Study on High-Temperature Mechanical Properties of Fe–Mn–C–Al TWIP/TRIP Steel
Abstract
1. Introduction
2. Sample Processing and Experimental Methods
2.1. Sample Preparation and Sampling
2.2. High-Temperature Tensile Test
3. Results and Analysis
3.1. Calculation of SFE
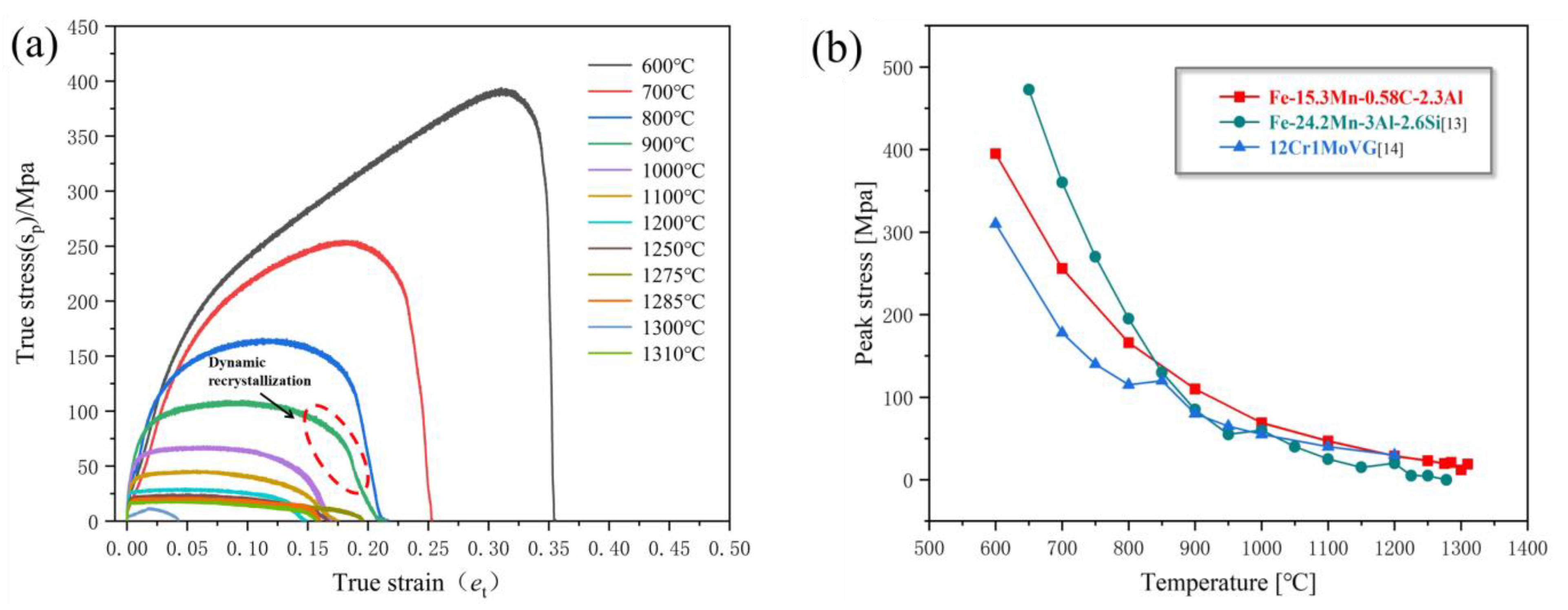
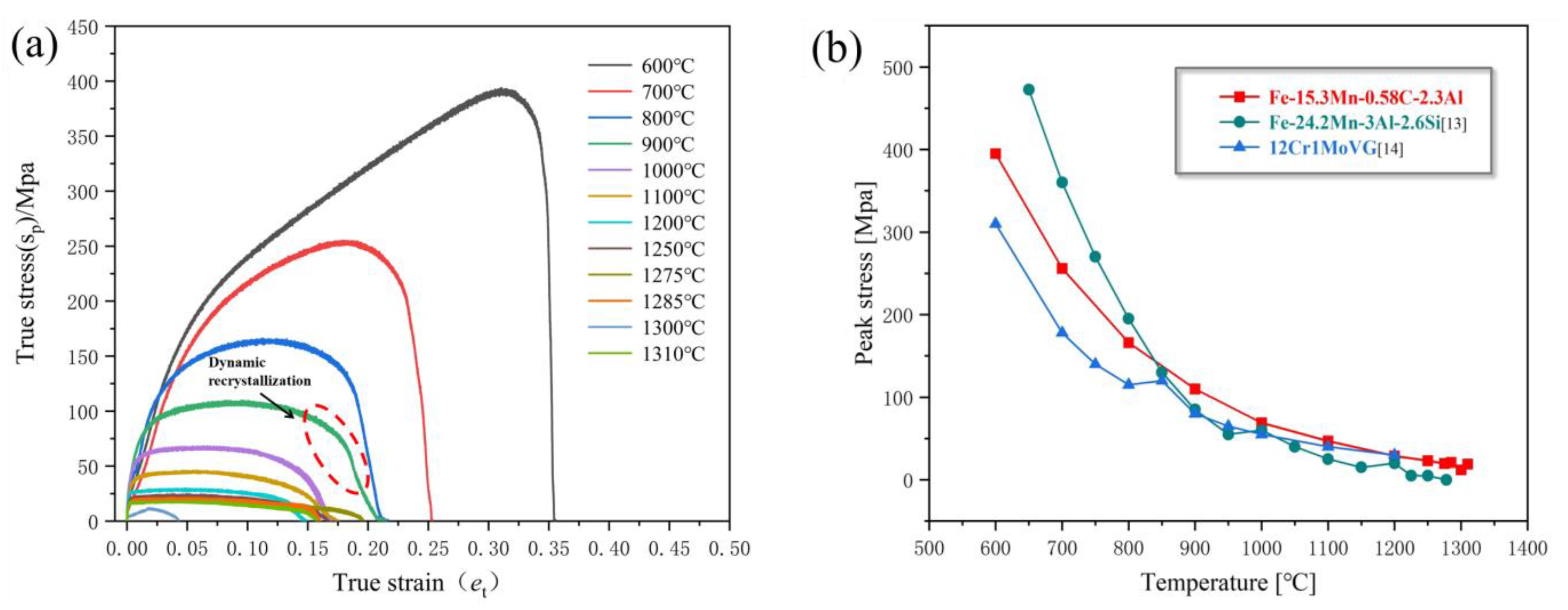
3.2. Tensile Strength Analysis
3.3. Thermoplastic Analysis
3.4. Fracture Morphology
3.5. Microstructure
3.6. Phase Transition Process and EBSD Analysis
4. Conclusions
Author Contributions
Funding
Institutional Review Board Statement
Informed Consent Statement
Data Availability Statement
Conflicts of Interest
References
- Asghari, A.; Zarei-Hanzaki, A.; Eskandari, M. Temperature dependence of plastic deformation mechanisms in a modified transformation-twinning induced plasticity steel. Mater. Sci. Eng. A 2013, 579, 150–156. [Google Scholar] [CrossRef]
- De Cooman, B.C.; Estrin, Y.; Kim, S.K. Twinning-induced plasticity (TWIP) steels. Acta Mater. 2018, 142, 283–362. [Google Scholar] [CrossRef]
- Krüger, L.; Meyer, L.W.; Brux, U.; Frommeyer, G.; Grässel, O. Stress-deformation behaviour of high manganese (AI, Si) TRIP and TWIP steels. J. Physi. IV 2003, 110, 189–194. [Google Scholar] [CrossRef]
- Jin, J.E.; Lee, Y.K. Effects of Al on microstructure and tensile properties of C-bearing high Mn TWIP steel. Acta Mater. 2012, 60, 1680–1688. [Google Scholar] [CrossRef]
- Frommeyer, G.; Brüx, U.; Neumann, P. Supra-Ductile and High-Strength Manganese-TRIP/TWIP Steels for High Energy Absorption Purposes. ISIJ Int. 2003, 43, 438–446. [Google Scholar] [CrossRef]
- Lee, S.; Estrin, Y.; Cooman, B. Effect of the Strain Rate on the TRIP-TWIP Transition in Austenitic Fe-12 pct Mn-0.6 pct C TWIP Steel. Metall. Mater. Trans. A 2014, 45, 717–730. [Google Scholar] [CrossRef]
- Franceschi, M.; Pezzato, L.; Gennari, C.; Fabrizi, A.; Polyakova, M.; Konstantinov, D.; Brunelli, K.; Dabalà, M. Effect of Intercritical Annealing and Austempering on the Microstructure and Mechanical Properties of a High Silicon Manganese Steel. Metals 2020, 10, 1448. [Google Scholar] [CrossRef]
- Zhou, N.; Song, R.; Li, X.; Li, J. Dependence of austenite stability and deformation behavior on tempering time in an ultrahigh strength medium Mn TRIP steel. Mater. Sci. Eng. A 2018, 738, 153–162. [Google Scholar] [CrossRef]
- Mou, Y.; Li, Z.; Zhang, X.; Misra, D.; He, L.; Li, H. Design of an Effective Heat Treatment Involving Intercritical Hardening for High Strength/High Elongation of 0.2C-3Al-(6-8.5)Mn-Fe TRIP Steels: Microstructural Evolution and Deformation Behavior. Metals 2019, 9, 1275. [Google Scholar] [CrossRef]
- Lan, P.; Tang, H.; Zhang, J. Hot ductility of high alloy Fe–Mn–C austenite TWIP steel. Mater. Sci. Eng. A 2016, 660, 127–138. [Google Scholar] [CrossRef]
- De Barbieri, F.; Castro Cerda, F.; Pérez-Ipiña, J.; Artigas, A.; Monsalve, A. Temperature Dependence of the Microstructure and Mechanical Properties of a Twinning-Induced Plasticity Steel. Metals 2018, 8, 262. [Google Scholar] [CrossRef]
- Koyama, M.; Sawaguchi, T.; Tsuzaki, K. TWIP Effect and Plastic Instability Condition in an Fe–Mn–C Austenitic Steel. ISIJ Int. 2013, 53, 323–329. [Google Scholar] [CrossRef]
- Li, S.; Liu, J.; Liu, H.; Zhuang, C.; Liu, J.; Han, Z. Study on High-Temperature Mechanical Properties of Low-Carbon Fe-Mn-Si-Al TWIP Steel. High Temp. Mater. Process. 2017, 36, 505–513. [Google Scholar] [CrossRef]
- Dong, K.; Liu, J.; Zhang, P.; Zheng, G.; Li, Y.; He, Y. Research on Elevated Temperature Mechanical Properties of 12Cr1MoVG Steel Continuous Casting Billet. Iron Steel Vanadium Titan. 2020, 41, 124–129. [Google Scholar]
- Curtze, S.; Kuokkala, V.T. Dependence of tensile deformation behavior of TWIP steels on stacking fault energy, temperature and strain rate. Acta Mater. 2010, 58, 5129–5141. [Google Scholar] [CrossRef]
- Olson, G.B.; Cohen, M. A general mechanism of martensitic nucleation: Part I. General concepts and the FCC→HCP transformation. Metall. Mater. Trans. A 1976, 7, 1897–1904. [Google Scholar]
- Allain, S.; Chateau, J.-P.; Bouaziz, O.; Migot, S.; Guelton, N. Correlations between the calculated stacking fault energy and the plasticity mechanisms in Fe–Mn–C alloys. Mater. Sci. Eng. A 2004, 387–389, 158–162. [Google Scholar] [CrossRef]
- Tian, X. Effect of Aluminium, Chromium and Silicon on the Lattice Parameter for Fe-Mn-C Austenite. Chin. J. Mater. Res. 1991, 25, 48–51. [Google Scholar]
- García de Andrés, C.; García Caballero, F.; Capdevila, C.; Bhadeshia, H.K. Modelling of kinetics and dilatometric behavior of non-isothermal pearlite-to-austenite transformation in an eutectoid steel. Scr. Mater. 1998, 39, 791–796. [Google Scholar] [CrossRef]
- Dumay, A.; Chateau, J.-P.; Allain, S.; Migot, S.; Bouaziz, O. Influence of addition elements on the stacking-fault energy and mechanical properties of an austenitic Fe–Mn–C steel. Mater. Sci. Eng. A 2008, 483–484, 184–187. [Google Scholar] [CrossRef]
- Saeed-Akbari, A.; Imlau, J.; Prahl, U.; Bleck, W. Derivation and Variation in Composition-Dependent Stacking Fault Energy Maps Based on Subregular Solution Model in High-Manganese Steels. Metall. Mater. Trans. A 2009, 40, 3076–3090. [Google Scholar] [CrossRef]
- Salas-Reyes, A.E.; Mejía, I.; Bedolla-Jacuinde, A.; Boulaajaj, A.; Calvo, J.; Cabrera, J.M. Hot ductility behavior of high-Mn austenitic Fe-22Mn-1.5Al-1.5Si-0.45C TWIP steels microalloyed with Ti and V. Mater. Sci. Eng. A 2014, 611, 77–89. [Google Scholar] [CrossRef]
- Crowther, D.N.; Mintz, B. Influence of grain size and precipitation on hot ductility of microalloyed steels. Mater. Sci. Technol. 1986, 2, 1099. [Google Scholar] [CrossRef]
- Lan, F.; Du, W.; Zhuang, C.; Li, C. Effect of Niobium on Inclusions in Fe-Mn-C-Al Twinning-Induced Plasticity Steel. Metals 2021, 11, 83. [Google Scholar] [CrossRef]
- Mintz, B. The Influence of Composition on the Hot Ductility of Steels and to the Problem of Transverse Cracking. ISIJ Int. 1999, 39, 833–855. [Google Scholar] [CrossRef]
- Hamada, A.S.; Karjalainen, L.P. Hot ductility behaviour of high-Mn TWIP steels. Mater. Sci. Eng. A 2011, 528, 1819–1827. [Google Scholar] [CrossRef]
- Carpenter, K.R.; Dippenaar, R.; Killmore, C.R. Hot Ductility of Nb- and Ti-Bearing Microalloyed Steels and the Influence of Thermal History. Metall. Mater. Trans. A 2009, 40, 573–580. [Google Scholar] [CrossRef]
- Abushosha, R.; Vipond, R.; Mintz, B. Influence of sulphur and niobium on hot ductility of as cast steels. Metal. Sci. J. 1991, 7, 1101–1107. [Google Scholar] [CrossRef]
- Mejía, I.; Altamirano, G.; Bedolla-Jacuinde, A.; Cabrera, J.M. Effect of Boron on the Hot Ductility Behavior of a Low Carbon Advanced Ultra-High Strength Steel (A-UHSS). Metall. Mater. Trans. 2013, 44, 5165–5176. [Google Scholar] [CrossRef]
- Zhang, S.; Kim, D.-U.; Jiang, W.; Tonk, M.R. A phase field model of crack propagation in anisotropic brittle materials with preferred fracture planes. Comput. Mater. Sci. 2021, 193, 110400. [Google Scholar] [CrossRef]
- Liu, X.; Ye, L.; Tang, J.; Shan, Z.; Ke, B.; Dong, Y.; Chen, J. Superplastic deformation mechanisms of an Al–Mg–Li alloy with banded microstructures. Mater. Sci. Eng. A 2021, 805, 140545. [Google Scholar] [CrossRef]
- Yang, S.; Shen, J.; Chen, L.; Li, X. Dynamic evolution of microstructure of Al-Cu-Li alloy during hot deformation. Trans. Nonferrous Met. Soc. China 2019, 29, 674–683. [Google Scholar]
- Khosravifard, A.; Hamada, A.; Moshksar, M.; Ebrahimi, R.; Porter, D.; Karjalainen, L. High temperature deformation behavior of two as-cast high-manganese TWIP steels. Mater. Sci. Eng. A 2013, 582, 15–21. [Google Scholar] [CrossRef]
- Yang, Z.; Zhao, Y.; Wang, R.; Che, Y.; Ma, Y.; Chen, Q. Formation of Ultra-Fine Ferrite Grains in Low Carbon Steels Through low Temperature Heavy Deformation. Acta Metall. Sin. 2000, 36, 1061–1066. [Google Scholar]
- Salas-Reyes, A.E.; Mejía, I.; Cabrera, J.M. Microstructure and Crystallographic Texture Development of Microalloyed Twinning Induced Plasticity (TWIP) Steels Under Uniaxial Hot-Tensile Conditions. MRS Proc. 2015, 1765, 103–108. [Google Scholar] [CrossRef]
- Meng, Y.; Ren, Q.; Ju, X.H. Evaluation of dislocation density by local grain misorientation in deformed metals. Trans. Mater. Heat Treat. 2014, 35, 122–128. [Google Scholar]









| Element | Fe | Mn | C | Al | N | O | S |
|---|---|---|---|---|---|---|---|
| Content (%) | Bal. | 15.3 | 0.58 | 2.3 | 0.0057 | 0.0049 | 0.0099 |
| Physical Parameter [20] | |
|---|---|
| −2243.38 + 4.309T | |
| −1000.00 + 1.123T | |
| −22,166 | |
| 2800 + 5T | |
| 2873 − 717() | |
| 42,500 | |
| 3339 |
Publisher’s Note: MDPI stays neutral with regard to jurisdictional claims in published maps and institutional affiliations. |
© 2021 by the authors. Licensee MDPI, Basel, Switzerland. This article is an open access article distributed under the terms and conditions of the Creative Commons Attribution (CC BY) license (https://creativecommons.org/licenses/by/4.0/).
Share and Cite
Yang, G.; Zhuang, C.; Li, C.; Lan, F.; Yao, H. Study on High-Temperature Mechanical Properties of Fe–Mn–C–Al TWIP/TRIP Steel. Metals 2021, 11, 821. https://doi.org/10.3390/met11050821
Yang G, Zhuang C, Li C, Lan F, Yao H. Study on High-Temperature Mechanical Properties of Fe–Mn–C–Al TWIP/TRIP Steel. Metals. 2021; 11(5):821. https://doi.org/10.3390/met11050821
Chicago/Turabian StyleYang, Guangkai, Changling Zhuang, Changrong Li, Fangjie Lan, and Hanjie Yao. 2021. "Study on High-Temperature Mechanical Properties of Fe–Mn–C–Al TWIP/TRIP Steel" Metals 11, no. 5: 821. https://doi.org/10.3390/met11050821
APA StyleYang, G., Zhuang, C., Li, C., Lan, F., & Yao, H. (2021). Study on High-Temperature Mechanical Properties of Fe–Mn–C–Al TWIP/TRIP Steel. Metals, 11(5), 821. https://doi.org/10.3390/met11050821
