Dealing with the Fracture Ductile-to-Brittle Transition Zone of Ferritic Steels Containing Notches: On the Applicability of the Master Curve
Abstract
1. Introduction
2. The Master Curve: Brief Overview
3. The Ductile-to-Brittle Transition Zone in Notched Conditions
4. On the Applicability of the MC in Notched Conditions: Hypotheses and Validation
- Weibull distribution: when dealing with notch-type defects in ferritic steels within the corresponding DBTZ, the failure mechanism is also cleavage, and as it is assumed in cracked situations, the fracture process obeys weakest-link statistics. This kind of phenomenon, also presenting a minimum value of the fracture toughness below which there is no cleavage fracture, is conveniently described by a (three-parameter) Weibull distribution. In other words, given that the fracture processes in cracked and notched conditions, at their respective DBTZs, have the same fracture micromechanisms, an analogous Weibull distribution should also be suitable for the analysis of notches. The cumulative failure probability (Pf) follows Equation (14):Pf = 1 − e(B/B0)·{(KNJc − KNmin)/(KN0 − KNmin)}bN
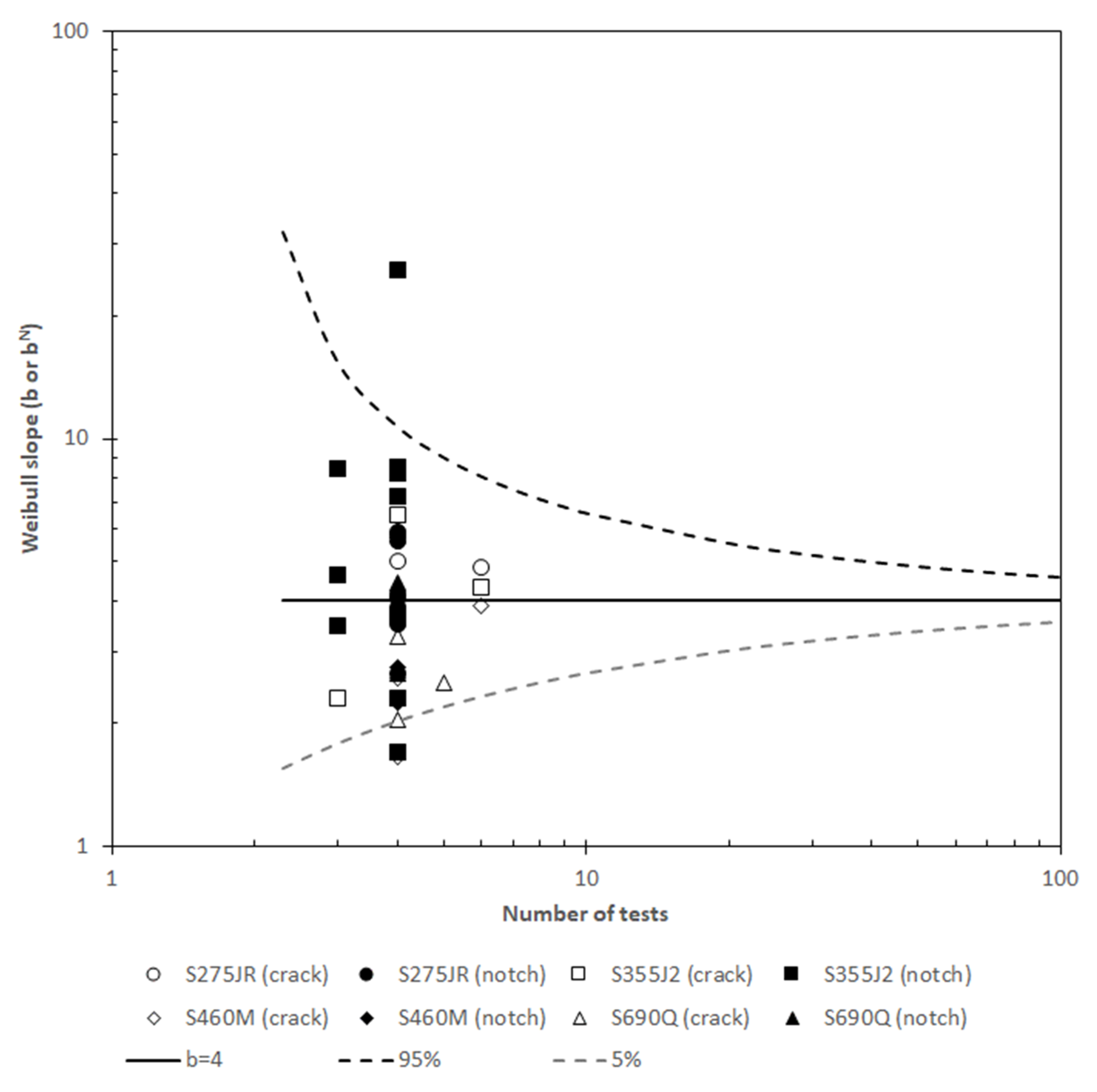
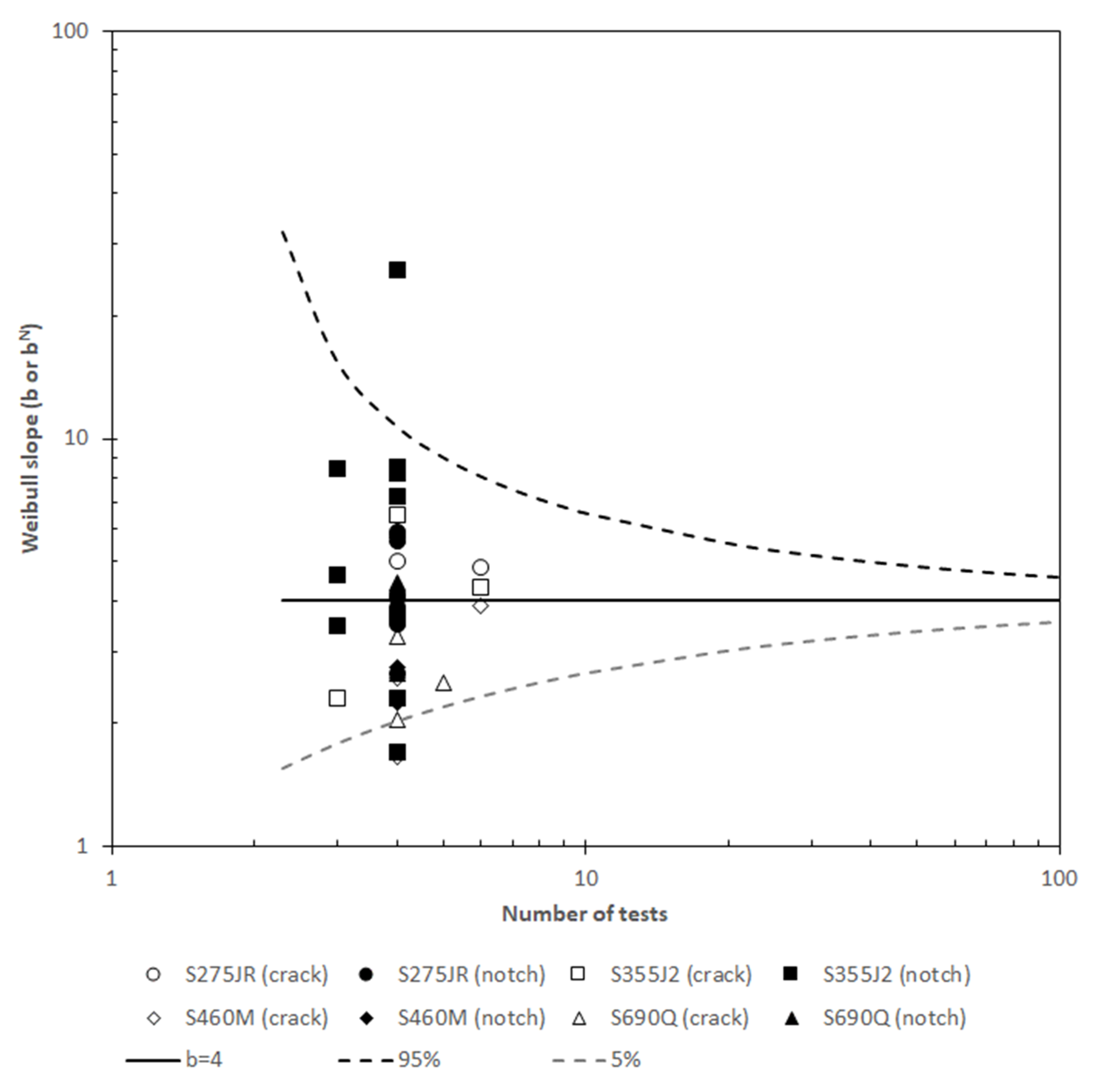
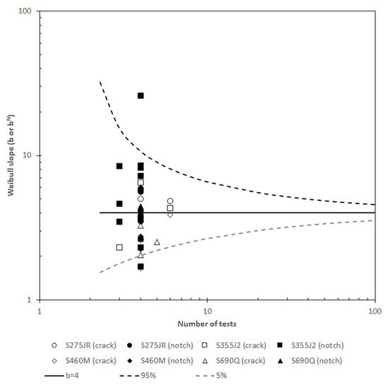
- bN: the shape parameter of the Weibull distribution (Weibull slope) is assumed to be 4 in the MC, and statistical analyses [4] confirm that this value is adequate in cracked conditions. Following the same reasoning, Figure 1, Figure 2, Figure 3, Figure 4, show the different bN values (slopes) obtained in a number of datasets developed by the authors (the complete list of experimental results is gathered in Appendix A), for different materials and notch radii (results in cracked conditions are also included). In the figures, KNmin has been assumed to be equal to 20 MPam1/2 (see discussion below). Each dataset includes at least three KNJc values satisfying ASTM E1921 validity requirements [5] measured at a single temperature and a single loading rate using a single specimen size with a single notch radius. The KNJc values are then rank ordered and assigned an estimate of the median rank probability (Pf) [39], which is given by:where i is the order of the KNJc value and n is the total number of KNJc values.Pf = (i − 0.3)/(n + 0.4)
- KN0: the scale parameter of the Weibull distribution is the apparent fracture toughness corresponding to a failure probability of 63.2%. The definition of K0 in cracked conditions (i.e., its temperature dependence) was empirically fitted from a wide set of experimental results [16], where it was shown that regardless of the ferritic steel and the irradiation damage, all K0 − T tests had the same shape. The fitting curve is shown in Equation (2) [16], which, in Figure 6, is represented in terms of KN0 − (T − T0N) for the different test results and datasets gathered in Appendix A. Each dataset (i.e., each point of the curve) corresponds to a combination of material, temperature and notch radius, with KN0 being obtained by using the maximum likelihood method [5]:where n is the total number of data (censored and uncensored), and r is the number of uncensored data. Again, Equation (16) assumes that KNmin is equal to 20 MPam1/2 (see discussion below). The results shown in Figure 6 suggest that KN0 may be slightly underestimated for T − T0N values between 0 and −50 °C, and also that it could be overestimated for T − T0N values close to +50 °C. In any case, it can be observed that the datasets of notched specimens follow reasonably well the fitting equation. Thus, analogously to Equation (2) in cracked conditions, it appears reasonable to use Equation (17) for notched conditions:KN0 = [Σni = 1 (KNJc,i − 20)4/r]0.25 + 20KN0 = 31 + 77e0.019·(T − T0N)
- KNmin: the location parameter of the Weibull distribution is also necessary in notched conditions, as cleavage requires a minimum stress intensity factor to occur. Thus, a three-parameter Weibull distribution is also required when analyzing notches (with KNmin being the third parameter). Concerning the value of KNmin, it is proposed to use the same one used for cracks, which is Kmin = 20 MPam1/2. Here, one could argue that in notched conditions, the apparent fracture toughness observed in notched conditions should be higher than 20 MPam1/2 when this precise value is observed in cracked conditions. This is true, if both fracture toughness and apparent fracture toughness are compared at a given temperature, but it is necessary to consider that KNmin would not be achieved at the same temperature as Kmin, given that the curve obtained in notched conditions is shifted to lower temperatures. Therefore, the hypothesis of considering 20 MPam1/2 as the minimum value below which cleavage is impossible is also reasonable in notched conditions, even more so if it is considered (again) that in both situations (cracked and notched), fracture is caused by the same micromechanisms. Finally, in any case, considering 20 MPam1/2 as KNmin in notched conditions could be argued to be a conservative assumption, whose consequences in the final apparent fracture toughness predictions will be shown below.
- KNJc,limit: the censoring criterion in cracked conditions is established by Equation (8), which is applied to meet small-scale yielding conditions and, thus, to guarantee that the stress fields at fracture are not influenced by the finite size of the fracture specimens being used [39]. Equation (8) is based on different works [41,42] which, based on FE modeling, derived an expression ensuring that the crack-tip stress fields in a finite size specimen do not deviate significantly from the crack-tip stress fields characteristic of an infinite body [39]. A given KJc,limit corresponds to a given applied external load and certain size of the plastic zone. KNJc,limit follows the same equations as KJc,limit (here, it is important to remember the concept of apparent fracture toughness), so the same values of KJc,limit and KNJc,limit correspond to basically the same applied external load. However, physically, when applying the same load to a cracked and a notched specimen, the latter develops a smaller plastic zone. In other words, if Equation (8) guarantees small-scale yielding conditions in cracked conditions, such conditions are surely met in notched conditions. Thus, here, it is proposed to use the same censoring criterion for notches as that used for cracks:KNJc,limit = {(Eb0σys)/(30(1 − υ2))}0.5
5. Conclusions
Author Contributions
Funding
Data Availability Statement
Conflicts of Interest
Appendix A
| ρ (mm) | T (°C) | KJc (MPa·m1/2) | KNJc (MPa·m1/2) | T0 (°C) | T0N (°C) |
|---|---|---|---|---|---|
| 0 | −50 | 61.3 | – | −26 | – |
| 88.0 | |||||
| 78.1 | |||||
| 95.0 | |||||
| −30 | 104.2 | – | |||
| 80.8 | |||||
| 100.1 | |||||
| 117.7 | |||||
| −10 | 148.5 | – | |||
| 97.0 | |||||
| 105.8 | |||||
| 124.2 | |||||
| 148.1 | |||||
| 113.2 | |||||
| 0.15 | −120 | – | 75.0 | – | −113 |
| 77.0 | |||||
| 94.8 | |||||
| 93.6 | |||||
| −90 | – | 170.3 | |||
| 118.6 | |||||
| 190.4 | |||||
| 138.9 | |||||
| 0.25 | −120 | − | 97.4 | – | −110 |
| 60.3 | |||||
| 96.5 | |||||
| 97.9 | |||||
| −90 | – | 154.9 | |||
| 122.9 | |||||
| 168.7 | |||||
| 132.8 | |||||
| 0.50 | −120 | – | 123.6 | – | −138 |
| 116.0 | |||||
| 113.3 | |||||
| 150.6 | |||||
| −90 | – | 167.7 | |||
| 284.2 (1) | |||||
| 219.5 | |||||
| 274.7 (1) | |||||
| 1.0 | −120 | – | 239.6 | – | −159 (2) |
| 151.4 | |||||
| 172.9 | |||||
| 169.3 | |||||
| 2.0 | −120 | 167.1 | – | −170 (2) | |
| 578.2 (1) | |||||
| 386.6 (1) | |||||
| 245.1 |
| ρ (mm) | T (°C) | KJc (MPa·m1/2) | KNJc (MPa·m1/2) | T0 (°C) | T0N (°C) |
|---|---|---|---|---|---|
| 0 | −150 | Non-valid | – | −133 | – |
| 44.3 | |||||
| 63.3 | |||||
| 74.1 | |||||
| −120 | 169.5 | – | |||
| 153.4 | |||||
| 132.6 | |||||
| 130.9 | |||||
| −100 | 136.9 | – | |||
| 136.1 | |||||
| 126.8 | |||||
| 216.6 | |||||
| 170.5 | |||||
| 158.0 | |||||
| 0.15 | −196 | – | 46.2 | – | −168 |
| 34.1 | |||||
| 47.3 | |||||
| 59.2 | |||||
| −150 | – | 143.2 | |||
| 54.8 | |||||
| 118.0 | |||||
| 110.9 | |||||
| 318.6 (1) | |||||
| Non-valid | |||||
| −120 | 300.0 (1) | ||||
| 253.0 | |||||
| 0.25 | −196 | – | 58.4 | – | −170 |
| 57.9 | |||||
| 60.6 | |||||
| 58.1 | |||||
| −150 | – | 126.8 | |||
| 175.8 | |||||
| 115.1 | |||||
| Non-valid | |||||
| −120 | – | Non-valid | |||
| 297.9 | |||||
| 203.4 | |||||
| 248.8 | |||||
| 0.50 | −196 | – | 82.9 | – | −198 |
| 86.3 | |||||
| 81.6 | |||||
| 70.8 | |||||
| −150 | – | 220.2 | |||
| 341.7 (1) | |||||
| 256.9 | |||||
| 179.0 | |||||
| 1.0 | −196 | – | 101.4 | – | −206 (2) |
| 106.3 | |||||
| 86.5 | |||||
| 110.5 | |||||
| 2.0 | −196 | – | 129.3 | – | −208 (2) |
| 141.1 | |||||
| 121.2 | |||||
| 111.7 |
| ρ (mm) | T (°C) | KJc (MPa·m1/2) | KNJc (MPa·m1/2) | T0 (°C) | T0N (°C) |
|---|---|---|---|---|---|
| 0 | −140 | 41.6 | – | −91.8 | – |
| 34.1 | |||||
| 43.4 | |||||
| 50.9 | |||||
| −120 | 113.2 | – | |||
| 85.4 | |||||
| 75.4 | |||||
| 46.2 | |||||
| −100 | 91.5 | – | |||
| 64.3 | |||||
| 97.4 | |||||
| 60.8 | |||||
| 80.6 | |||||
| 87.3 | |||||
| 0.15 | −140 | – | 134.1 | – | −159 |
| 49.2 | |||||
| 126.4 | |||||
| 100.8 | |||||
| −120 | 156.2 | ||||
| 228.2 | |||||
| 139.9 | |||||
| 244.1 | |||||
| 0.25 | −140 | – | 93.6 | – | −166 |
| 124.5 | |||||
| 115.7 | |||||
| 121.5 | |||||
| −120 | – | 249.7 (1) | |||
| 299.7 (1) | |||||
| 179.9 | |||||
| 222.0 | |||||
| 0.50 | −140 | – | 130.2 | – | −186 (2) |
| 121.8 | |||||
| 194.9 | |||||
| 269.2 (1) |
| ρ (mm) | T (°C) | KJc (MPa·m1/2) | KNJc (MPa·m1/2) | T0 (°C) | T0N (°C) |
|---|---|---|---|---|---|
| 0 | −140 | 50.6 | – | −110.8 | – |
| 66.4 | |||||
| 64.5 | |||||
| 71.2 | |||||
| −120 | 100.2 | – | |||
| 106.3 | |||||
| 108.2 | |||||
| 60.1 | |||||
| −100 | 105.9 | – | |||
| 176.6 | |||||
| 83.6 | |||||
| 114.9 | |||||
| 82.9 | |||||
| Non-valid | |||||
| 0.15 | −140 | – | 103.8 | – | −151 |
| 90.8 | |||||
| 130.1 | |||||
| 92.1 | |||||
| −120 | – | 120.2 | – | ||
| 208.1 | |||||
| 121.0 | |||||
| 181.2 | |||||
| 0.25 | −140 | – | 115.6 | – | −167 |
| 134.7 | |||||
| 163.0 | |||||
| 119.9 | |||||
| −120 | – | 235.9 | |||
| 274.8 | |||||
| 213.5 | |||||
| 219.3 |
References
- Wallin, K. The scatter in KIc results. Eng. Fract. Mech. 1984, 19, 1085–1093. [Google Scholar] [CrossRef]
- Wallin, K.; Saario, T.; Törrönen, K. Statistical model for carbide induced brittle fracture in steel. Metal Sci. 1984, 18, 13–16. [Google Scholar] [CrossRef]
- Wallin, K. The size effect in KIC results. Eng. Fract. Mech. 1985, 22, 149–163. [Google Scholar] [CrossRef]
- Wallin, K. Master Curve Analysis of Ductile to Brittle Transition Region Fracture Toughness Round Robin Data. The ‘‘EURO’’ Fracture Toughness Curve; VTT Publications 367; Julkaisija-Utgivare Publisher: Helsinki, Finland, 1998. [Google Scholar]
- ASTM 1921-20. Standard Test Method for the Determination of Reference Temperature, T0, for Ferritic Steels in the Transition Range; American Society for Testing and Materials: Philadelphia, PA, USA, 2020. [Google Scholar]
- Taylor, D. The Theory of Critical Distances: A New Perspective in Fracture Mechanics; Elsevier: Amsterdam, The Netherlands, 2007. [Google Scholar]
- Cicero, S.; Madrazo, V.; García, T.; Cuervo, J.; Ruiz, E. On the notch effect in load bearing capacity, apparent fracture toughness and fracture mechanisms of polymer PMMA, aluminium alloy Al7075-T651 and structural steels S275JR and S355J2. Eng. Fail. Anal. 2013, 29, 108–121. [Google Scholar] [CrossRef]
- Cicero, S.; Madrazo, V.; García, T. Analysis of notch effect in the apparent fracture toughness and the fracture micromechanisms of ferritic–pearlitic steels operating within their lower shelf. Eng. Fail. Anal. 2014, 36, 322–342. [Google Scholar] [CrossRef]
- Cicero, S.; Madrazo, V.; Carrascal, I.A. Analysis of notch effect in PMMA by using the Theory of Critical Distances. Eng. Fract. Mech. 2012, 86, 56–72. [Google Scholar] [CrossRef]
- Madrazo, V.; Cicero, S.; Carrascal, I.A. On the point method and the line method notch effect predictions in Al7075-T651. Eng. Fract. Mech. 2012, 79, 363–379. [Google Scholar] [CrossRef]
- Cicero, S.; García, T.; Castro, J.; Madrazo, V.; Andrés, D. Analysis of notch effect on the fracture behaviour of granite and lime-stone: An approach from the Theory of Critical Distances. Eng. Geol. 2014, 177, 1–9. [Google Scholar] [CrossRef]
- Justo, J.; Castro, J.; Cicero, S. Notch effect and fracture load pre-dictions of rock beams at different temperatures using the theory of critical distances. Int. J. Rock Mech. Min. Sci. 2020, 125, 104161. [Google Scholar] [CrossRef]
- Cicero, S.; Madrazo, V.; García, T. The Notch Master Curve: A proposal of Master Curve for ferritic-pearlitic steels in notched conditions. Eng. Fail. Anal. 2014, 42, 178–196. [Google Scholar] [CrossRef]
- Cicero, S.; García, T.; Madrazo, V. Application and validation of the notch master curve in medium and high strength structural steels. J. Mech. Sci. Technol. 2015, 29, 4129–4142. [Google Scholar] [CrossRef]
- García, T.; Cicero, S. Application of the Master Curve to ferritic steels in notched conditions. Eng. Fail. Anal. 2015, 58, 149–164. [Google Scholar] [CrossRef]
- Wallin, K. Irradiation damage effects on the fracture toughness transition curve shape for reactor pressure vessel steels. Int. J. Press Vessel. Pip. 1993, 55, 61–79. [Google Scholar] [CrossRef]
- Wallin, K. Application of Master Curve to Highly Irradiated RPV Steels. In Proceedings of the LONGLIFE Final International Workshop: RPV steel embrittlement under long term operation conditions, Dresden, Germany, 15–16 January 2014. [Google Scholar]
- ASTM 1921-97. Standard Test Method for the Determination of Reference Temperature, T0, for Ferritic Steels in the Transition Range; American Society for Testing and Materials: Philadelphia, PA, USA, 1997. [Google Scholar]
- Beremin, F.M.; Pineau, A.; Mudry, F.; Devaux, J.C.; D’Escatha, Y.; Ledermann, P. A local criterion for cleavage fracture of a nuclear pressure vessel steel. Metall. Mater. Trans. A 1983, 14, 2277–2287. [Google Scholar] [CrossRef]
- Mudry, F. A local approach to cleavage fracture. Nucl. Eng. Des. 1987, 105, 65–76. [Google Scholar] [CrossRef]
- Pineau, A. Development of the local approach to fracture over the past 25 years: Theory and applications. Int. J. Fract. 2006, 138, 139–166. [Google Scholar] [CrossRef]
- Ruggieri, C.; Dodds, R.H., Jr. An engineering methodology for constraint corrections of elastic–plastic fracture toughness—Part I: A review on probabilistic models and exploration of plastic strain effects. Eng. Fract. Mech. 2015, 134, 368–390. [Google Scholar] [CrossRef]
- Meshii, T. Characterization of fracture toughness based on yield stress and successful application to construct a lower-bound fracture toughness master curve. Eng. Fail. Anal. 2020, 116, 104713. [Google Scholar] [CrossRef]
- ASTM 1820-20b. Standard Test Method for Measurement of Fracture Toughness; American Society for Testing and Materials: Philadelphia, PA, USA, 2020. [Google Scholar]
- Lazzarin, P.; Campagnolo, A.; Berto, F. A comparison among some recent energy-and stress-based criteria for the fracture assessment of sharp V-notched components under Mode I loading. Theor. Appl. Fract. Mech. 2014, 71, 21–30. [Google Scholar] [CrossRef]
- Campagnolo, A.; Berto, F.; Leguillon, D. Fracture assessment of sharp V-notched components under Mode II loading: A comparison among some recent criteria. Theor. Appl. Fract. Mech. 2016, 85, 217–226. [Google Scholar] [CrossRef]
- Berto, F.; Lazzarin, P. A review of the volume-based strain energy density approach applied to V-notches and welded structures. Theor. Appl. Fract. Mech. 2009, 52, 183–194. [Google Scholar] [CrossRef]
- Berto, F.; Lazzarin, P. Recent developments in brittle and quasi-brittle failure assessment of engineeringmaterials by means of local approaches. Mater. Sci. Eng. R 2014, 75, 1–48. [Google Scholar] [CrossRef]
- Lazzarin, P.; Berto, F. Some expressions for the strain energy in a finite volume surrounding the root of blunt V-notches. Int. J. Fract. 2005, 135, 161–185. [Google Scholar] [CrossRef]
- Niu, L.S.; Chehimi, C.; Pluvinage, G. Stress field near a large blunted V notch and application of the concept of notch stress intensity factor to the fracture of very brittle materials. Eng. Fract. Mech. 1994, 49, 325–335. [Google Scholar]
- Pluvinage, G. Fatigue and fracture emanating from notch; the use of the notch stress intensity factor. Nucl. Eng. Des. 1998, 185, 173–184. [Google Scholar] [CrossRef]
- Torabi, A.R.; Berto, F.; Campagono, A. Elastic-plastic fracture analysis of notched Al 7075-T6 plates by means of the local energy combined with the equivalent material concept. Phys. Mesomech. 2016, 19, 204–214. [Google Scholar] [CrossRef]
- Torabi, A.R. Estimation of tensile load-bearing capacity of ductile metallic materials weakened by a V-notch: The equivalent material concept. Mater. Sci. Eng. A 2012, 536, 249–255. [Google Scholar] [CrossRef]
- Ibáñez-Gutiérrez, F.T.; Cicero, S.; Carrascal, I.A.; Procopio, I. Effect of fibre content and notch radius in the fracture behaviour of short glass fibre reinforced polyamide 6: An approach from the Theory of Critical Distances. Compos. Part B Eng. 2016, 94, 299–311. [Google Scholar] [CrossRef]
- Schindler, H.J.; Kalkhof, D.; Viehrig, H.W. Effect of notch acuity on the apparent fracture toughness. Eng. Fract. Mech. 2014, 129, 26–37. [Google Scholar] [CrossRef]
- Creager, M.; Paris, C. Elastic field equations for blunt cracks with reference to stress corrosion cracking. Int. J. Fract. 1967, 3, 247–252. [Google Scholar] [CrossRef]
- Pluvinage, G.; Azari, Z.; Kadi, N.; Dlouhý, I.; Kozák, V. Effect of ferritic microstructure on local damage zone distance associated with fracture near notch. Theor. Appl. Fract. Mech. 1999, 31, 149–156. [Google Scholar] [CrossRef]
- Pluvinage, G.; Capelle, J. On characteristic lengths used in notch fracture mechanics. Int. J. Fract. 2014, 187, 187–197. [Google Scholar] [CrossRef]
- Kirk, M.T. The Technical Basis for Application of the Master Curve to the Assessment of Nuclear Reactor Pressure Vessel Integrity; Division of Engineering Office of Nuclear Regulatory Research; U.S. Nuclear Regulatory Commission: Washington, DC, USA, 2002. [Google Scholar]
- Wallin, K. Optimized Estimations of the Weibull Distribution Parameters; Research Reports 604; VTT: Espoo, Finland, 1989. [Google Scholar]
- Nevalainen, M.; Dodds, R.H. Numerical investigation on 3D constraint effects on brittle fracture in SE(B) and C(T) specimens. Int. J. Fract. 1995, 74, 131–161. [Google Scholar] [CrossRef]
- Ruggieri, C.; Dodds, R.H.; Wallin, K. Constraint effects on Reference Temperature, to, for ferritic steels in the transition region. Eng. Fract. Mech. 1998, 60, 19–36. [Google Scholar] [CrossRef]








Publisher’s Note: MDPI stays neutral with regard to jurisdictional claims in published maps and institutional affiliations. |
© 2021 by the authors. Licensee MDPI, Basel, Switzerland. This article is an open access article distributed under the terms and conditions of the Creative Commons Attribution (CC BY) license (https://creativecommons.org/licenses/by/4.0/).
Share and Cite
Cicero, S.; Arrieta, S. Dealing with the Fracture Ductile-to-Brittle Transition Zone of Ferritic Steels Containing Notches: On the Applicability of the Master Curve. Metals 2021, 11, 691. https://doi.org/10.3390/met11050691
Cicero S, Arrieta S. Dealing with the Fracture Ductile-to-Brittle Transition Zone of Ferritic Steels Containing Notches: On the Applicability of the Master Curve. Metals. 2021; 11(5):691. https://doi.org/10.3390/met11050691
Chicago/Turabian StyleCicero, Sergio, and Sergio Arrieta. 2021. "Dealing with the Fracture Ductile-to-Brittle Transition Zone of Ferritic Steels Containing Notches: On the Applicability of the Master Curve" Metals 11, no. 5: 691. https://doi.org/10.3390/met11050691
APA StyleCicero, S., & Arrieta, S. (2021). Dealing with the Fracture Ductile-to-Brittle Transition Zone of Ferritic Steels Containing Notches: On the Applicability of the Master Curve. Metals, 11(5), 691. https://doi.org/10.3390/met11050691

