formation in water and 8-oxoguanine in DNA. Biochem. (Mosc.) 2008, 73, 470–478. [Google Scholar] [CrossRef] [PubMed]
- Barmina, E.V.; Gudkov, S.V.; Simakin, A.V.; Shafeev, G.A. Stable products of laser-induced breakdown of aqueous colloidal solutions of nanoparticles. J. Laser Micro/Nanoeng. 2017, 12, 254–257. [Google Scholar] [CrossRef][Green Version]
- Gudkov, S.V.; Penkov, N.V.; Baimler, I.V.; Lyakhov, G.A.; Pustovoy, V.I.; Simakin, A.V.; Sarimov, R.M.; Scherbakov, I.A. Effect of Mechanical Shaking on the Physicochemical Properties of Aqueous Solutions. Int. J. Mol. Sci. 2020, 21, 8033. [Google Scholar] [CrossRef] [PubMed]
- Baimler, I.V.; Simakin, A.V.; Uvarov, O.V.; Volkov, M.Y.; Gudkov, S.V. Generation of Hydroxyl Radicals during Laser Breakdown of Aqueous Solutions in the Presence of Fe and Cu Nanoparticles of Different Sizes. Phys. Wave Phenom. 2020, 28, 107–110. [Google Scholar] [CrossRef]
- Baimler, I.V.; Simakin, A.V.; Gudkov, S.V. Investigation of the laser-induced breakdown plasma, acoustic vibrations and dissociation processes of water molecules caused by laser breakdown of colloidal solutions containing Ni nanoparticles. Plasma Sources Sci. Technol. 2021, 30, 125015. [Google Scholar] [CrossRef]
- Kaplan, M.A.; Sergienko, K.V.; Kolmakova, A.A.; Konushkin, S.V.; Baikin, A.S.; Kolmakov, A.G.; Sevostyanov, M.A.; Kulikov, A.V.; Ivanov, V.E.; Belosludtsev, K.N.; et al. Development of a Biocompatible PLGA Polymers Capable to Release Thrombolytic Enzyme Prourokinase. J. Biomater. Sci. Polym. Ed. 2020, 31, 1405–1420. [Google Scholar] [CrossRef]
- Sevostyanov, M.A.; Baikin, A.S.; Sergienko, K.V.; Shatova, L.A.; Kirsankin, A.A.; Baymler, I.V.; Shkirin, A.V.; Gudkov, S.V. Biodegradable stent coatings on the basis of PLGA polymers of different molecular mass, sustaining a steady release of the thrombolityc enzyme streptokinase. React. Funct. Polym. 2020, 150, 104550. [Google Scholar] [CrossRef]
- Ivanyuk, V.V.; Shkirin, A.V.; Belosludtsev, K.N.; Dubinin, M.V.; Kozlov, V.A.; Bunkin, N.F.; Dorokhov, A.S. Influence of fluoropolymer film modified with nanoscale photoluminophor on growth and development of plants. Front. Phys. 2020, 8, 616040. [Google Scholar] [CrossRef]
- Hou, Y.P.; Guo, S.; Qiao, X.L.; Tian, T.; Meng, Q.K.; Cheng, X.N.; Zhao, X.Q. Origin of ultralow Young’s modulus in a metastable β-type Ti–33Nb–4Sn alloy. J. Mech. Behav. Biomed. Mater. 2016, 59, 220–225. [Google Scholar] [CrossRef] [PubMed]
- Zhou, Y.-L.; Niinomi, M. Ti–25Ta alloy with the best mechanical compatibility in Ti–Ta alloys for biomedical applications. Mater. Sci. Eng. C 2009, 29, 1061–1065. [Google Scholar] [CrossRef]
- Menshchikova, E.B.; Kozhin, P.M.; Chechushkov, A.V.; Khrapova, M.V.; Zenkov, N.K. The Oral Delivery of Water-Soluble Phenol TS-13 Ameliorates Granuloma Formation in an In Vivo Model of Tuberculous Granulomatous Inflammation. Oxidative Med. Cell. Longev. 2021, 2021, 6652775. [Google Scholar] [CrossRef]
- Shcherbakov, I.A.; Baimler, I.V.; Gudkov, S.V.; Lyakhov, G.A.; Mikhailova, G.N.; Pustovoy, V.I.; Sarimov, R.M.; Simakin, A.V.; Troitsky, A.V. Influence of a Constant Magnetic Field on Some Properties of Water Solutions. Dokl. Phys. 2020, 65, 273–275. [Google Scholar] [CrossRef]
- Gudkov, S.V.; Lyakhov, G.A.; Pustovoy, V.I.; Shcherbakov, I.A. Vibration–Vortex Mechanism of Radical-Reaction Activation in an Aqueous Solution: Physical Analogies. Phys. Wave Phenom. 2021, 29, 108–113. [Google Scholar] [CrossRef]
- Cadet, J.; Douki, T.; Gasparutto, D.; Ravanat, J.-L. Oxidative damage to DNA: Formation, measurement and biochemical features. Mutat. Res. Fundam. Mol. Mech. Mutagen. 2003, 531, 5–23. [Google Scholar] [CrossRef]
- Klaunig, J.E.; Kamendulis, L.M.; Hocevar, B.A. Oxidative Stress and Oxidative Damage in Carcinogenesis. Toxicol. Pathol. 2009, 38, 96–109. [Google Scholar] [CrossRef]
- Bruskov, V.I.; Chernikov, A.V.; Gudkov, S.V.; Masalimov, Z.K. Thermal Activation of the Reducing Properties of Seawater Anions. Biofizika 2003, 48, 1022–1029. [Google Scholar]
- Sharapov, M.G.; Gordeeva, A.E.; Goncharov, R.G.; Tikhonova, I.V.; Ravin, V.K.; Temnov, A.A.; Fesenko, E.E.; Novoselov, V.I. The Effect of Exogenous Peroxiredoxin 6 on the State of Mesenteric Vessels and the Small Intestine in Ischemia–Reperfusion Injury. Biophysics 2017, 62, 998–1008. [Google Scholar] [CrossRef]
- Winterbourn, C.C. Toxicity of iron and hydrogen peroxide: The Fenton reaction. Toxicol. Lett. 1995, 82–83, 969–974. [Google Scholar] [CrossRef] [PubMed]
- Chausov, D.N.; Burmistrov, D.E.; Kurilov, A.D.; Bunkin, N.F.; Astashev, M.E.; Simakin, A.V.; Vedunova, M.V.; Gudkov, S.V. New Organosilicon Composite Based on Borosiloxane and Zinc Oxide Nanoparticles Inhibits Bacterial Growth, but Does Not Have a Toxic Effect on the Development of Animal Eukaryotic Cells. Materials 2021, 14, 6281. [Google Scholar] [CrossRef] [PubMed]
- Foy, C.D.; Chaney, R.L.; White, M.C. The physiology of metal toxicity in plants. Ann. Rev. Plant Physiol. 1978, 29, 511–566. [Google Scholar] [CrossRef]
Publisher’s Note: MDPI stays neutral with regard to jurisdictional claims in published maps and institutional affiliations. |
© 2022 by the authors. Licensee MDPI, Basel, Switzerland. This article is an open access article distributed under the terms and conditions of the Creative Commons Attribution (CC BY) license (https://creativecommons.org/licenses/by/4.0/).





