Determination of Hot Stamping Friction Coefficient of 7075 Aluminum
Abstract
:1. Introduction
2. Materials and Methods
2.1. Materials
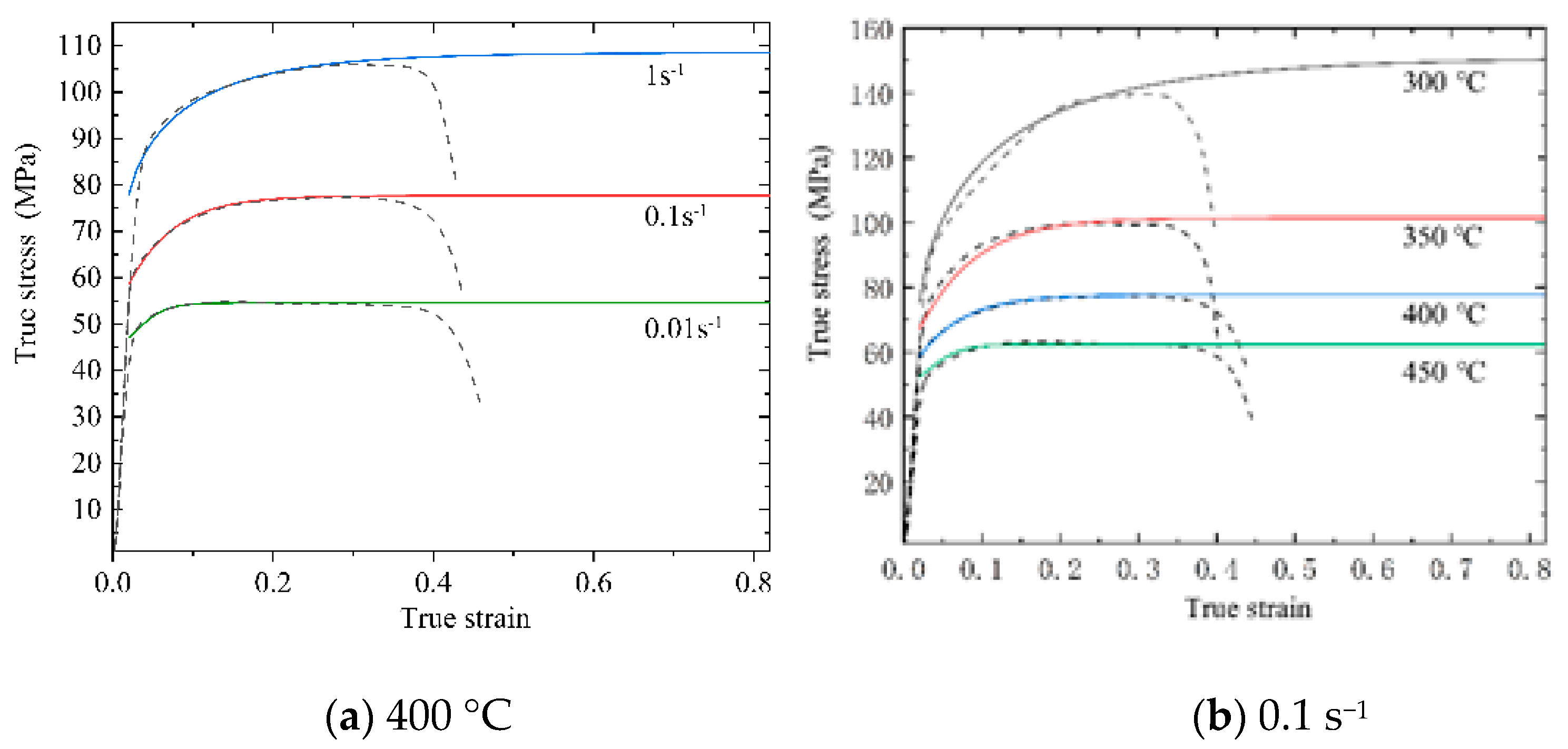
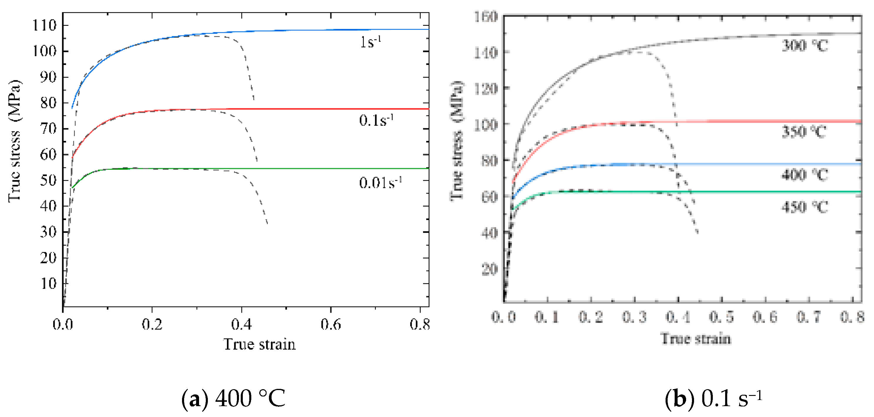
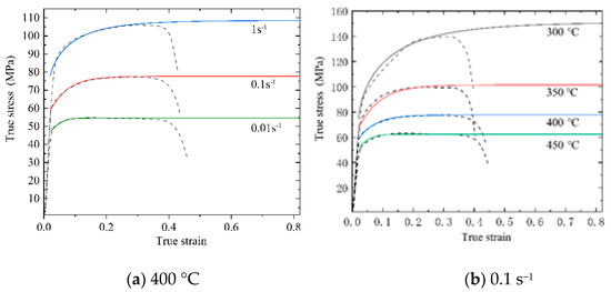
2.2. Hot Tensile Test
2.3. Hot Stamping Experiment of U-Shaped Parts
3. Establishment of Finite Element Model
3.1. YLD2000-2D Yield Model
3.2. Finite Element Simulation of Hot Forming of U-Shaped Parts
4. Reverse Optimization of Friction Coefficient
- (1)
- The initial values of static friction coefficient (FS) and dynamic friction coefficient (FD) were set as 0.3, and the variation range was set between 0 and 0.8.
- (2)
- The forming force–displacement curve obtained from FE simulation was compared with the experimental result, and the error δ was set as the square sum of the difference between the simulated and experimental forming forces, as shown in Equation (14):
5. Results and Discussion
5.1. Force–Displacement Curve under Different Lubrication Conditions
5.2. Surface Quality under Different Lubrication Conditions
5.3. Thickness Distribution under Different Lubrication Conditions
5.4. Material Inflow under Different Lubrication Conditions
6. Conclusions
Author Contributions
Funding
Institutional Review Board Statement
Informed Consent Statement
Data Availability Statement
Conflicts of Interest
References
- Ma, J.; Xu, X.; Zhao, C.; Yan, P. Analysis of characteristics of air pollution during the large-scale smog period in China. J. Hunan Univ. Sci. Technol. 2013, 28, 104–110. [Google Scholar]
- Moon, C.; Thuillier, S.; Lee, J.; Lee, M.-G. Mechanical properties of solution heat treated Al-Zn-Mg-Cu (7075) alloy under different cooling conditions: Analysis with full field measurement and finite element modeling. J. Alloys Compd. 2021, 856, 158–180. [Google Scholar] [CrossRef]
- Chegini, M.; Fallahi, A.; Shaeri, M. Effect of equal channel angular pressing (ECAP) on wear behavior of Al-7075 alloy. Procedia Mater. Sci. 2015, 11, 147–161. [Google Scholar] [CrossRef] [Green Version]
- Huttunen-Saarivirta, E.; Kilpi, L.; Hakala, T.J.; Metsäjoki, J.; Ronkainen, H. Insights into the behaviour of tool steel-aluminium alloy tribo-pair at different temperatures. Tribol. Int. 2018, 119, 567–584. [Google Scholar] [CrossRef]
- Garrett, R.; Lin, J.; Dean, T. Solution heat treatment and cold die quenching in forming AA 6xxx sheet components: Feasibility study. Adv. Mater. Res. 2005, 522, 673–680. [Google Scholar] [CrossRef]
- Kondratiuk, J.; Kuhn, P. Tribological investigation on friction and wear behaviour of coatings for hot sheet metal forming. Wear 2011, 270, 839–849. [Google Scholar] [CrossRef]
- Yang, X.; Zhang, Q.; Zheng, Y.; Liu, X.; Politis, D.J.; El Fakir, O.; Wang, L. Investigation of the friction coefficient evolution and lubricant breakdown behaviour of AA7075 aluminium alloy forming processes at elevated temperatures. Int. J. Extrem. Manuf. 2021, 3, 8–47. [Google Scholar] [CrossRef]
- Liu, Y.; Zhu, Z.; Wang, Z.; Zhu, B.; Wang, Y.; Zhang, Y. Flow and friction behaviors of 6061 aluminum alloy at elevated temperatures and hot stamping of a B-pillar. Int. J. Adv. Manuf. Technol. 2018, 96, 4063–4083. [Google Scholar] [CrossRef]
- Marzouki, M.; Kowandy, C.; Richard, C. Experimental simulation of tool/product interface during hot drawing. Wear 2007, 262, 235–241. [Google Scholar] [CrossRef]
- Li, G.; Long, X.; Yang, P.; Zhongkai, L. Advance on friction of stamping forming. Int. J. Adv. Manuf. Technol. 2018, 96, 21–38. [Google Scholar] [CrossRef]
- Ghiotti, A.; Simonetto, E.; Bruschi, S. Influence of process parameters on tribological behavior of 7075 in hot stamping. Wear 2019, 426–427, 348–356. [Google Scholar] [CrossRef]
- Żaba, K.; Kita, P.; Nowosielski, M.; Kwiatkowski, M.; Madej, M. Influence of lubricants on wear resistance of aluminium alloy strips series 2XXX. Arch. Metall. Mater. 2015, 60, 1833–1837. [Google Scholar] [CrossRef] [Green Version]
- Mulder, J.; Vegter, H.; Aretz, H.; Keller, S.; Boogaard, A.V.D. Accurate determination of flow curves using the bulge test with optical measuring systems. J. Mater. Process. Technol. 2015, 226, 169–187. [Google Scholar] [CrossRef]
- Williams, P. Studies in Large Plastic Flow and Fracture: With Special Emphasis on the Effects of Hydrostatic Pressure; Harvard University Press: Cambridge, MA, USA, 1964. [Google Scholar]
- Barlat, F.; Becker, R.; Hayashida, Y.; Maeda, Y.; Yanagawa, M.; Chung, K.; Brem, J.C.; Lege, D.J.; Matsui, K.; Murtha, S.J.; et al. Yielding description for solution strengthened aluminum alloys. Int. J. Plast. 1997, 13, 385–401. [Google Scholar] [CrossRef]
- Barlat, F.; Becker, R.C.; Hayashida, Y.; Maeda, Y.; Yanagawa, M.; Chung, K.; Brem, J.C.; Lege, D.J.; Matsui, K.; Murtha, S.J.; et al. Plane stress yield function for aluminum alloy sheets—Part 1: Theory. Int. J. Plast. 2003, 19, 1297–1319. [Google Scholar] [CrossRef]
- Barlat, F.; Maeda, Y.; Chung, K.; Yanagawa, M.; Brem, J.; Hayashida, Y.; Lege, D.; Matsui, K.; Murtha, S.; Hattori, S.; et al. Yield function development for aluminum alloy sheets. J. Mech. Phys. Solids 1997, 45, 1727–1763. [Google Scholar] [CrossRef]











| Element | Si | Fe | Cu | Mn | Mg | Cr | Zn | Ti | Al |
|---|---|---|---|---|---|---|---|---|---|
| Wt.% | <0.4 | <0.5 | 1.2–2.0 | <0.3 | 2.1–2.9 | 0.18–0.28 | 5.1–6.1 | <0.20 | Balance |
| Sampling Direction | ||
|---|---|---|
| 0° | 45 | 0.69 |
| 45° | 45 | 0.81 |
| 90° | 46 | 0.81 |
| 0.969 | 0.979 | 0.979 | 0.998 | 1.017 | 1.000 | 0.998 | 1.052 | 8 | |
| Material | ρ (kg/m3) | E (GPa) | ν | Cp (J/kg·K) | W (W/m·K) |
|---|---|---|---|---|---|
| H13 | 7880 | 210 | 0.30 | 460 | 24 |
| 7075 | 2810 | 70 | 0.33 | 1128 | 143 |
| Lubrication Condition | Static Friction Coefficient (FS) | Dynamic Friction Coefficient (FD) |
|---|---|---|
| No Lubricant | 0.450 | 0.290 |
| boron nitride | 0.163 | 0.143 |
| graphite | 0.154 | 0.140 |
| molybdenum disulfide | 0.144 | 0.138 |
| lubricant | Results | Top Surface | Punch Corner | Side Wall | Die Corner | Flange |
|---|---|---|---|---|---|---|
| Non-lubricant | simulation | 2.000 | 1.881 | 1.905 | 1.893 | 2.000 |
| experiment | 2.000 | 1.880 | 1.900 | 1.890 | 2.000 | |
| Boron nitride | simulation | 2.000 | 1.932 | 1.939 | 1.941 | 2.000 |
| experiment | 2.000 | 1.930 | 1.940 | 1.940 | 2.000 | |
| Graphite | simulation | 2.000 | 1.938 | 1.961 | 1.952 | 2.000 |
| experiment | 2.000 | 1.940 | 1.960 | 1.950 | 2.000 | |
| Molybdenum disulfide | simulation | 2.000 | 1.973 | 1.971 | 1.962 | 2.000 |
| experiment | 2.000 | 1.960 | 1.970 | 1.960 | 2.000 |
Publisher’s Note: MDPI stays neutral with regard to jurisdictional claims in published maps and institutional affiliations. |
© 2021 by the authors. Licensee MDPI, Basel, Switzerland. This article is an open access article distributed under the terms and conditions of the Creative Commons Attribution (CC BY) license (https://creativecommons.org/licenses/by/4.0/).
Share and Cite
Li, X.; Yan, X.; Zhang, Z.; Ren, M.; Jia, H. Determination of Hot Stamping Friction Coefficient of 7075 Aluminum. Metals 2021, 11, 1111. https://doi.org/10.3390/met11071111
Li X, Yan X, Zhang Z, Ren M, Jia H. Determination of Hot Stamping Friction Coefficient of 7075 Aluminum. Metals. 2021; 11(7):1111. https://doi.org/10.3390/met11071111
Chicago/Turabian StyleLi, Xiangji, Xu Yan, Zhiqiang Zhang, Mingwen Ren, and Hongjie Jia. 2021. "Determination of Hot Stamping Friction Coefficient of 7075 Aluminum" Metals 11, no. 7: 1111. https://doi.org/10.3390/met11071111
APA StyleLi, X., Yan, X., Zhang, Z., Ren, M., & Jia, H. (2021). Determination of Hot Stamping Friction Coefficient of 7075 Aluminum. Metals, 11(7), 1111. https://doi.org/10.3390/met11071111
