Numerical Study about the Influence of Superimposed Hydrostatic Pressure on Shear Damage Mechanism in Sheet Metals
Abstract
:1. Introduction
2. Constitutive Model
3. Problem Formulation and Method of Solution
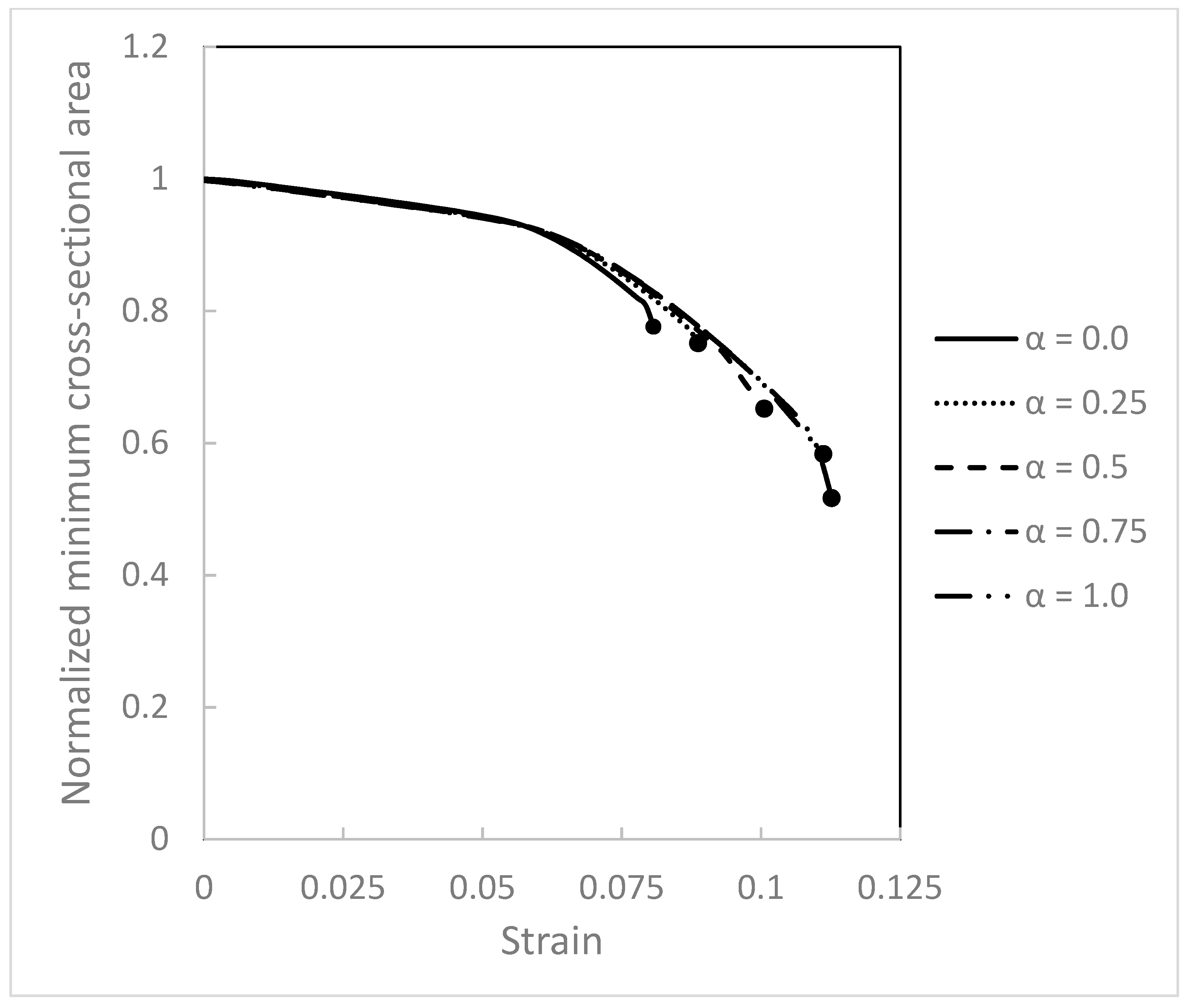
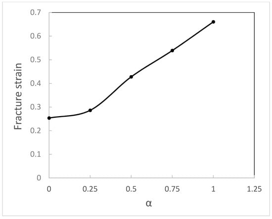
4. Results and Discussion
5. Conclusions
- Superimposed hydrostatic pressure increases the fracture strain in metals when void growth is delayed or completely eliminated.
- Fracture mode changes under pressure and it dominates the shear damage mechanism.
- The shear modified GTN model implemented using a VUMAT subroutine explains this phenomenon when the shear damage mechanism is considered as an increment in the void volume fraction.
- Void nucleation volume fraction is constant under pressure using a strain-based void nucleating GTN model. Shear void growth volume fraction at the final fracture increases as the void growth volume fracture decreases under superimposed hydrostatic pressure.
Author Contributions
Funding
Data Availability Statement
Conflicts of Interest
References
- Shahzamanian, M.; Lloyd, D.; Wu, P.; Xu, Z. Study of influence of superimposed hydrostatic pressure on bendability of sheet metals. Eur. J. Mech. A/Solids 2021, 85, 104132. [Google Scholar] [CrossRef]
- Partovi, A.; Shahzamanian, M.M.; Wu, P.D. Study of Influence of Superimposed Hydrostatic Pressure on Ductility in Ring Compression Test. J. Mater. Eng. Perform. 2020, 29, 6581–6590. [Google Scholar] [CrossRef]
- Wu, P.D.; Chen, X.X.; Lloyd, D.J.; Embury, J.D. Effects of superimposed hydrostatic pressure on fracture in sheet metals under tension. Int. J. Mech. Sci. 2010, 52, 236–244. [Google Scholar] [CrossRef]
- Peng, J.; Wu, P.D.; Huang, Y.; Chen, X.X.; Lloyd, D.J.; Embury, J.D.; Neale, K.W. Effects of superimposed hydrostatic pressure on fracture in round bars under tension. Int. J. Solids Struct. 2009, 46, 3741–3749. [Google Scholar] [CrossRef] [Green Version]
- Kofiani, K.; Nonn, A.; Wierzbicki, T. New calibration method for high and low triaxiality and validation on SENT specimens of API X70. Int. J. Press. Vessel. Pip. 2013, 111, 187–201. [Google Scholar] [CrossRef]
- Ashby, M.; Embury, J.; Cooksley, S.; Teirlinck, D. Fracture maps with pressure as a variable. Scr. Met. 1985, 19, 385–390. [Google Scholar] [CrossRef]
- Kao, A.S.; Kuhn, H.A.; Richmond, O.; Spitzig, W.A. Tensile fracture and fractographic analysis of 1045 spheroidized steel under hydrostatic pressure. J. Mater. Res. 1990, 5, 83–91. [Google Scholar] [CrossRef]
- Kao, A.; Kuhn, H.; Richmond, O.; Spitzig, W. Workability of 1045 spheroidized steel under superimposed hydrostatic pressure. Met. Mater. Trans. A 1989, 20, 1735–1741. [Google Scholar] [CrossRef]
- French, I.E.; Weinrich, P.F. The influence of hydrostatic pressure on the tensile deformation and fracture of copper. Met. Mater. Trans. A 1975, 6, 785–790. [Google Scholar] [CrossRef]
- French, I.; Weinrich, P.; Weaver, C. Tensile fracture of free machining brass as a function of hydrostatic pressure. Acta Met. 1973, 21, 1045–1049. [Google Scholar] [CrossRef]
- Brownrigg, A.; Spitzig, W.; Richmond, O.; Teirlinck, D.; Embury, J. The influence of hydrostatic pressure on the flow stress and ductility of a spherodized 1045 steel. Acta Met. 1983, 31, 1141–1150. [Google Scholar] [CrossRef]
- Korbel, A.; Raghunathan, V.; Teirlinck, D.; Spitzig, W.; Richmond, O.; Embury, J. A structural study of the influence of pressure on shear band formation. Acta Met. 1984, 32, 511–519. [Google Scholar] [CrossRef]
- Gologanu, M.; Leblond, J.-B.; Devaux, J. Approximate models for ductile metals containing non-spherical voids—Case of axisymmetric prolate ellipsoidal cavities. J. Mech. Phys. Solids 1993, 41, 1723–1754. [Google Scholar] [CrossRef]
- Lievers, W.B.; Pilkey, A.; Lloyd, D. The influence of iron content on the bendability of AA6111 sheet. Mater. Sci. Eng. A 2003, 361, 312–320. [Google Scholar] [CrossRef]
- Lievers, W.B.; Pilkey, A.; Lloyd, D. Using incremental forming to calibrate a void nucleation model for automotive aluminum sheet alloys. Acta Mater. 2004, 52, 3001–3007. [Google Scholar] [CrossRef]
- Chen, Z.T.; Worswick, M.J.; Cinotti, N.; Pikey, A.K.; Lloyd, D. A linked FEM-damage percolation model of aluminum alloy sheet forming. Int. J. Plast. 2003, 19, 2099–2120. [Google Scholar] [CrossRef]
- Tvergaard, V.; Needleman, A. Analysis of the cup-cone fracture in a round tensile bar. Acta Met. 1984, 32, 157–169. [Google Scholar] [CrossRef]
- Gurson, A.L. Continuum Theory of Ductile Rupture by Void Nucleation and Growth: Part I—Yield Criteria and Flow Rules for Porous Ductile Media. J. Eng. Mater. Technol. 1977, 99, 2–15. [Google Scholar] [CrossRef]
- Nahshon, K.; Hutchinson, J. Modification of the Gurson Model for shear failure. Eur. J. Mech. A/Solids 2008, 27, 1–17. [Google Scholar] [CrossRef]
- Sun, Q.; Lu, Y.; Chen, J. Identification of material parameters of a shear modified GTN damage model by small punch test. Int. J. Fract. 2020, 222, 25–35. [Google Scholar] [CrossRef]
- Li, X.; Chen, Z.; Dong, C. Size effect on the damage evolution of a modified GTN model under high/low stress triaxiality in meso-scaled plastic deformation. Mater. Today Commun. 2021, 26, 101782. [Google Scholar] [CrossRef]
- Yildiz, R.; Yilmaz, S. Experimental Investigation of GTN model parameters of 6061 Al alloy. Eur. J. Mech. A/Solids 2020, 83, 104040. [Google Scholar] [CrossRef]
- More, S.; Kumar, A.; Narasimhan, K. Parameter identification of GTN damage model using response surface methodology for single point incremental sheet forming of IF steel. Adv. Mater. Process. Technol. 2021, 1–16. [Google Scholar] [CrossRef]
- Li, L.; Khandelwal, K. Topology Optimization of Energy-Dissipating Plastic Structures with Shear Modified Gurson–Tvergaard–Needleman Model. J. Struct. Eng. 2020, 146, 04020229. [Google Scholar] [CrossRef]
- Singh, A.K.; Kumar, A.; Narasimhan, K.; Singh, R. Understanding the deformation and fracture mechanisms in backward flow-forming process of Ti-6Al-4V alloy via a shear modified continuous damage model. J. Mater. Process. Technol. 2021, 292, 117060. [Google Scholar] [CrossRef]
- He, Z.; Zhu, H.; Hu, Y. An improved shear modified GTN model for ductile fracture of aluminium alloys under different stress states and its parameters identification. Int. J. Mech. Sci. 2021, 192, 106081. [Google Scholar] [CrossRef]
- Ying, L.; Wang, D.; Liu, W.; Wu, Y.; Hu, P. On the numerical implementation of a shear modified damage model and its ap-plication to small punch test. Int. J. Mater. Form. 2018, 11, 527–539. [Google Scholar] [CrossRef]
- Shahzamanian, M.; Lloyd, D.; Wu, P. Enhanced bendability in sheet metal produced by cladding a ductile layer. Mater. Today Commun. 2020, 23, 100952. [Google Scholar] [CrossRef]
- Abaqus/CAE User’s Manual; ABAQUS Inc.: Waltham, MA, USA, 2014.
- Tvergaard, V. Influence of voids on shear band instabilities under plane strain conditions. Int. J. Fract. 1981, 17, 389–407. [Google Scholar] [CrossRef]
- Tvergaard, V. On localization in ductile materials containing spherical voids. Int. J. Fract. 1982, 18, 237–252. [Google Scholar]
- Chu, C.C.; Needleman, A. Void Nucleation Effects in Biaxially Stretched Sheets. J. Eng. Mater. Technol. 1980, 102, 249–256. [Google Scholar] [CrossRef]
- Liu, J.; Wang, Z.; Meng, Q. Numerical Investigations on the Influence of Superimposed Double-Sided Pressure on the Formability of Biaxially Stretched AA6111-T4 Sheet Metal. J. Mater. Eng. Perform. 2011, 21, 429–436. [Google Scholar] [CrossRef]














Publisher’s Note: MDPI stays neutral with regard to jurisdictional claims in published maps and institutional affiliations. |
© 2021 by the authors. Licensee MDPI, Basel, Switzerland. This article is an open access article distributed under the terms and conditions of the Creative Commons Attribution (CC BY) license (https://creativecommons.org/licenses/by/4.0/).
Share and Cite
Shahzamanian, M.; Thomsen, C.; Partovi, A.; Xu, Z.; Wu, P. Numerical Study about the Influence of Superimposed Hydrostatic Pressure on Shear Damage Mechanism in Sheet Metals. Metals 2021, 11, 1193. https://doi.org/10.3390/met11081193
Shahzamanian M, Thomsen C, Partovi A, Xu Z, Wu P. Numerical Study about the Influence of Superimposed Hydrostatic Pressure on Shear Damage Mechanism in Sheet Metals. Metals. 2021; 11(8):1193. https://doi.org/10.3390/met11081193
Chicago/Turabian StyleShahzamanian, Mohammadmehdi, Chris Thomsen, Amir Partovi, Zhutian Xu, and Peidong Wu. 2021. "Numerical Study about the Influence of Superimposed Hydrostatic Pressure on Shear Damage Mechanism in Sheet Metals" Metals 11, no. 8: 1193. https://doi.org/10.3390/met11081193
APA StyleShahzamanian, M., Thomsen, C., Partovi, A., Xu, Z., & Wu, P. (2021). Numerical Study about the Influence of Superimposed Hydrostatic Pressure on Shear Damage Mechanism in Sheet Metals. Metals, 11(8), 1193. https://doi.org/10.3390/met11081193

