Assessing the Influence of Operational Variables on Process Performance in Metallurgical Plants by Use of Shapley Value Regression
Abstract
1. Introduction
- Efficiency: The worth (e.g., the target variable variance explained) of the full model is losslessly distributed among the predictors;
- Null Player: Predictors not contributing to the model are identified by Shapley values of zero;
- Symmetry: Predictors contributing equally to the model have equal Shapley values; and
- Additivity: If the model score is derived from the sum of two intermediate values, then the overall contribution allocated to a specific predictor is equal to the sum of the contributions of the predictor to each of the intermediate values.
2. Analytical Methodology
2.1. Random Forests
- Selecting samples from ;
- Selecting predictors from X at each split to construct a classification or regression tree;
- Repetition of (i) and (ii) until each terminal node of the tree has reached the maximum depth of the tree () as specified by the user or fewer, and each terminal node contains the minimum number of samples () as specified by the user;
- Repetition of (i), (ii), and (iii) until the specified number of trees ) has been grown; and
- Aggregation of the information from the trees in the forest averaged for regression or making use of majority voting for classification.
2.2. Permutation Variable Importance Measure (PVIM)
2.3. Impurity Variable Importance Measure (IVIM)
2.4. Shapley Variable Importance Measure (SVIM)
2.5. Approximate Shapley Variable Importance Measure (ASVIM)
3. Case Study 1: Introductory Example with Simulated Data
3.1. Simulated Data with No Correlation between Variables
3.2. Simulated Data with Strong Correlation between Variables
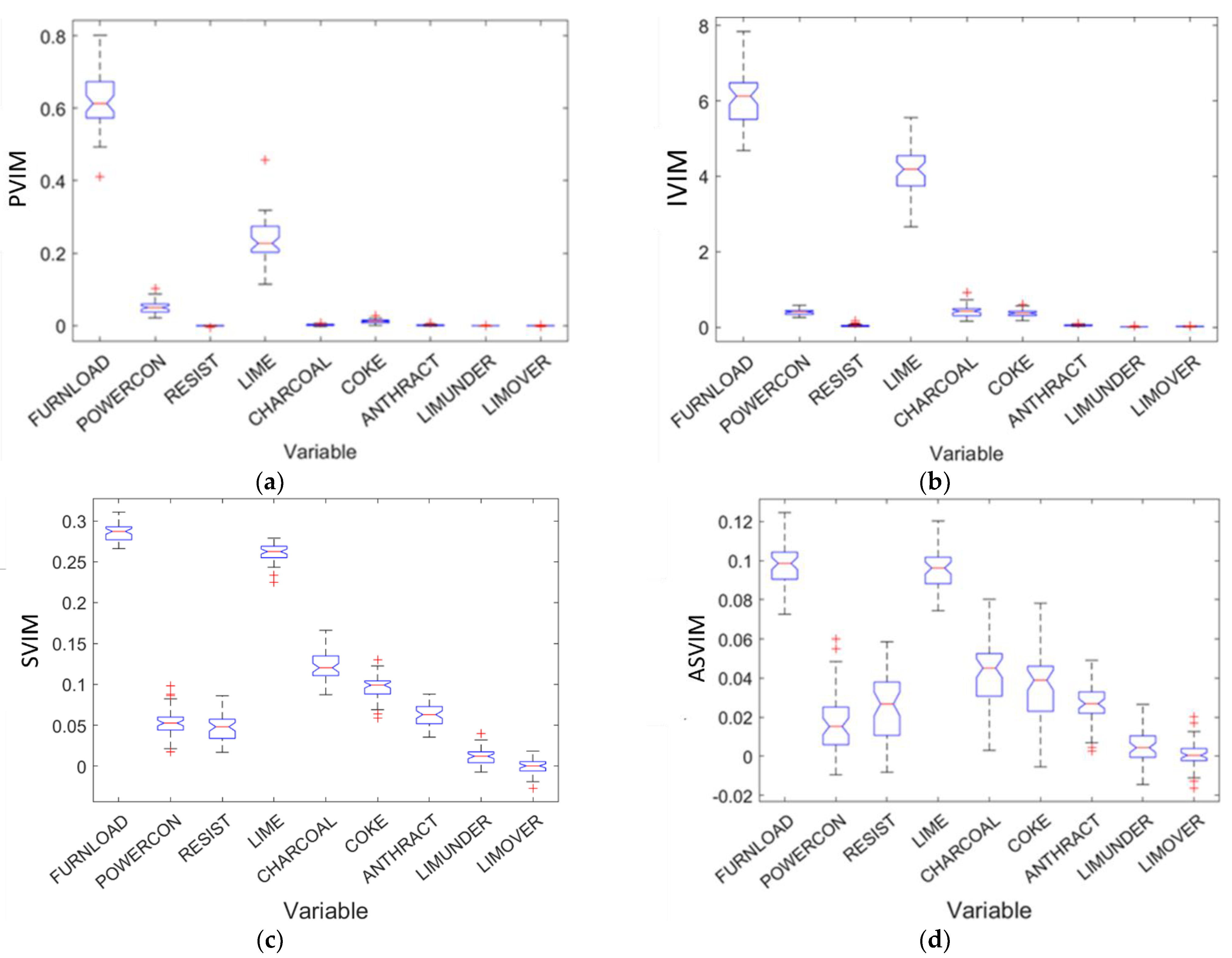
4. Case Study 2: Calcium Carbide Furnace
5. Case Study 3: Simulation of a Steel Plant
5.1. Boruta Algorithm
5.2. Boruta Analysis of Data
5.3. Shapley and Random Forest Variable Importance Measures
6. Discussion of Results
7. Conclusions
Author Contributions
Funding
Data Availability Statement
Conflicts of Interest
Nomenclature
| Class to which a sample belongs in a decision tree | |
| CO2 | Carbon dioxide emission |
| COKE | Coke consumption in a calcium carbide furnace |
| DWeek | Day of week |
| △GI | Change in the Gini index that is maximized when the node is split |
| E | Energy consumption |
| Gini index of a node in a decision tree | |
| Gini index of left-descendent node following the split of a parent node in a decision tree | |
| Gini index of right-descendent node following the split of a parent node in a decision tree | |
| Gini variable importance measure of the i′th predictor in a random forest classifier | |
| Gini variable importance measure for the i′th predictor in the k′th tree in a random forest classifier | |
| Impurity variable importance measure of the i′th predictor in a random forest | |
| Maximum depth of a tree in a random forest | |
| Number of trees in a random forest | |
| LagPF | Lagging current power factor |
| LagRP | Lagging current reactive power |
| LeadPF | Leading current power factor |
| LeadRP | Leading current reactive power |
| Maximum depth of a tree in a random forest | |
| LType | Load type |
| Number of predictors in a machine learning model | |
| Mean squared error of the k′th tree in a random forest | |
| Mean squared error of the k′th tree in a random forest when the i′th predictor is permuted | |
| Number of variables drawn from training data at node splits in a random forest | |
| Number of samples in a data set | |
| NSM | Number of seconds from midnight |
| Number of OOB samples in a random forest model | |
| Minimum leaf size in a decision tree | |
| Number of observations drawn from training data at node splits in a random forest | |
| Fraction of samples allocated to a category | |
| Fraction of samples allocated to the left of a split node in a tree | |
| Fraction of samples allocated to the right of a split node in a tree | |
| Coalition of predictor sets over | |
| Permutation variable importance measure of the ′th predictor in a random forest | |
| Permutation variable importance measure of the ′th tree for the ′th predictor in a random forest | |
| R2 | Coefficient of determination of a machine learning model |
| A real number representing the value of a reward function () | |
| Coalition of variables or predictors in a machine learning model | |
| Shapley variable importance measure of the ′th predictor in a random forest | |
| OOB data consisting of samples seen by the k′th tree in a random forest during training | |
| Shapley value of the i′th predictor | |
| Reward function in Shapley value analysis | |
| WStatus | Week status |
| X | Data matrix with n samples of predictors |
| i′th vector of predictors seen by the k′th tree in a random forest | |
| Y | Labels of variables |
| i′th label associated with seen by the k′th tree in a random forest | |
| i′th label estimated by the k′th tree in a random forest with input | |
| i′th label estimated by the k′th tree in a random forest with input not containing the i′th predictor |
References
- Smith, J.L. Advances in neural networks and potential for their application to steel metallurgy. Mater. Sci. Technol. 2020, 36, 1805–1819. [Google Scholar] [CrossRef]
- Honysz, R. Modeling the Chemical Composition of Ferritic Stainless Steels with the Use of Artificial Neural Networks. Metals 2021, 11, 724. [Google Scholar] [CrossRef]
- Wang, S.; Xia, X.; Ye, L.; Yang, B. Automatic Detection and Classification of Steel Surface Defect Using Deep Convolutional Neural Networks. Metals 2021, 11, 388. [Google Scholar] [CrossRef]
- DebRoy, T.; Mukherjee, T.; Wei, H.L.; Elmer, J.W.; Milewski, J.O. Metallurgy, mechanistic models and machine learning in metal printing. Nat. Rev. Mater. 2021, 6, 48–68. [Google Scholar] [CrossRef]
- Zhang, G.; Hu, Y.; Hou, D.; Yang, D.; Zhang, Q.; Hu, Y.; Liu, X. Assessment of Porosity Defects in Ingot Using Machine Learning Methods during Electro Slag Remelting Process. Metals 2022, 12, 958. [Google Scholar] [CrossRef]
- Sitek, W.; Trzaska, J. Practical Aspects of the Design and Use of the Artificial Neural Networks in Materials Engineering. Metals 2021, 11, 1832. [Google Scholar] [CrossRef]
- Wei, P.; Lu, Z.; Song, J. Variable importance analysis: A comprehensive review. Reliab. Eng. Syst. Saf. 2015, 142, 399–432. [Google Scholar] [CrossRef]
- Aldrich, C. Process Variable Importance Analysis by Use of Random Forests in a Shapley Regression Framework. Minerals 2020, 10, 420. [Google Scholar] [CrossRef]
- Fryer, D.; Strümke, I.; Nguyen, H. Shapley Values for Feature Selection: The Good, the Bad, and the Axioms. IEEE Access 2021, 9, 144352–144360. [Google Scholar] [CrossRef]
- Shapley, L.S. A Value for n-Person Games, in Contributions to the Theory of Games; Kuhn, H.W., Tucker, A.W., Eds.; Princeton University Press: Princeton, NJ, USA, 1953; pp. 307–318. [Google Scholar]
- Pintér, M. Regression games. Ann. Oper. Res. 2011, 186, 263–274. [Google Scholar] [CrossRef]
- Chu, C.C.F.; Chan, D.P.K. Feature Selection Using Approximated High-Order Interaction Components of the Shapley Value for Boosted Tree Classifier. IEEE Access 2020, 8, 112742–112750. [Google Scholar] [CrossRef]
- Breiman, L. Random Forests. Mach. Learn. 2001, 45, 5–32. [Google Scholar] [CrossRef]
- Strobl, C.; Boulesteix, A.L.; Kneib, T.; Augustin, T.; Zeileis, A. Conditional variable importance for random forests. BMC Bioinform. 2008, 9, 307. [Google Scholar] [CrossRef]
- Gunduz, N.; Fokoue, E. Robust Classification of High Dimension Low Sample Size Data. arXiv 2015, arXiv:1501.00592v1. [Google Scholar]
- Auret, L.; Aldrich, C. Unsupervised Process Fault Detection with Random Forests. Ind. Eng. Chem. Res. 2010, 49, 9184–9194. [Google Scholar] [CrossRef]
- Zhang, X.; Kano, M.; Matsuzaki, S. Ensemble pattern trees for predicting hot metal temperature in blast furnace. Comput. Chem. Eng. 2019, 121, 442–449. [Google Scholar] [CrossRef]
- Ruiz, E.; Ferreño, D.; Cuartas, M.; Lloret, L.; Ruiz del Árbol, P.M.; López, A.; Esteve, F.; Gutiérrez-Solana, F. Machine Learning Methods for the Prediction of the Inclusion Content of Clean Steel Fabricated by Electric Arc Furnace and Rolling. Metals 2021, 11, 914. [Google Scholar] [CrossRef]
- Wu, J.; Wei, P.; Liu, H.; Zhang, X.; He, Z.; Deng, G. Evaluation of pre-shot peening on improvement of carburizing heat treatment of AISI 9310 gear steel. J. Mater. Res. Technol. 2022, 18, 2784–2796. [Google Scholar] [CrossRef]
- Nembrini, S.; Konig, I.R.; Wright, M.N. The revival of the Gini importance? Bioinformatics 2018, 34, 3711–3718. [Google Scholar] [CrossRef]
- Aldrich, C.; Reuter, M.A. Monitoring of metallurgical reactors by the use of topographic mapping of process data. Miner. Eng. 1999, 12, 1301–1312. [Google Scholar] [CrossRef]
- Jemwa, G.T.; Aldrich, C. Kernel-based fault diagnosis on mineral processing plants. Miner. Eng. 2006, 19, 1149–1162. [Google Scholar] [CrossRef]
- Chennamaneni, P.R.; Echambadi, R.; Hess, J.D.; Syam, N. Diagnosing harmful collinearity in moderated regressions: A roadmap. Int. J. Res. Mark. 2016, 33, 172–182. [Google Scholar] [CrossRef]
- Sathishkumar, V.E.; Shin, C.; Cho, Y. Efficient energy consumption prediction model for a data analytic-enabled industry building in a smart city. Build. Res. Inf. 2020, 49, 127–143. [Google Scholar]
- Kursa, M.B.; Rudnicki, W.R. Feature Selection with the Boruta Package. J. Stat. Softw. 2010, 36, 1–13. [Google Scholar] [CrossRef]
- Boulesteix, A.L.; Bender, A.; Lorenzo Bermejo, J.; Strobl, C. Random forest Gini importance favours SNPs with large minor allele frequency: Impact, sources and recommendations. Brief. Bioinform. 2012, 13, 292–304. [Google Scholar] [CrossRef]
- Szymczak, S.; Holzinger, E.; Dasgupta, A.; Malley, J.D.; Molloy, A.M.; Mills, J.L.; Brody, L.C.; Stambolian, D.; Bailey-Wilson, J.E. r2VIM: A new variable selection method for random forests in genome-wide association studies. BioData Min. 2016, 9, 7. [Google Scholar] [CrossRef]
- Calle, M.L.; Urrea, V. Letter to the editor: Stability of Random Forest importance measures. Brief. Bioinform. 2011, 12, 86–89. [Google Scholar] [CrossRef]
- Degenhardt, F.; Seifert, S.; Szymczak, S. Evaluation of variable selection methods for random forests and omics data sets. Brief. Bioinform. 2019, 20, 492–503. [Google Scholar] [CrossRef]








| Variable | Units | Data |
|---|---|---|
| Furnace load | ton | ![]() |
| Specific energy consumption | MWh/ ton | |
| Electrode resistance | - | |
| Lime consumption | ton/h | |
| Charcoal consumption | ton/h | |
| Coke consumption | ton/h | |
| Anthracite consumption | ton/h | |
| Underburnt lime | % | |
| Overburnt lime | % | |
| Carbide production | ton/h | |
| Carbide grade | L/kg |
| Predictor | Furnace Load | Energy | Resistance | Lime | Charcoal | Coke | Anthracite | Lime Under | Lime Over |
| VIF | 9.68 | 1.26 | 1.43 | 14.5 | 5.93 | 3.25 | 2.77 | 1.15 | 1.16 |
| Variable | Symbol | Units |
|---|---|---|
| Energy consumption (target) * | E | kWh |
| Lagging current reactive power ** | LagRP | kVAh |
| Leading current reactive power ** | LeadRP | kVAh |
| Carbon dioxide emission ** | CO2 | ppm |
| Lagging current power factor ** | LagPF | % |
| Leading current power factor ** | LeadPF | % |
| Number of seconds from midnight ** | NSM | s |
| Week status *** | WStatus | 0 (weekend) 1 (weekday) |
| Day of week *** | DWeek | Mon, Tue, Wed, … Sun |
| Load type *** | LType | Light, Medium, Maximum |
| Predictor | LagRP | LeadRP | CO2 | LagPF | LeadPF | NSM |
| VIF | 7.46 | 9.64 | 43.2 | 3.98 | 10.9 | 1.52 |
| CO2 | LagRP | LagPF | LeadRP | NSM | WStatus | LeadPF | DWeek | LType | |
| BVIM | 1 | 2 | 3 | 4 | 5 | 6 | 7 | 8 | 9 |
| PVIM | 1 | 2 | 4 | 7 | 6 | 9 | 5 | 8 | 3 |
| IVIM | 1 | 2 | 4 | 7 | 6 | 9 | 5 | 8 | 3 |
| SVIM | 1 | 2 | 3 | 7 | 4 | 9 | 6 | 8 | 5 |
| ASVIM | 1 | 2 | 3 | 7 | 4 | 9 | 6 | 8 | 5 |
Publisher’s Note: MDPI stays neutral with regard to jurisdictional claims in published maps and institutional affiliations. |
© 2022 by the authors. Licensee MDPI, Basel, Switzerland. This article is an open access article distributed under the terms and conditions of the Creative Commons Attribution (CC BY) license (https://creativecommons.org/licenses/by/4.0/).
Share and Cite
Liu, X.; Aldrich, C. Assessing the Influence of Operational Variables on Process Performance in Metallurgical Plants by Use of Shapley Value Regression. Metals 2022, 12, 1777. https://doi.org/10.3390/met12111777
Liu X, Aldrich C. Assessing the Influence of Operational Variables on Process Performance in Metallurgical Plants by Use of Shapley Value Regression. Metals. 2022; 12(11):1777. https://doi.org/10.3390/met12111777
Chicago/Turabian StyleLiu, Xiu, and Chris Aldrich. 2022. "Assessing the Influence of Operational Variables on Process Performance in Metallurgical Plants by Use of Shapley Value Regression" Metals 12, no. 11: 1777. https://doi.org/10.3390/met12111777
APA StyleLiu, X., & Aldrich, C. (2022). Assessing the Influence of Operational Variables on Process Performance in Metallurgical Plants by Use of Shapley Value Regression. Metals, 12(11), 1777. https://doi.org/10.3390/met12111777


