Effective Pair Interactions and Structure in Liquid Noble Metals within Wills-Harrison and Bretonnet-Silbert Models
Abstract
:1. Introduction
2. Theory
2.1. Bretonnet-Silbert Model
2.2. Wills-Harrison Model
2.3. Modification of the Wills-Harrison Model
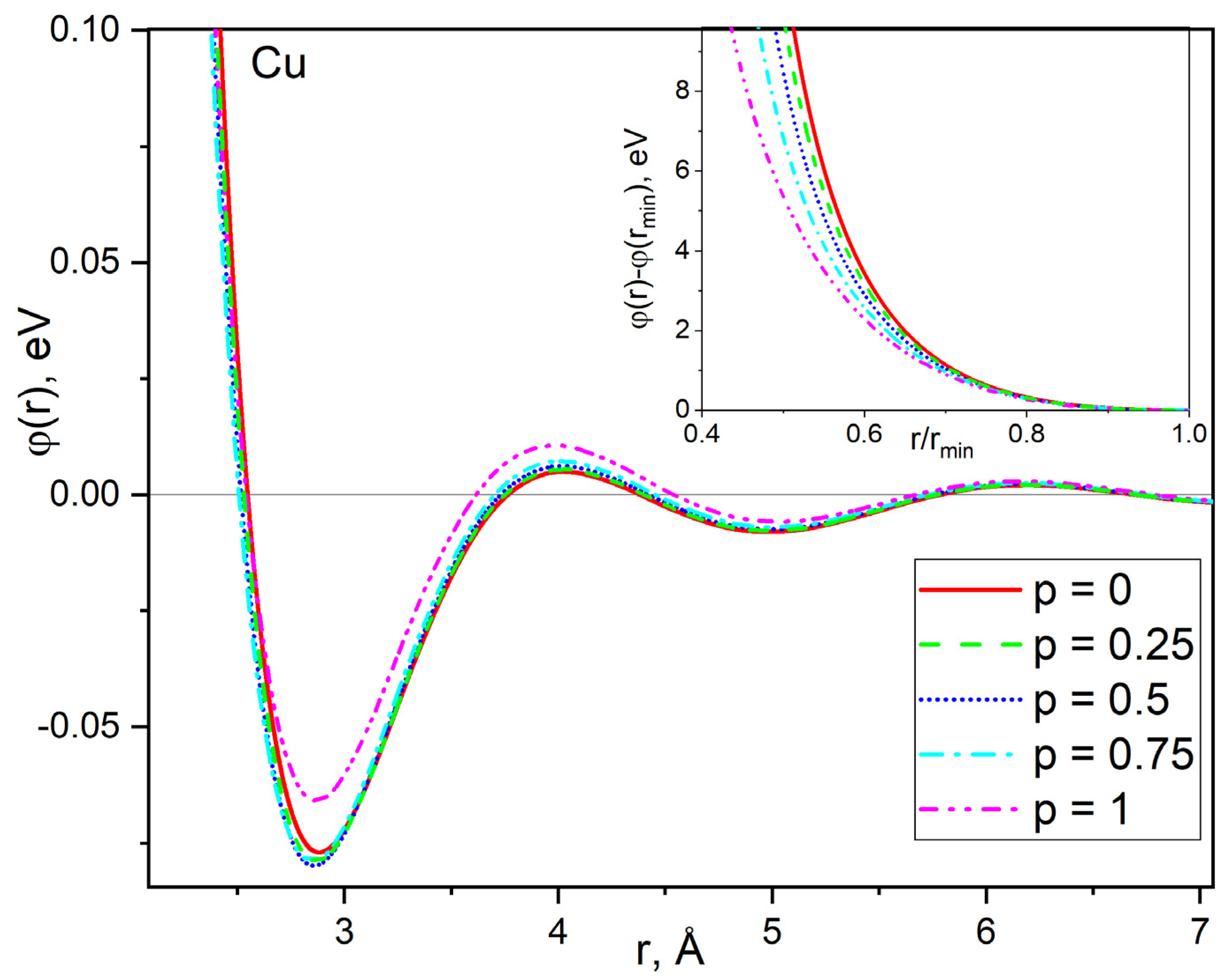
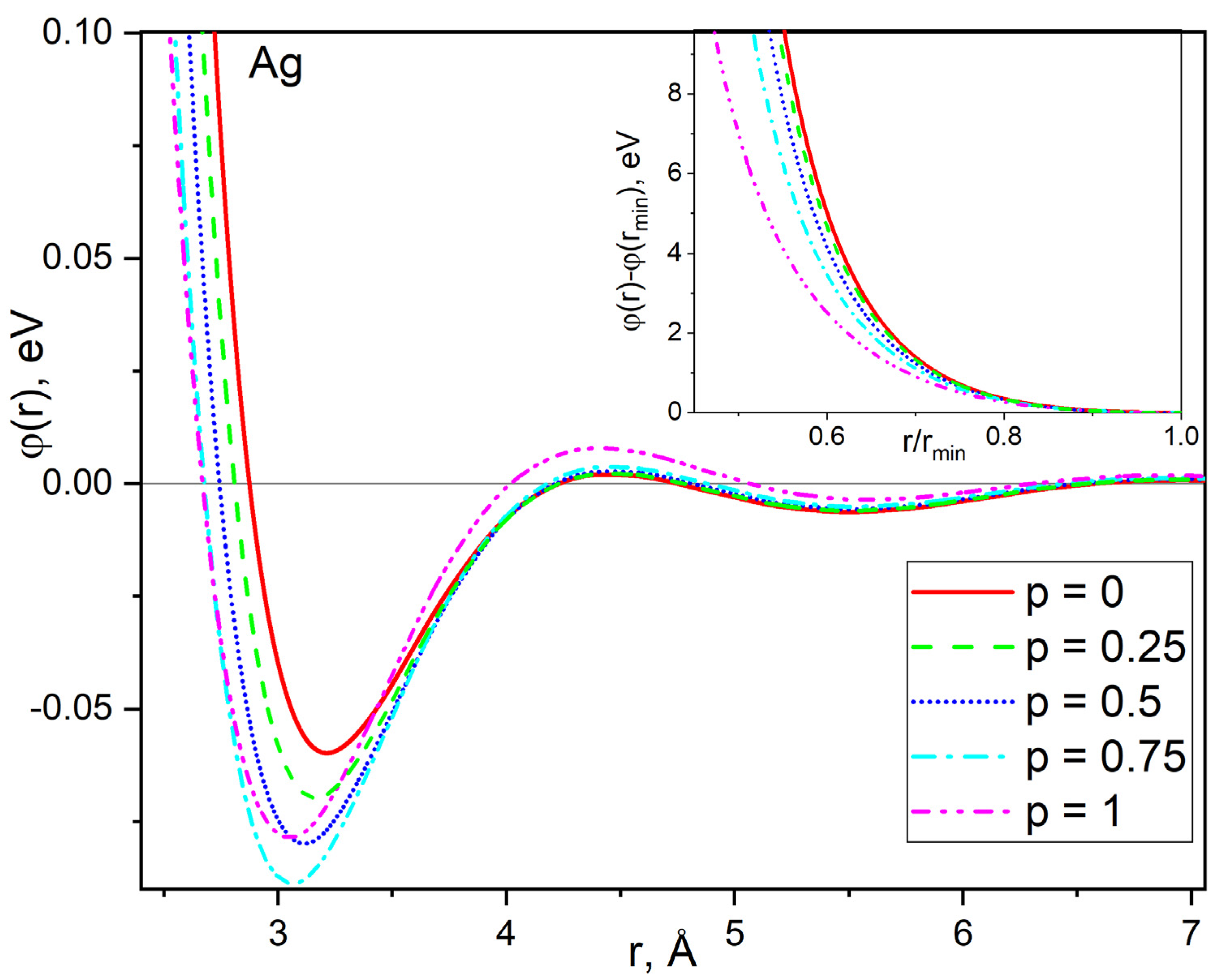
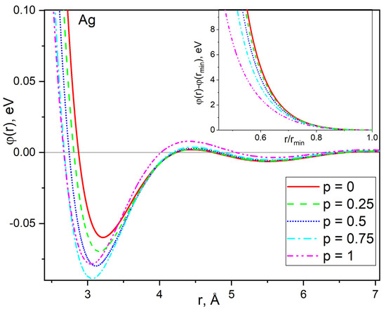
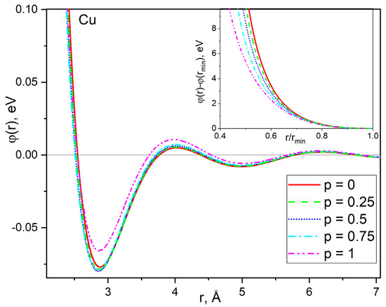
3. Results and Discussion
4. Conclusions
Author Contributions
Funding
Institutional Review Board Statement
Informed Consent Statement
Data Availability Statement
Acknowledgments
Conflicts of Interest
References
- Son, L.D.; Sidorov, V.E.; Katkov, N. Statistics and thermodynamics of Fe-Cu alloys at high temperatures. In Proceedings of the 16th International Conference on Liquid and Amorphous Metals (LAM-16), Bad Godesberg, Germany, 4–9 September 2016; Volume 151, p. 05003. [Google Scholar]
- Klumov, B.A.; Ryltsev, R.E.; Chtchelkatchev, N.M. Polytetrahedral structure and glass-forming ability of simulated Ni–Zr alloys. J. Chem. Phys. 2018, 49, 134501. [Google Scholar] [CrossRef]
- Ryltsev, R.E.; Klumov, B.A.; Chtchelkatchev, N.M.; Shunyaev, K.Y. Nucleation instability in supercooled Cu–Zr–Al glass-forming liquids. J. Chem. Phys. 2018, 149, 164502. [Google Scholar] [CrossRef] [Green Version]
- Yen, P.S.; Datta, R. Combined Pauling Bond Valence-Modified Morse Potential (PBV-MMP) model for metals: Thermophysical properties of liquid metals. Phys. Chem. Liq. 2018, 56, 209–230. [Google Scholar] [CrossRef]
- Cui, W.C.; Wang, L.; Peng, C.X.; Song, K.K. Phase separation and structure transition of undercooled Fe75Cu25 melts. Phys. Chem. Liq. 2018, 56, 290–298. [Google Scholar] [CrossRef]
- Kadatskiy, M.A.; Khishchenko, K.V. Theoretical investigation of the shock compressibility of copper in the average-atom approximation. Phys. Plasm. 2018, 25, 112701. [Google Scholar] [CrossRef]
- Krivilyov, M.; Aflyatunova, D.; Lebedev, V.; Galenko, P.K. Phase-field simulation of non-isothermal phase separation in rapidly quenched Co-Cu melts. Comp. Mater. Sci. 2019, 158, 289–295. [Google Scholar] [CrossRef]
- Galenko, P.K.; Wonneberger, R.; Koch, S.; Ankudinov, V.; Kharanzhevskiy, E.V.; Rettenmayr, M. Bell-shaped “dendrite velocity-undercooling” relationship with an abrupt drop of solidification kinetics in glass forming Cu-Zr(-Ni) melts. J. Cryst. Growth 2020, 532, 125411. [Google Scholar] [CrossRef]
- Khishchenko, K.V. Equation of state for rhenium at high pressures. J. Phys. Conf. Ser. 2020, 1556, 012041. [Google Scholar] [CrossRef]
- Louzguine-Luzgin, D.V.; Georgarakis, K.; Andrieux, J.; Hennet, L.; Morishita, T.; Nishio, K.; Belosludov, R.V. An atomistic study of the structural changes in a Zr–Cu–Ni–Al glass-forming liquid on vitrifcation monitored in-situ by X-ray diffraction and molecular dynamics simulation. Intermetallics 2020, 122, 106795. [Google Scholar] [CrossRef]
- Kamaeva, L.V.; Ryltsev, R.E.; Lad’yanov, V.I.; Chtchelkatchev, N.M. Viscosity, undercoolability and short-range order in quasicrystal-forming Al-Cu-Fe melts. J. Mol. Liq. 2020, 229, 112207. [Google Scholar] [CrossRef]
- Kamaeva, L.V.; Ryltsev, R.E.; Suslov, A.A.; Chtchelkatchev, N.M. Effect of copper concentration on the structure and properties of Al-Cu-Fe and Al-Cu-Ni melts. J. Phys. Condens. Matter 2020, 32, 224003. [Google Scholar] [CrossRef] [PubMed]
- Mueller, T.; Hernandez, A.; Wang, C. Machine learning for interatomic potential models. J. Chem. Phys. 2020, 152, 050902. [Google Scholar] [CrossRef] [Green Version]
- Mishin, Y. Machine-learning interatomic potentials for materials science. Acta Mater. 2021, 214, 116980. [Google Scholar] [CrossRef]
- Yoo, S.-H.; Lee, J.-H.; Jung, Y.-K.; Soon, A. Exploring stereographic surface energy maps of cubic metals via an effective pair-potential approach. Phys. Rev. B 2016, 93, 035434. [Google Scholar] [CrossRef] [Green Version]
- Engel, M.; Damasceno, P.F.; Phillips, C.L.; Glotzer, S.C. Computational self-assembly of a one-component icosahedral quasicrystal. Nat. Mater. 2015, 14, 109–116. [Google Scholar] [CrossRef] [PubMed]
- Ryltsev, R.E.; Klumov, B.A.; Chtchelkatchev, N.M. Self-assembly of the decagonal quasicrystalline order in simple three-dimensional systems. Soft Matter 2015, 11, 6991. [Google Scholar] [CrossRef] [Green Version]
- Ryltsev, R.E.; Chtchelkatchev, N.M. Universal self-assembly of one-component three-dimensional dodecagonal quasicrystals. Soft Matter 2017, 13, 5076. [Google Scholar] [CrossRef] [Green Version]
- Holian, B.L.; Ravelo, R. Fracture simulations using large-scale molecular dynamics. Phys. Rev. B 1995, 51, 11275–11288. [Google Scholar] [CrossRef]
- Hasnaoui, A.; Van Swygenhoven, H.; Derlet, P.M. Cooperative processes during plastic deformation in nanocrystalline fcc metals: A molecular dynamics simulation. Phys. Rev. B 2002, 66, 184112. [Google Scholar] [CrossRef]
- Wills, J.M.; Harrison, W.A. Interionic interactions in transition metals. Phys. Rev. B 1983, 28, 4363–4373. [Google Scholar] [CrossRef]
- Dubinin, N.E. Thermodynamics of liquid Fe-Ni alloys: Calculations at different temperatures. J. Phys. Conf. Ser. 2009, 144, 012115. [Google Scholar] [CrossRef]
- Dubinin, N.E. Correction to the Wills-Harrison approach: Influence on the Fe-based liquid alloys thermodynamics. J. Phys. Conf. Ser. 2017, 936, 012006. [Google Scholar] [CrossRef]
- Ueda, S.; Morita, K. Theoretical calculation of the free energy of mixing of liquid transition-metal alloys using a bond-order potential and thermodynamic perturbation theory. J. Non-Cryst. Sol. 2020, 528, 119743. [Google Scholar] [CrossRef]
- Harrison, W.A.; Froyen, S. Universal linear-combination-of-atomic-orbitals for d-state solids. Phys. Rev. B 1980, 21, 3214–3221. [Google Scholar] [CrossRef]
- Andersen, O.K. Linear methods in band theory. Phys. Rev. B 1975, 12, 3060–3083. [Google Scholar] [CrossRef] [Green Version]
- Harrison, W.A. Transition-metal pseudopotentials. Phys. Rev. 1969, 181, 1036–1053. [Google Scholar] [CrossRef]
- Moriarty, J.A. Pseudo Green’s functions and the pseudopotential theory of d-band metals. Phys. Rev. B 1972, 5, 2066–2081. [Google Scholar] [CrossRef]
- Ziman, J.M. A theory of the electrical properties of liquid metals. I: The monovalent metals. Phil. Mag. 1961, 6, 1013–1034. [Google Scholar] [CrossRef]
- Ashcroft, N.W. Electron-ion pseudopotentials in metals. Phys. Lett. 1966, 23, 48–50. [Google Scholar] [CrossRef]
- Dubinin, N.E.; Son, L.D.; Vatolin, N.A. The Wills–Harrison approach to the thermodynamics of binary liquid transition-metal alloys. J. Phys. Condens. Matter 2008, 20, 114111. [Google Scholar] [CrossRef]
- Bretonnet, J.L.; Silbert, M. Interionic interactions in transition metals. Application to vanadium. Phys. Chem. Liq. 1992, 24, 169–176. [Google Scholar] [CrossRef]
- Faruk, M.M.; Bhuiyan, G.M.; Biswas, A.; Hossain, M.d.S. Study of microscopic origin of segregation for Fe(x)Cu(1−x) and Cu(x)Co(1−x) liquid binary alloys. J. Chem. Phys. 2014, 140, 134505. [Google Scholar] [CrossRef]
- Dubinin, N.E. Account of non-diagonal coupling between d electrons at describing the transition-metal pair potentials. J. Phys. Conf. Ser. 2012, 338, 012004. [Google Scholar] [CrossRef] [Green Version]
- Dubinin, N.E. Correction to the Wills-Harrison approach: Influence on the first minimum of the effective pair interaction. Appl. Mech. Mater. 2013, 371, 373–377. [Google Scholar] [CrossRef]
- Dubinin, N.E. Partial pair potentials in liquid binary alloys of transition metals. Int. J. Modern Manuf. Technol. 2012, 4, 27–32. [Google Scholar]
- Vashishta, P.; Singwi, K. Electron correlation at metallic densities. Phys. Rev. B 1972, 6, 875–887. [Google Scholar] [CrossRef]
- Waseda, Y. The Structure of Non-Crystalline Materials; McGraw-Hill: New York, NY, USA, 1980. [Google Scholar]
- Akinlade, O.; Umar, A.M.; Hussain, L.A. Structure of some liquid transition metals using integral equation theory. Pramana J. Phys. 1996, 47, 271–281. [Google Scholar] [CrossRef]
- Bretonnet, J.L.; Derouiche, A. Variational thermodynamic calculations for liquid transition metals. Phys. Rev. B 1991, 43, 8924–8929. [Google Scholar] [CrossRef]
- Plimpton, S. Fast parallel algorithms for short-range molecular dynamics. J. Comput. Phys. 1995, 117, 1–19. [Google Scholar] [CrossRef] [Green Version]
- Bhuiyan, G.M.; González, L.E.; González, D.J. Orbital free ab initio molecular dynamics simulation study of some static and dynamic properties of liquid noble metals. Condens. Matter Phys. 2012, 15, 33604. [Google Scholar] [CrossRef] [Green Version]
- Mendelev, M.I.; King, A.H. The interactions of self-interstitials with twin boundaries. Phil. Mag. 2013, 93, 1268–1278. [Google Scholar] [CrossRef]
- Williams, P.L.; Mishin, Y.; Hamilton, J.C. An embedded-atom potential for the Cu–Ag system. Model. Simul. Mater. Sci. Eng. 2006, 14, 817. [Google Scholar] [CrossRef]
- Available online: https://www.ctcms.nist.gov/potentials/entry/2017--Purja-Pun-G-P--Au/2017--Purja-Pun-G-P--Au--LAMMPS–ipr1.html (accessed on 7 September 2017).
- Walter, N.P.; Jaiswal, A.; Cai, Z.; Zhang, Y. LiquidLib: A comprehensive toolbox for analyzing classical and ab initio molecular dynamics simulations of liquids and liquid-like matter with applications to neutron scattering experiments. Comput. Phys. Commun. 2018, 228, 209. [Google Scholar] [CrossRef]

















| Property | Cu | Ag | Au |
|---|---|---|---|
| (K) | 1423 | 1273 | 1423 |
| (a.u.) | 89.34 | 130.38 | 128.31 |
Publisher’s Note: MDPI stays neutral with regard to jurisdictional claims in published maps and institutional affiliations. |
© 2021 by the authors. Licensee MDPI, Basel, Switzerland. This article is an open access article distributed under the terms and conditions of the Creative Commons Attribution (CC BY) license (https://creativecommons.org/licenses/by/4.0/).
Share and Cite
Dubinin, N.; Ryltsev, R. Effective Pair Interactions and Structure in Liquid Noble Metals within Wills-Harrison and Bretonnet-Silbert Models. Metals 2021, 11, 1115. https://doi.org/10.3390/met11071115
Dubinin N, Ryltsev R. Effective Pair Interactions and Structure in Liquid Noble Metals within Wills-Harrison and Bretonnet-Silbert Models. Metals. 2021; 11(7):1115. https://doi.org/10.3390/met11071115
Chicago/Turabian StyleDubinin, Nikolay, and Roman Ryltsev. 2021. "Effective Pair Interactions and Structure in Liquid Noble Metals within Wills-Harrison and Bretonnet-Silbert Models" Metals 11, no. 7: 1115. https://doi.org/10.3390/met11071115
APA StyleDubinin, N., & Ryltsev, R. (2021). Effective Pair Interactions and Structure in Liquid Noble Metals within Wills-Harrison and Bretonnet-Silbert Models. Metals, 11(7), 1115. https://doi.org/10.3390/met11071115
