Role of Non-Metallic Inclusions in the Fracture Behavior of Cold Drawn Pearlitic Steel
Abstract
1. Introduction
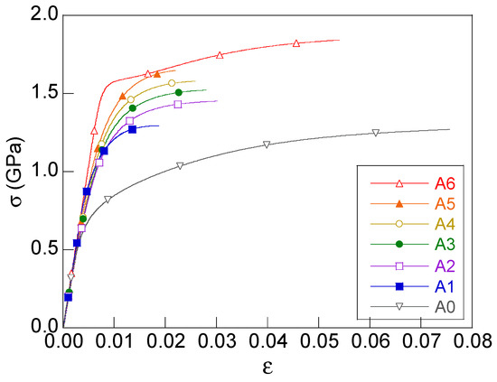
2. Materials
3. Metallographic Analysis
3.1. Sample Preparation
3.2. Metallographic Observation
4. Evolution of Inclusions with Cold Drawing
5. Role of Inclusions in the Fracture Behavior
- (i)
- One first long phase (before plastic instability) during which material points are subjected to a uniform uniaxial stress state. This main stage lasts up to the maximum load point. During this phase the micro-cracks do not promote fracture since the main axial stress (in the direction of the wire) is parallel to the micro-cracks themselves.
- (ii)
- One second shorter phase (after plastic instability) during which material points are subjected to a triaxial stress state. This second stage starts from the maximum load point. During this phase the micro-cracks do promote fracture since triaxial stress state has a hoop component that is perpendicular to the micro-cracks themselves.
- (i)
- (ii)
- (iii)
- Many micro-cracks created from the inclusions, aligned and oriented along the drawing axis (Figure 14). The hoop stress σθ during plastic instability (necking) before final fracture induces locally anisotropic fracture with crack deflections and appearance of crests and valleys.
- (i)
- (ii)
- (iii)
- Scarcity (or practical absence) of pre-damage and micro-cracks. Therefore, the triaxial stress state generated during necking is unable to produce local deflections and thus locally anisotropic fracture.
6. Conclusions
Author Contributions
Funding
Institutional Review Board Statement
Informed Consent Statement
Data Availability Statement
Conflicts of Interest
References
- Gil-Sevillano, J. Cleavage-limited maximum strength of work-hardened B.C.C. polycrystals. Acta Metall. 1986, 34, 1473–1485. [Google Scholar]
- Toribio, J. On the intrinsic character of the stress-strain curve of a prestressing steel. J. Testing Eval. 1992, 20, 357–362. [Google Scholar]
- Toribio, J. Cold drawn eutectoid pearlitic steel wires as high performance materials in structural engineering. Struct. Integr. Health Monit. 2006, 2, 239–247. [Google Scholar]
- Toribio, J.; Ayaso, F.J.; González, B.; Matos, J.C.; Vergara, D.; Lorenzo, M. Tensile fracture behavior of progressively-drawn pearlitic steels. Metals 2016, 6, 114. [Google Scholar] [CrossRef]
- Borchers, C.H.; Kirchheim, R. Cold-drawn pearlitic steel wires. Prog. Mater. Sci. 2016, 82, 405–444. [Google Scholar] [CrossRef]
- Toribio, J. Structural integrity of progressively cold-drawn pearlitic steels: From Raffaello Sanzio to Vincent van Gogh. Proced. Struct. Integr. 2017, 3, 3–10. [Google Scholar] [CrossRef]
- Toribio, J.; González, B.; Matos, J.C.; Kharin, V. Evaluation by sharp indentation of anisotropic plastic behaviour in progressively drawn pearlitic steel. ISIJ Int. 2011, 51, 843–848. [Google Scholar] [CrossRef][Green Version]
- Toribio, J.; Ovejero, E.; Toledano, M. Microstructural bases of anisotropic fracture behaviour of heavily drawn steel. Int. J. Fract. 1997, 87, L83–L88. [Google Scholar]
- Toribio, J.; Ayaso, F.J. Fracture performance of progressively drawn pearlitic steel under triaxial stress states. Mater. Sci. 2001, 37, 707–717. [Google Scholar] [CrossRef]
- Toribio, J.; Ayaso, F.J. Investigation of the type of cleavage related to anisotropic fracture in heavily drawn steels. J. Mater. Sci. Lett. 2002, 21, 1509–1512. [Google Scholar] [CrossRef]
- Toribio, J.; Ayaso, F.J. Micromechanics of fracture in notched samples of heavily drawn steel. Int. J. Fract. 2002, 115, L29–L34. [Google Scholar] [CrossRef]
- Toribio, J.; Ayaso, F.J. Anisotropic fracture behavior of cold drawn steel: A materials science approach. Mater. Sci. Eng. 2003, 343, 265–272. [Google Scholar] [CrossRef]
- Toribio, J.; Ayaso, F.J. Image analysis of exfoliation fracture in cold drawn steel. Mater. Sci. Eng. 2004, 387, 438–441. [Google Scholar] [CrossRef]
- Toribio, J.; González, B.; Matos, J.C. Cleavage stress required to produce fracture path deflection in cold-drawn prestressing steel wires. Int. J. Fract. 2007, 144, 189–196. [Google Scholar] [CrossRef]
- Toribio, J.; González, B.; Matos, J.C. Strength anisotropy and mixed mode fracture in heavily drawn pearlitic steel. Fatigue Fract. Eng. Mater. Struct. 2013, 36, 1178–1186. [Google Scholar] [CrossRef]
- Tanaka, M.; Saito, H.; Yasumaru, M.; Higashida, K. Nature of delamination cracks in pearlitic steels. Scr. Mater. 2016, 112, 32–36. [Google Scholar] [CrossRef]
- He, Y.; Xiang, S.; Shi, W.; Liu, J.; Ji, X.; Yu, W. Effect of microstructure evolution on anisotropic fracture behaviors of cold drawing pearlitic steels. Mater. Sci. Eng. 2017, 683, 153–163. [Google Scholar] [CrossRef]
- Toribio, J. Anisotropy of hydrogen embrittlement in cold drawn pearlitic steel: A tribute to Mantegna. Proced. Struct. Integr. 2020, 28, 2438–2443. [Google Scholar] [CrossRef]
- Embury, J.D.; Fisher, R.M. The structure and properties of drawn pearlite. Acta Metall. 1966, 14, 147–159. [Google Scholar] [CrossRef]
- Langford, G. Deformation of pearlite. Metall. Trans. 1977, 8, 861–875. [Google Scholar] [CrossRef]
- Ridley, N. A review of the data on the interlamellar spacing of pearlite. Metall. Trans. 1984, 15, 1019–1036. [Google Scholar] [CrossRef]
- Toribio, J.; Ovejero, E. Microstructure evolution in a pearlitic steel subjected to progressive plastic deformation. Mater. Sci. Eng. 1997, 234, 579–582. [Google Scholar] [CrossRef]
- Toribio, J.; Ovejero, E. Microstructure orientation in a pearlitic steel subjected to progressive plastic deformation. J. Mater. Sci. Lett. 1998, 17, 1037–1040. [Google Scholar] [CrossRef]
- Toribio, J.; Ovejero, E. Effect of cumulative cold drawing on the pearlite interlamellar spacing in eutectoid steel. Scr. Mater. 1998, 39, 323–328. [Google Scholar] [CrossRef]
- Toribio, J.; Ovejero, E. Effect of cold drawing on microstructure and corrosion performance of high-strength steel. Mech. Time Depend. Mater. 1998, 1, 307–319. [Google Scholar] [CrossRef]
- Languillaume, J.; Kapelski, G.; Baudelet, B. Cementite dissolution in heavily cold drawn pearlitic steel wires. Acta Mater. 1997, 45, 1201–1212. [Google Scholar] [CrossRef]
- Zelin, M. Microstructure evolution in pearlitic steels during wire drawing. Acta Mater. 2002, 50, 4431–4447. [Google Scholar] [CrossRef]
- Hall, E.O. The deformation and ageing of mild steel: III Discussion of results. Proc. Phys. Soc. 1951, 64, 747–753. [Google Scholar] [CrossRef]
- Petch, N.J. The cleavage strength of polycrystals. J. Iron Steel Inst. 1953, 174, 25–30. [Google Scholar]
- Choi, H.C.; Park, K.T. The effect of carbon content on the Hall-Petch parameter in the cold drawn hypereutectoid steels. Scr. Mater. 1996, 34, 857–862. [Google Scholar] [CrossRef]
- Nam, W.J.; Bae, C.M.; Lee, C.S. Effect of carbon content on the Hall-Petch parameter in cold drawn pearlitic steel wires. J. Mater. Sci. 2002, 37, 2243–2249. [Google Scholar] [CrossRef]
- Toribio, J. Relationship between microstructure and strength in eutectoid steels. Mater. Sci. Eng. 2004, 387, 227–230. [Google Scholar] [CrossRef]
- Toribio, J.; González, B.; Matos, J.C. Microstructure and mechanical properties in progressively drawn pearlitic steel. Mater. Trans. 2014, 55, 93–98. [Google Scholar] [CrossRef]
- Kang, S.K.; Gow, K.W. An improved metallographic technique for the study of nonmetallic inclusions in steel. Metallography 1978, 11, 219–222. [Google Scholar] [CrossRef]
- Roberts, W.; Lehtinen, B. An in situ SEM study of void development around inclusions in steel during plastic deformation. Acta Metall. 1975, 24, 745–758. [Google Scholar] [CrossRef]
- Goodwin, S.J.; Noble, F.N.; Eyre, B.L. Inclusion nucleated ductile fracture in stainless steel. Acta Metall. 1989, 37, 1389–1398. [Google Scholar] [CrossRef]
- Everett, R.K.; Geltmacher, A.B. Spatial distribution of MnS inclusions in HY-100 steel. Scr. Mater. 1999, 40, 567–571. [Google Scholar] [CrossRef]
- Raghupathy, V.P.; Srinivasan, V. Determination of volume fraction of sulfide inclusions in steels. Metallography 1981, 14, 87–97. [Google Scholar] [CrossRef]
- Eid, N.M.A.; Thomason, P.F. The nucleation of fatigue cracks in a low-alloy steel under high-cycle fatigue conditions and uniaxial loading. Acta Metall. 1979, 27, 1239–1249. [Google Scholar] [CrossRef]
- Fowler, G.J. The influence of non-metallic inclusions on the threshold behavior in fatigue. Mater. Sci. Eng. 1979, 39, 121–126. [Google Scholar] [CrossRef]
- Chapetti, M.D.; Tagawa, T.; Miyata, T. Ultra-long cycle fatigue of high-strength carbon steels. Part I: Review and analysis of the mechanism of failure. Mater. Sci. Eng. 2003, 356, 227–235. [Google Scholar] [CrossRef]
- Chapetti, M.D.; Tagawa, T.; Miyata, T. Ultra-long cycle fatigue of high-strength carbon steels. Part II: Estimation of fatigue limit for failure from internal inclusions. Mater. Sci. Eng. 2003, 356, 236–244. [Google Scholar] [CrossRef]
- You, D.; Michelic, S.K.; Presoly, P.; Liu, J.; Bernhard, C.H. Modeling inclusion formation during solidification of steel: A review. Metals 2017, 7, 460. [Google Scholar] [CrossRef]
- Guo, J.; Yang, W.; Shi, X.; Zheng, Z.; Liu, S.; Duan, S.; Wu, J.; Guo, H. Effect of sulfur content on the properties and MnS morphologies of DH36 structural steel. Metals 2018, 8, 945. [Google Scholar] [CrossRef]
- Ånmark, N.; Karasev, A.; Jönsson, P.G. The effect of different non-metallic inclusions on the machinability of steels. Materials 2015, 8, 751–783. [Google Scholar] [CrossRef]
- Yan, W.; Chen, W.; Li, J. Quality control of high carbon steel for steel wires. Materials 2019, 12, 846. [Google Scholar] [CrossRef]
- Schäfer, B.J.; Sonnweber-Ribic, P.; Hassan, H.; Hartmaier, A. Micromechanical modeling of fatigue crack nucleation around non-metallic inclusions in martensitic high-strength steels. Metals 2019, 9, 1258. [Google Scholar] [CrossRef]
- Liu, H.; Hu, D.; Fu, J. Analysis of MnS inclusions formation in resulphurised steel via modeling and experiments. Materials 2019, 12, 2028. [Google Scholar] [CrossRef] [PubMed]
- Qiu, G.; Zhan, D.; Li, C.; Yang, Y.; Qi, M.; Jiang, Z.; Zhang, H. Influence of inclusions on the mechanical properties of RAFM steels via Y and Ti addition. Metals 2019, 9, 851. [Google Scholar] [CrossRef]
- Yang, W.; Peng, K.; Zhang, L.; Ren, Q. Deformation and fracture of non-metallic inclusions in steel at different temperatures. J. Mater. Res. Technol. 2020, 9, 15016–15022. [Google Scholar] [CrossRef]
- Shim, J.H.; Oh, Y.J.; Suh, J.Y.; Cho, Y.W.; Shim, J.D.; Byum, J.S.; Lee, D.N. Ferrite nucleation potency of non-metallic inclusions in medium carbon steels. Acta Mater. 2001, 49, 2115–2122. [Google Scholar] [CrossRef]
- Wilson, A.D. The influence of thickness and rolling ratio on the inclusion behavior in plate steels. Metallography 1979, 12, 233–255. [Google Scholar] [CrossRef]
- Kachanov, L.M. Fundamentals of the Theory of Plasticity; Dover Publications: Mineola, NY, USA, 2004; pp. 311–314. [Google Scholar]



















| Steel | Family A | Family B | Family C | Family D | Family E |
|---|---|---|---|---|---|
| % C | 0.80 | 0.789 | 0.79 | 0.795 | 0.789 |
| % Mn | 0.69 | 0.698 | 0.670 | 0.624 | 0.681 |
| % Si | 0.23 | 0.226 | 0.20 | 0.224 | 0.21 |
| % P | 0.012 | 0.011 | 0.009 | 0.011 | 0.010 |
| % S | 0.009 | 0.005 | 0.009 | 0.008 | 0.008 |
| % Al | 0.004 | 0.003 | 0.003 | 0.003 | 0.003 |
| % Cr | 0.265 | 0.271 | 0.187 | 0.164 | 0.218 |
| % V | 0.06 | 0.078 | 0.053 | 0.064 | 0.061 |
| Wire Diameter (mm) | |||||
|---|---|---|---|---|---|
| Drawing Step | Family A | Family B | Family C | Family D | Family E |
| 0 | 12.11 | 12.10 | 10.44 | 8.56 | 11.03 |
| 1 | 10.80 | 11.23 | 9.52 | 7.78 | 9.90 |
| 2 | 9.81 | 10.45 | 8.49 | 6.82 | 8.95 |
| 3 | 8.94 | 9.68 | 7.68 | 6.17 | 8.21 |
| 4 | 8.22 | 9.02 | 6.95 | 5.61 | 7.49 |
| 5 | 7.56 | 8.54 | 6.36 | 5.08 | 6.80 |
| 6 | 6.98 | 8.18 | 5.86 | 4.63 | 6.26 |
| 7 | - | 7.00 | 5.03 | 3.97 | 5.04 |
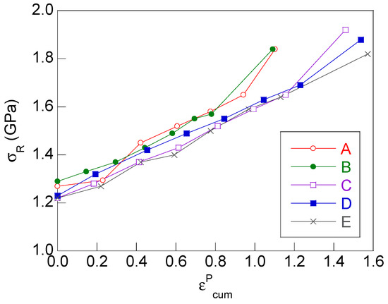
| εPcum | |||||
|---|---|---|---|---|---|
| Drawing Step | Family A | Family B | Family C | Family D | Family E |
| 0 | 0 | 0 | 0 | 0 | 0 |
| 1 | 0.229 | 0.149 | 0.184 | 0.191 | 0.216 |
| 2 | 0.421 | 0.293 | 0.414 | 0.454 | 0.418 |
| 3 | 0.607 | 0.446 | 0.614 | 0.655 | 0.591 |
| 4 | 0.775 | 0.588 | 0.814 | 0.845 | 0.774 |
| 5 | 0.942 | 0.697 | 0.991 | 1.044 | 0.967 |
| 6 | 1.102 | 0.800 | 1.155 | 1.229 | 1.133 |
| 7 | - | 1.095 | 1.460 | 1.537 | 1.566 |
Publisher’s Note: MDPI stays neutral with regard to jurisdictional claims in published maps and institutional affiliations. |
© 2021 by the authors. Licensee MDPI, Basel, Switzerland. This article is an open access article distributed under the terms and conditions of the Creative Commons Attribution (CC BY) license (https://creativecommons.org/licenses/by/4.0/).
Share and Cite
Toribio, J.; Ayaso, F.-J.; González, B. Role of Non-Metallic Inclusions in the Fracture Behavior of Cold Drawn Pearlitic Steel. Metals 2021, 11, 962. https://doi.org/10.3390/met11060962
Toribio J, Ayaso F-J, González B. Role of Non-Metallic Inclusions in the Fracture Behavior of Cold Drawn Pearlitic Steel. Metals. 2021; 11(6):962. https://doi.org/10.3390/met11060962
Chicago/Turabian StyleToribio, Jesús, Francisco-Javier Ayaso, and Beatriz González. 2021. "Role of Non-Metallic Inclusions in the Fracture Behavior of Cold Drawn Pearlitic Steel" Metals 11, no. 6: 962. https://doi.org/10.3390/met11060962
APA StyleToribio, J., Ayaso, F.-J., & González, B. (2021). Role of Non-Metallic Inclusions in the Fracture Behavior of Cold Drawn Pearlitic Steel. Metals, 11(6), 962. https://doi.org/10.3390/met11060962

