Temperature Dependent Stress–Strain Behavior and Martensite Stabilization in Magnetic Shape Memory Ni51.1Fe16.4Ga26.3Co6.2 Single Crystal
Abstract
1. Introduction
2. Materials and Methods
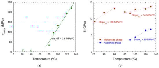
3. Results and Discussion
4. Summary
Author Contributions
Funding
Conflicts of Interest
References
- Sozinov, A.; Lanska, N.; Soroka, A.; Zou, W. 12% magnetic field-induced strain in Ni-Mn-Ga-based non-modulated martensite. Appl. Phys. Lett. 2013, 102, 021902. [Google Scholar] [CrossRef]
- Müllner, P.; Chernenko, V.A.; Kostorz, G. Large cyclic magnetic-field-induced deformation in orthorhombic (14M) Ni–Mn–Ga martensite. J. Appl. Phys. 2004, 95, 1531–1536. [Google Scholar] [CrossRef]
- Morito, H.; Fujita, A.; Oikawa, K.; Ishida, K.; Fukamichi, K.; Kainuma, R. Stress-assisted magnetic-field-induced strain in Ni–Fe–Ga–Co ferromagnetic shape memory alloys. Appl. Phys. Lett. 2007, 90, 062505. [Google Scholar] [CrossRef]
- Pagounis, E.; Muellner, P. Materials and Actuator Solutions for Advanced Magnetic Shape Memory Devices. In Proceedings of the ACTUATOR 2018, 16th International Conference on New Actuators, Bremen, Germany, 25–27 June 2018; pp. 1–7. [Google Scholar]
- Heczko, O. Magnetic shape memory effect and highly mobile twin boundaries. Mater. Sci. Technol. UK 2014, 30, 1559–1578. [Google Scholar] [CrossRef]
- Kustov, S.; Pons, J.; Cesari, E.; Van Humbeeck, J. Chemical and mechanical stabilization of martensite. Acta Mater. 2004, 52, 4547–4559. [Google Scholar] [CrossRef]
- Oliveira, J.P.; Fernandes, F.M.B.; Schell, N.; Miranda, R.M. Martensite stabilization during superelastic cycling of laser welded NiTi plates. Mater. Lett. 2016, 171, 273–276. [Google Scholar] [CrossRef]
- Picornell, C.; Pons, J.; Cesari, E.; Dutkiewicz, J. Thermal characteristics of Ni–Fe–Ga–Mn and Ni–Fe–Ga–Co ferromagnetic shape memory alloys. Intermetallics 2008, 16, 751–757. [Google Scholar] [CrossRef]
- Niendorf, T.; Krooß, P.; Somsen, C.; Eggeler, G.; Chumlyakov, Y.I.; Maier, H.J. Martensite aging-Avenue to new high temperature shape memory alloys. Acta Mater. 2015, 89, 298–304. [Google Scholar] [CrossRef]
- Samy, N.M.; Daróczi, L.; Tóth, L.Z.; Panchenko, E.; Chumlyakov, Y.; Surikov, N.; Beke, D.L. Effect of stress-induced martensite stabilization on acoustic emission characteristics and the entropy of martensitic transformation in shape memory Ni51Fe18Ga27Co4 single crystal. Metals 2020, 10, 534. [Google Scholar] [CrossRef]
- Picornell, C.; Pons, J.; Cesari, E. Stabilisation of martensite by applying compressive stress in Cu-Al-Ni single crystals. Acta Mater. 2001, 49, 4221–4230. [Google Scholar] [CrossRef]
- Roytburd, A.L. Intrinsic hysteresis of superelastic deformation. Mater. Sci. Forum 2000, 327–328, 389–392. [Google Scholar] [CrossRef]
- Singh, S.; Kushwaha, P.; Scheibel, F.; Liermann, H.P.; Barman, S.R.; Acet, M.; Felser, C.; Pandey, D. Residual stress induced stabilization of martensite phase and its effect on the magnetostructural transition in Mn-rich Ni-Mn-In/Ga magnetic shape-memory alloys. Phys. Rev. B-Condens. Matter Mater. Phys. 2015, 92, 1–6. [Google Scholar] [CrossRef]
- Panchenko, E.; Eftifeeva, A.; Chumlyakov, Y.; Gerstein, G.; Maier, H.J. Two-way shape memory effect and thermal cycling stability in Co35Ni35Al30 single crystals by low-temperature martensite ageing. Scr. Mater. 2018, 150, 18–21. [Google Scholar] [CrossRef]
- Timofeeva, E.E.; Panchenko, E.Y.; Pichkaleva, M.V.; Tagiltsev, A.I.; Chumlyakov, Y.I. The effect of stress-induced martensite ageing on the two-way shape memory effect in Ni53Mn25Ga22 single crystals. Mater. Lett. 2018, 228, 490–492. [Google Scholar] [CrossRef]
- Panchenko, E.; Chumlyakov, Y.; Maier, H.J.; Timofeeva, E.; Karaman, I. Tension/compression asymmetry of functional properties in [001]-oriented ferromagnetic NiFeGaCo single crystals. Intermetallics 2010, 18, 2458–2463. [Google Scholar] [CrossRef]
- Li, P.; Karaca, H.E.; Chumlyakov, Y.I. Orientation dependent compression behavior of Co35Ni35Al30 single crystals. J. Alloys Compd. 2017, 718, 326–334. [Google Scholar] [CrossRef]
- Chernenko, V.A.; Villa, E.; Besseghini, S.; Barandiarán, J.M. Giant two-way shape memory effect in high-temperature Ni–Mn–Ga single crystal. Phys. Procedia 2010, 10, 94–98. [Google Scholar] [CrossRef]
- Panchenko, E.; Timofeeva, E.; Eftifeeva, A.; Osipovich, K.; Surikov, N.; Chumlyakov, Y.; Gerstein, G.; Maier, H.J. Giant rubber-like behavior induced by martensite aging in Ni51Fe18Ga27Co4 single crystals. Scr. Mater. 2019, 162, 387–390. [Google Scholar] [CrossRef]
- Chernenko, V.A.; Pons, J.; Cesari, E.; Zasimchuk, I.K. Transformation behaviour and martensite stabilization in the ferromagnetic Co–Ni–Ga Heusler alloy. Scr. Mater. 2004, 50, 225–229. [Google Scholar] [CrossRef]
- Masdeu, F.; Pons, J.; Chumlyakov, Y.; Cesari, E. Two-way shape memory effect in Ni49Fe18Ga27Co6 ferromagnetic shape memory single crystals. Mater. Sci. Eng. A 2021, 805, 140543. [Google Scholar] [CrossRef]
- Masdeu, F.; Pons, J.; Cesari, E.; Kustov, S.; Chumlyakov, Y.I. Magnetic-field-induced strain assisted by tensile stress in L10 martensite of a Ni–Fe–Ga–Co alloy. Appl. Phys. Lett. 2008, 93, 152503. [Google Scholar] [CrossRef]
- Biswas, A.; Singh, G.; Sarkar, S.K.; Krishnan, M.; Ramamurty, U. Hot deformation behavior of Ni-Fe-Ga-based ferromagnetic shape memory alloy-A study using processing map. Intermetallics 2014, 54, 69–78. [Google Scholar] [CrossRef]
- Pataky, G.J.; Ertekin, E.; Sehitoglu, H. Elastocaloric cooling potential of NiTi, Ni2FeGa, and CoNiAl. Acta Mater. 2015, 96, 420–427. [Google Scholar] [CrossRef]
- Xiao, F.; Jin, M.; Liu, J.; Jin, X. Elastocaloric effect in Ni50Fe19Ga27Co4 single crystals. Acta Mater. 2015, 96, 292–300. [Google Scholar] [CrossRef]
- Li, Y.; Zhao, D.; Liu, J. Giant and reversible room-temperature elastocaloric effect in a single-crystalline Ni-Fe-Ga magnetic shape memory alloy. Sci. Rep. 2016, 6, 1–11. [Google Scholar] [CrossRef]
- Sarkar, S.K.; Biswas, A.; Babu, P.D.; Kaushik, S.D.; Srivastava, A.; Siruguri, V.; Krishnan, M. Effect of partial substitution of Fe by Mn in Ni55Fe19Ga26 on its microstructure and magnetic properties. J. Alloys Compd. 2014, 586, 515–523. [Google Scholar] [CrossRef]
- Barandiarán, J.M.; Chernenko, V.A.; Lázpita, P.; Gutiérrez, J.; Feuchtwanger, J. Effect of martensitic transformation and magnetic field on transport properties of Ni-Mn-Ga and Ni-Fe-Ga Heusler alloys. Phys. Rev. B 2009, 80, 104404. [Google Scholar] [CrossRef]
- Liu, J.; Scheerbaum, N.; Hinz, D.; Gutfleisch, O. Martensitic transformation and magnetic properties in Ni–Fe–Ga–Co magnetic shape memory alloys. Acta Mater. 2008, 56, 3177–3186. [Google Scholar] [CrossRef]
- Sofronie, M.; Tolea, F.; Kuncser, V.; Valeanu, M. Martensitic transformation and accompanying magnetic changes in Ni-Fe-Ga-Co alloys. J. Appl. Phys. 2010, 107, 1–6. [Google Scholar] [CrossRef]
- Nikolaev, V.I.; Yakushev, P.N.; Malygin, G.A.; Averkin, A.I.; Pulnev, S.A.; Zograf, G.P.; Kustov, S.B.; Chumlyakov, Y.I. Influence of partial shape memory deformation on the burst character of its recovery in heated Ni–Fe–Ga–Co alloy crystals. Tech. Phys. Lett. 2016, 42, 399–402. [Google Scholar] [CrossRef]
- Oikawa, K.; Saito, R.; Anzai, K.; Ishikawa, H.; Sutou, Y.; Omori, T.; Yoshikawa, A.; Chernenko, V.A.; Besseghini, S.; Gambardella, A.; et al. Elastic and Superelastic Properties of NiFeCoGa Fibers Grown by Micro-Pulling-Down Method. Mater. Trans. 2009, 50, 934–937. [Google Scholar] [CrossRef]
- Kosogor, A.; L’vov, V.A.; Chernenko, V.A.; Villa, E.; Barandiaran, J.M.; Fukuda, T.; Terai, T.; Kakeshita, T. Hysteretic and anhysteretic tensile stress-strain behavior of Ni-Fe(Co)-Ga single crystal: Experiment and theory. Acta Mater. 2014, 66, 79–85. [Google Scholar] [CrossRef]
- Liu, N.; Huang, W.M. DSC study on temperature memory effect of NiTi shape memory alloy. Trans. Nonferrous Met. Soc. China (Engl. Ed.) 2006, 16, s37–s41. [Google Scholar] [CrossRef]
- Hamilton, R.; Efstathiou, C.; Sehitoglu, H.; Chumlyakov, Y. Thermal and stress-induced martensitic transformations in NiFeGa single crystals under tension and compression. Scr. Mater. 2006, 54, 465–469. [Google Scholar] [CrossRef]
- Panchenko, E.; Timofeeva, E.; Pichkaleva, M.; Tokhmetova, A.; Surikov, N.; Tagiltsev, A.; Chumlyakov, Y. Effect of Stress-Induced Martensite Aging on Martensite Variant Reorientation Strain in NiMnGa Single Crystals. Shape Mem. Superelasticity 2020, 6, 29–34. [Google Scholar] [CrossRef]
- L’vov, V.A.; Rudenko, A.A.; Chernenko, V.A.; Cesari, E.; Pons, J.; Kanomata, T. Stress-induced martensitic transformation and superelasticity of alloys: Experiment and theory. Mater. Trans. 2005, 46, 790–797. [Google Scholar] [CrossRef]
- Karaca, H.E.; Karaman, I.; Lagoudas, D.C.; Maier, H.J.; Chumlyakov, Y.I. Recoverable stress-induced martensitic transformation in a ferromagnetic CoNiAl alloy. Scr. Mater. 2003, 49, 831–836. [Google Scholar] [CrossRef]
- Dadda, J.; Maier, H.J.; Karaman, I.; Karaca, H.E.; Chumlyakov, Y.I. Pseudoelasticity at elevated temperatures in [001] oriented Co49Ni21Ga30 single crystals under compression. Scr. Mater. 2006, 55, 663–666. [Google Scholar] [CrossRef]
- Villa, E.; Agilar-Ortiz, C.O.; Álvarez-Alonso, P.; Camarillo, J.P.; Lara-Rodriguez, G.A.; Flores-Zúñiga, H.; Chernenko, V.A. Shape memory behavior of Ni-Fe-Ga and Ni-Mn-Sn ribbons. MATEC Web Conf. 2015, 33. [Google Scholar] [CrossRef]
- Zhao, P.; Dai, L.; Cullen, J.; Wuttig, M. Magnetic and Elastic Properties of Ni49.0Mn23.5Ga27.5 Premartensite. Metall. Mater. Trans. A 2007, 38, 745–751. [Google Scholar] [CrossRef]
- Oikawa, K.; Omori, T.; Sutou, Y.; Morito, H.; Kainuma, R.; Ishida, K. Phase Equilibria and Phase Transition of the Ni–Fe–Ga Ferromagnetic Shape Memory Alloy System. Metall. Mater. Trans. A 2007, 38, 767–776. [Google Scholar] [CrossRef]




| Temperature of SS Test Cycle | Ms (°C) | Mf (°C) | ΔHcooling (J/g) | As (°C) | Af (°C) | ΔHheating (J/g) | |
|---|---|---|---|---|---|---|---|
| As < T | before the tests | 62 | 50 | 3.4 | 69 | 92 | 2.5 |
| after SS 22 °C | 61 | 48 | 3.1 | 101 | 103 | 3.1 | |
| after SS 40 °C | 59 | 47 | 3.0 | 102 | 103 | 3.1 | |
| after SS 60 °C | 59 | 47 | 3.0 | 101 | 102 | 3.0 | |
| As < T < Af | after SS 80 °C | 59 | 46 | 3.0 | 99 | 100 | 3.1 |
| after SS 90 °C | 58 | 46 | 3.1 | 98 | 100 | 3.1 | |
| T > Af | after SS 100 °C | 59 | 46 | 3.2 | 65 | 77 | 3.3 |
| after SS 120 °C | 58 | 47 | 3.4 | 62 | 76 | 3.1 | |
| after SS 130 °C | 58 | 47 | 3.4 | 63 | 77 | 3.0 | |
Publisher’s Note: MDPI stays neutral with regard to jurisdictional claims in published maps and institutional affiliations. |
© 2021 by the authors. Licensee MDPI, Basel, Switzerland. This article is an open access article distributed under the terms and conditions of the Creative Commons Attribution (CC BY) license (https://creativecommons.org/licenses/by/4.0/).
Share and Cite
Lázpita, P.; Villa, E.; Villa, F.; Chernenko, V. Temperature Dependent Stress–Strain Behavior and Martensite Stabilization in Magnetic Shape Memory Ni51.1Fe16.4Ga26.3Co6.2 Single Crystal. Metals 2021, 11, 920. https://doi.org/10.3390/met11060920
Lázpita P, Villa E, Villa F, Chernenko V. Temperature Dependent Stress–Strain Behavior and Martensite Stabilization in Magnetic Shape Memory Ni51.1Fe16.4Ga26.3Co6.2 Single Crystal. Metals. 2021; 11(6):920. https://doi.org/10.3390/met11060920
Chicago/Turabian StyleLázpita, Patricia, Elena Villa, Francesca Villa, and Volodymyr Chernenko. 2021. "Temperature Dependent Stress–Strain Behavior and Martensite Stabilization in Magnetic Shape Memory Ni51.1Fe16.4Ga26.3Co6.2 Single Crystal" Metals 11, no. 6: 920. https://doi.org/10.3390/met11060920
APA StyleLázpita, P., Villa, E., Villa, F., & Chernenko, V. (2021). Temperature Dependent Stress–Strain Behavior and Martensite Stabilization in Magnetic Shape Memory Ni51.1Fe16.4Ga26.3Co6.2 Single Crystal. Metals, 11(6), 920. https://doi.org/10.3390/met11060920

