Numerical 3D Finite Element Assessment of Bending Moment-Resisting Frame Equipped with Semi-Disconnected Steel Plate Shear Wall and Yielding Plate Connection
Abstract
1. Introduction
2. Materials and Methods
2.1. Introducing the Connection
2.2. Finite Elements Modeling and Validation
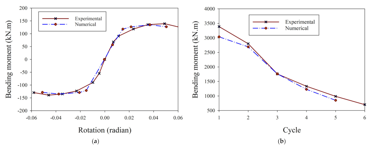
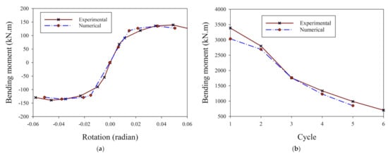
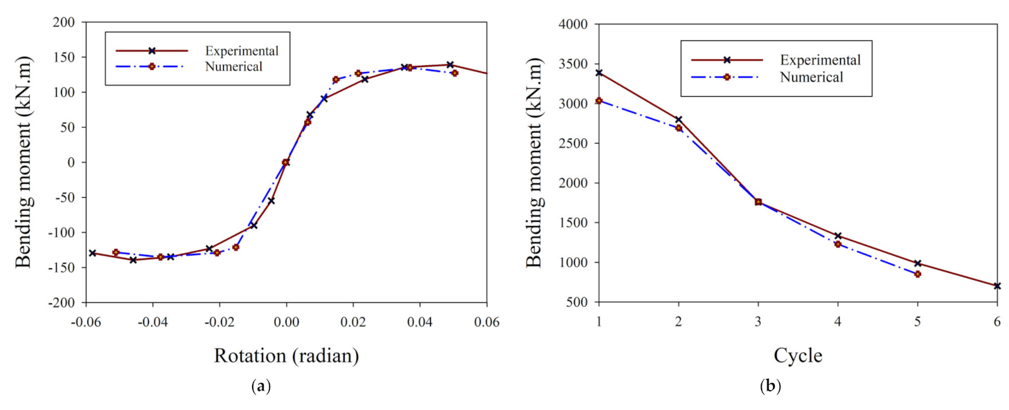
2.2.1. First Part of Validation
2.2.2. Second Part of Validation
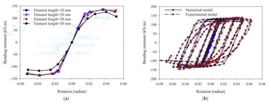
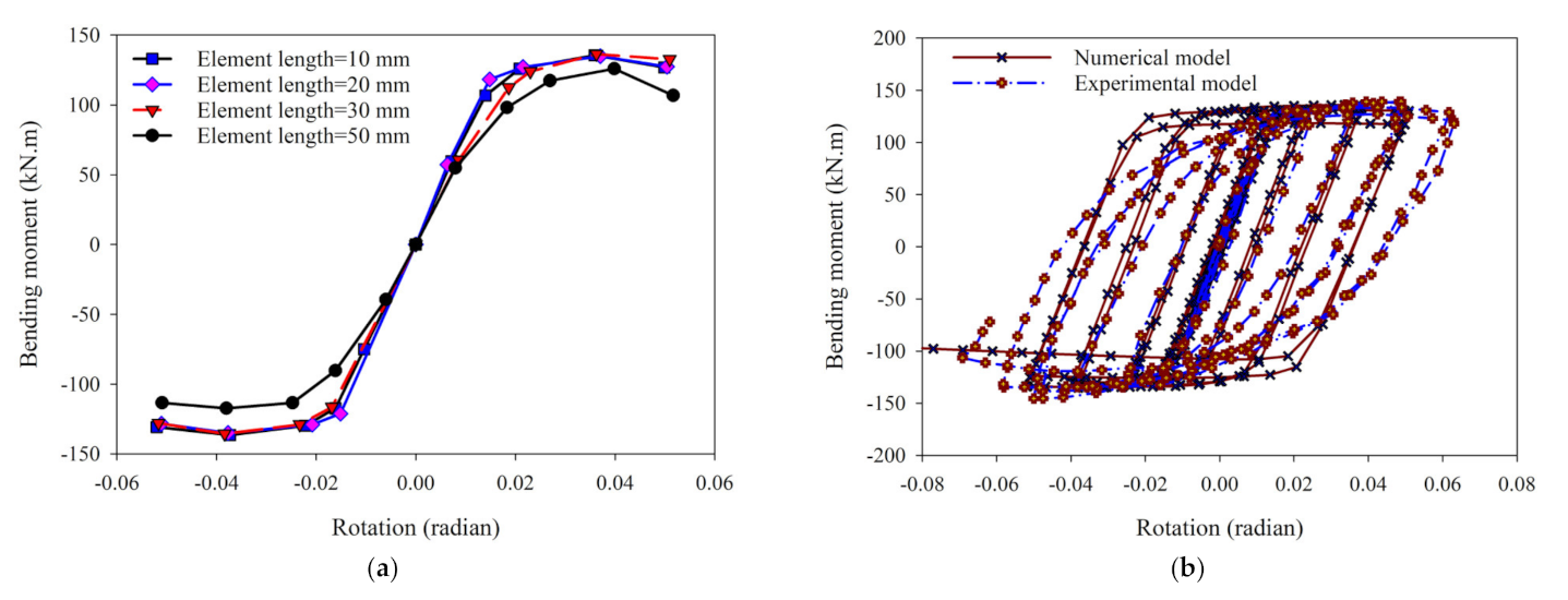
Specifications of Elements and Sensitivity Analysis
Initial Imperfection
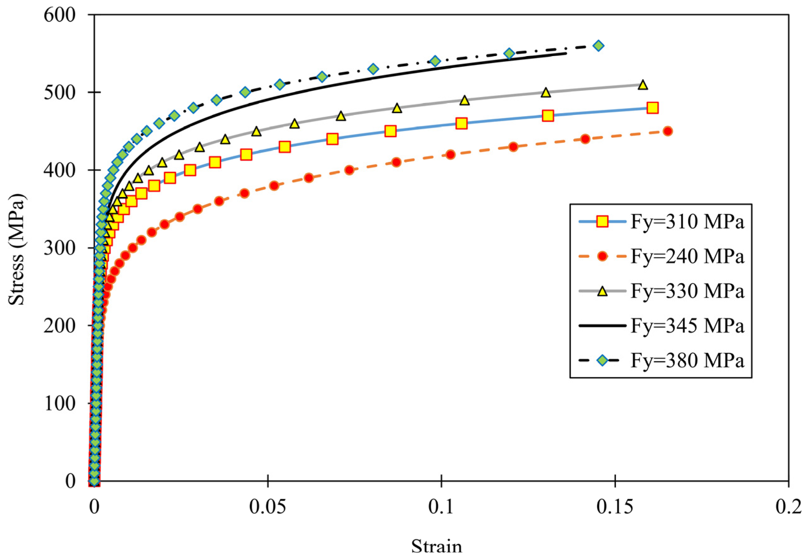
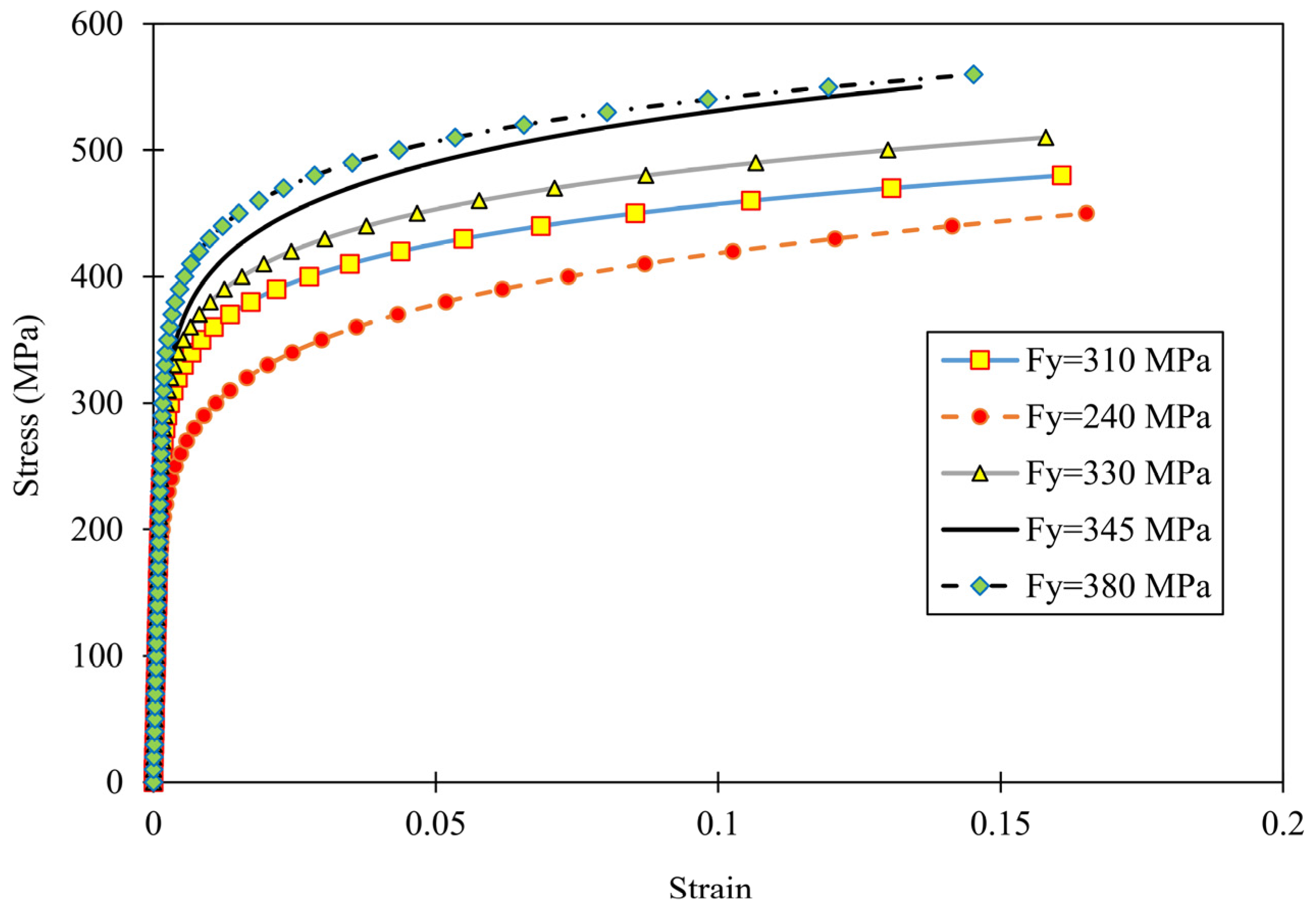
Materials Constitutive Model
Comparing Numerical and Validation Models Results
3. Results
3.1. Investigating Adequacy and Adjustments in Original Model
3.2. Lateral Stiffness Effect
3.3. Effect of Connection Plate Thickness
3.4. Effects of Free Length
3.5. Effects of the Ratio of Plastic Bending Moment
3.6. Suggesting Steel Wall Shear Capacity Formula
4. Conclusions
- 1.
- The numerical model was validated using eight experimental specimens of SPSW considering materials’ different mechanical specifications, different number of floors, and shear and flexural yield modes. The difference between the numerical model and experimental specimens was achieved to be less than 7% in terms of load-bearing capacity.
- 2.
- Using an absorber connection plate and the existence of a narrow gap between the SPSW and VBE resulted in the development of a plastic hinge in the panel zone and acted as a fuse.
- 3.
- By using connection plate and vertical edge stiffeners, numerical models were able to provide elastic stiffness and capacity equal to an experimental specimen of the direct beam to column joint, which in turn caused that the columns are exposed to limited axial forces and bending moments and remain in an elastic region without deformation.
- 4.
- Using vertical side stiffeners increases the bearing capacity and energy absorption in the normal SPSW, which has a narrow gap to the columns. The load-bearing capacity and initial stiffness in the modified model increased by 80% and 50%, respectively.
- 5.
- The best performance of the connection plate was observed for a plate with a thickness of 26 mm. The load-bearing capacity, energy absorption, and elastic stiffness increased approximately 2, 2.5, and 3.3 times, respectively, as the plate thickness increased (from 6.5 to 26 mm).
- 6.
- The ratio of free length to thickness of the PMC requirement can be incorporated to a Lfp/tp of 7.696. In addition, by increasing the bending moment capacity ratio over than one, yielding of the beam occurred. In other words, all inelastic deformation is concentrated in the PMC for the ratio below one, and the other structural members are maintained in an elastic state.
- 7.
- By removing peripheral elements share, the expressions and formulations given in the AISC provide a conservative estimation of the tension field. According to the formulas, a 28° angle is indicated, whilst the angle observed by experimental studies and the herein numerical studies was between 30 and 35°.
Author Contributions
Funding
Institutional Review Board Statement
Informed Consent Statement
Data Availability Statement
Conflicts of Interest
References
- Basler, K.; Thürlimann, B. Strength of plate girders in bending (Lehigh University, Fritz Engineering Laboratory). J. Struct. Div. 1960, 87, 153–184. [Google Scholar] [CrossRef]
- American Institute of Steel Construction. ANSI/AISC 341-05, Seismic Provisions for Structural Steel Buildings; American Institute of Steel Construction Inc. (AISC, Inc.): Chicago, IL, USA, 2005. [Google Scholar]
- Canadian Standards Association. Limit States Design of Steel Structures (CSA-S16-01); Canadian Standards Association (CSA): Mississauga, ON, Canada, 2001. [Google Scholar]
- Federal Emergency Management Agency. NEHRP Recommended Provisions for Seismic Regulations for New Buildings and Other Structures; FEMA, 2003. Available online: https://www.nehrp.gov/library/ (accessed on 1 February 2021).
- Wagner, H. Flat Sheet Metal Girders with Very Thin Webs, Part III: Sheet Metal Girders with Spars Resistant to Bending-The Stress in Uprights-Diagonal Tension Fields; National Advisory Committee for Aeronautics: Washington, DC, USA, 1931. Available online: http://hdl.handle.net/2060/19930094810 (accessed on 1 February 2021).
- Timler, P.A.; Kulak, G.L. Experimental Study of Steel Plate Shear Walls; Structural Engineering Report No. 114; Dept. of Civil Engineering, The University of Alberta: Edmonton, AB, Canada, 1983. [Google Scholar] [CrossRef]
- Driver, R.G. Seismic Behavior of Steel Plate Shear Walls. Ph.D. Thesis, Dept. of Civil, and Environmental Engineering, University of Alberta, Edmonton, AB, Canada, 1997. [Google Scholar] [CrossRef]
- Lubell, A.S. Performance of Unstiffened Steel Plate Shear Walls under Cyclic Quasi-Static Loading. Master’s Thesis, Department of Civil Engineering, University of British Columbia, Vancouver, BC, Canada, 1997. [Google Scholar] [CrossRef]
- Vian, D.; Bruneau, M.; Tsai, K.-C.; Lin, Y.-C. Special perforated steel plate shear walls with reduced beam section anchor beams. I: Experimental investigation. J. Struct. Eng. 2009, 135, 211–220. [Google Scholar] [CrossRef]
- Purba, R.; Bruneau, M. Finite-element investigation and design recommendations for perforated steel plate shear walls. J. Struct. Eng. 2009, 135, 1367–1376. [Google Scholar] [CrossRef]
- Sabouri-Ghomi, S.; Asad Sajjadi, S.R. Experimental and theoretical studies of steel shear walls with and without stiffeners. J. Constr. Steel Res. 2012, 75, 152–159. [Google Scholar] [CrossRef]
- Hosseinzadeh, S.A.A.; Tehranizadeh, M. Behavioral characteristics of code designed steel plate shear wall systems. J. Constr. Steel Res. 2012, 99, 72–84. [Google Scholar] [CrossRef]
- Machaly, E.B.; Safar, S.S.; Amer, M.A. Numerical investigation on ultimate shear strength of steel plate shear walls. Thin-Walled Struct. 2014, 84, 78–90. [Google Scholar] [CrossRef]
- Du, Y.; Hao, J.; Yu, J.; Yu, H.; Deng, B.; Lv, D.; Liang, Z. Seismic performance of a repaired thin steel plate shear wall structure. J. Constr. Steel Res. 2018, 151, 194–203. [Google Scholar] [CrossRef]
- Qu, B.; Bruneau, M.; Lin, C.-H.; Tsai, K.-C. Testing of full-scale two-story steel plate shear wall with reduced beam section connections and composite floors. J. Struct. Eng. 2008, 134, 364–373. [Google Scholar] [CrossRef]
- Sabouri-Ghomi, S.; Ventura, C.E.; Kharrazi, M.H. Shear analysis and design of ductile steel plate walls. J. Struct. Eng. 2005, 131, 878–889. [Google Scholar] [CrossRef]
- Hitaka, T.; Matsui, C. Experimental study on steel shear wall with slits. J. Struct. Eng. 2003, 129, 586–595. [Google Scholar] [CrossRef]
- American Institute of Steel Construction. ANSI/AISC 341-10, Seismic Provisions for Structural Steel Buildings; American Institute of Steel Construction Inc. (AISC, Inc.): Chicago, IL, USA, 2010. [Google Scholar]
- American Institute of Steel Construction. ANSI/AISC 360-16, Specification for Structural Steel Buildings; American Institute of Steel Construction Inc. (AISC, Inc.): Chicago, IL, USA, 2016. [Google Scholar]
- Eatherton, M. Design and construction of steel plate shear walls. In Proceedings of the Eighth US National Conference on Earthquake Engineering, San Francisco, CA, USA, 18–22 April 2006; Available online: https://eatherton.cee.vt.edu/publications (accessed on 1 February 2021).
- Shi, Y.; Astaneh-Asl, A. Lateral stiffness of steel shear wall systems. In Proceedings of the Structures Congress 2008: Crossing Borders, Vancouver, BC, Canada, 24–26 April 2008; pp. 1–10. [Google Scholar] [CrossRef]
- Zhao, Q.; Astaneh-Asl, A. Experimental and analytical studies of a steel plate shear wall system. In Proceedings of the Structures Congress 2008: Crossing Borders, Vancouver, BC, Canada, 24–26 April 2008; pp. 1–10. [Google Scholar] [CrossRef]
- Li, C.-H.; Tsai, K.-C.; Lin, C.-H.; Chen, P.-C. Cyclic tests of four two-story narrow steel plate shear walls. Part 2: Experimental results and design implications. Earthq. Eng. Struct. Dyn. 2010, 39, 801–826. [Google Scholar] [CrossRef]
- Nie, J.; Fan, J.; Liu, X.; Huang, Y. Comparative study on steel plate shear walls used in a high-rise building. J. Struct. Eng. 2013, 139, 85–97. [Google Scholar] [CrossRef]
- ABAQUS, Version 6.14 Documentation; Dassault Systemes Simulia Corporation: Providence, RI, USA, 2014; Available online: http://130.149.89.49:2080/v6.14/ (accessed on 1 February 2021).
- Horne, M.R.; Morris, L.J. Plastic Design of Low-Rise Frames; MIT Press: Cambridge, MA, USA, 1983; Available online: https://mitpress.mit.edu/books/plastic-design-low-rise-frames (accessed on 1 February 2021).
- Sabouri-Ghomi, S.; Roberts, T.M. Nonlinear dynamic analysis of steel plate shear walls including shear and bending deformations. Eng. Struct. 1992, 14, 309–317. [Google Scholar] [CrossRef]
- Guo, B.; Gu, Q.; Liu, F. Experimental behavior of stiffened and unstiffened end-plate connections under cyclic loading. J. Struct. Eng. 2006, 132, 1352–1357. [Google Scholar] [CrossRef]
- Ebadi-Jamkhaneh, M.; Kafi, M.A. Experimental and numerical study of octagonal composite column subject to various loading. Period. Polytech. Civ. 2018, 62, 413–422. [Google Scholar] [CrossRef]
- Koloo, F.A.; Badakhshan, A.; Fallahnejad, H.; Jamkhaneh, M.E.; Ahmadi, M. Investigation of proposed concrete filled steel tube connections under reversed cyclic loading. Int. J. Steel Struct. 2018, 18, 163–177. [Google Scholar] [CrossRef]
- Park, H.-G.; Kwack, J.-H.; Jeon, S.-W.; Kim, W.-K.; Choi, I.-R. Framed steel plate wall behavior under cyclic lateral loading. J. Struct. Eng. 2007, 133, 378–388. [Google Scholar] [CrossRef]
- Jamkhaneh, M.E.; Ahmadi, M.; Sadeghian, P. Simplified relations for confinement factors of partially and highly confined areas of concrete in partially encased composite columns. Eng. Struct. 2020, 208, 110303. [Google Scholar] [CrossRef]
- Alinia, M.M.; Sarraf Shirazi, R. On the design of stiffeners in steel plate shear walls. J. Constr. Steel Res. 2009, 65, 2069–2077. [Google Scholar] [CrossRef]
- Ramberg, W.; Osgood, W.R. Description of Stress-Strain Curves by Three Parameters. 1943. Available online: http://hdl.handle.net/2060/19930081614 (accessed on 1 February 2021).
- Menegotto, M.; Pinto, P.E. Method of analysis for cyclically loaded RC plane frames including changes in geometry and non-elastic behavior of elements under combined normal force and bending. In Proceedings of the of IABSE Symposium on Resistance and Ultimate Deformability of Structures Acted on by Well-Defined Repeated Loads, Lisbon, Portugal, 2–5 September 1973; Volume 11, pp. 15–22. [Google Scholar] [CrossRef]
- Qian, X.; Astaneh-Asl, A. Development of a high-performance steel plate shear wall system. IJEIE 2016, 1, 57–80. Available online: https://escholarship.org/uc/item/16t3r6qk (accessed on 1 February 2021). [CrossRef]
- Choi, I.-R.; Park, H.-G. Steel plate shear walls with various infill plate designs. J. Struct. Eng. 2009, 135, 785–796. [Google Scholar] [CrossRef]
- Thorburn, L.J.; Montgomery, C.J.; Kulak, G.L. Analysis of Steel Plate SHEAR Walls; Structural Engineering Report No. 107; Dept. of Civil Engineering, The University of Alberta: Edmonton, AB, Canada, 1983. [Google Scholar] [CrossRef]
- Vatansever, C.; Yardimci, N. Experimental investigation of thin steel plate shear walls with different infill-to-boundary frame connections. Steel Compos. Struct. 2011, 11, 251–271. [Google Scholar] [CrossRef]
















| Ref. | Specimen Name | Fyp (MPa) | Fu (MPa) | Fy (MPa) | tcw (mm) | tcf (mm) | hc (mm) | wcf (mm) | tp (mm) | tbw (mm) | tbf (mm) | hb (mm) | wbf (mm) |
|---|---|---|---|---|---|---|---|---|---|---|---|---|---|
| Park et al. [31] | SC2T | 240 | 450 | 240 | 20 | 20 | 250 | 250 | 2 | 16 | 16 | 200 | 200 |
| SC4T | 330 | 510 | 330 | 20 | 20 | 250 | 250 | 4 | 16 | 16 | 200 | 200 | |
| SC6T | 330 | 510 | 330 | 20 | 20 | 250 | 250 | 6 | 16 | 16 | 200 | 200 | |
| Vian et al. [9] | S2, P, CR | 165 | 550 | 345 | 13 | 19.2 | 470 | 190 | 2.6 | 10 | 19.2 | 466 | 190 |
| Lubell [8] | SPSW2 | 320 | 555 | 380 | 4.3 | 6.6 | 76 | 59 | 1.5 | 4.3 | 6.6 | 76 | 59 |
| No. | Number of Points | Number of Elements | Elapsed Time (s) | Element Quality | Error Average | ||||
|---|---|---|---|---|---|---|---|---|---|
| Standard Deviation | Average | Base Shear | Roof Displacement | Max. Stress | Max. Displacement | ||||
| 1 | 3467 | 3276 | 343 | 0.1642 | 0.9134 | 0.32% | −0.13% | −9.94% | −2.34% |
| 2 | 8643 | 8307 | 649 | 0.0685 | 0.9632 | 0.11% | 0.33% | −4.03% | −2.84% |
| 3 | 10,645 | 9892 | 890 | 0.113 | 0.9601 | 0.22% | 0.21% | −0.05% | −1.33% |
| 4 | 13,659 | 13,489 | 1876 | 0.0369 | 0.9844 | - | - | - | - |
| Parameter | Model | Lubell [8] | Vian et al. [9] | Park et al. [31] | ||||
|---|---|---|---|---|---|---|---|---|
| SPSW2 | S2 | CR | P | SC6T | SC4T | SC2T | ||
| Elastic stiffness (kN/mm) | Experimental | 47.8 | 255.2 | 285.2 | 203.2 | 158.4 | 140.8 | 92.3 |
| Numerical | 44.5 | 253.4 | 293.2 | 215.3 | 165.5 | 137.3 | 96.8 | |
| Difference (%) | −6.9 | −0.7 | +2.8 | +5.9 | +4.5 | −2.5 | +4.8 | |
| Maximum load (kN) | Experimental | 250 | 2091 | 2063 | 1772 | 3063 | 2485 | 1682 |
| Numerical | 241 | 2019 | 2134 | 1859 | 3100 | 2531 | 1653 | |
| Difference (%) | −3.6 | −3.4 | +3.4 | +4.9 | +1.2 | +1.8 | −1.7 | |
Publisher’s Note: MDPI stays neutral with regard to jurisdictional claims in published maps and institutional affiliations. |
© 2021 by the authors. Licensee MDPI, Basel, Switzerland. This article is an open access article distributed under the terms and conditions of the Creative Commons Attribution (CC BY) license (https://creativecommons.org/licenses/by/4.0/).
Share and Cite
Salimi, S.M.; Rahimi, S.; Hoseinzadeh, M.; Kontoni, D.-P.N.; Ebadi-Jamkhaneh, M. Numerical 3D Finite Element Assessment of Bending Moment-Resisting Frame Equipped with Semi-Disconnected Steel Plate Shear Wall and Yielding Plate Connection. Metals 2021, 11, 604. https://doi.org/10.3390/met11040604
Salimi SM, Rahimi S, Hoseinzadeh M, Kontoni D-PN, Ebadi-Jamkhaneh M. Numerical 3D Finite Element Assessment of Bending Moment-Resisting Frame Equipped with Semi-Disconnected Steel Plate Shear Wall and Yielding Plate Connection. Metals. 2021; 11(4):604. https://doi.org/10.3390/met11040604
Chicago/Turabian StyleSalimi, Seyed Morteza, Sepideh Rahimi, Mohamad Hoseinzadeh, Denise-Penelope N. Kontoni, and Mehdi Ebadi-Jamkhaneh. 2021. "Numerical 3D Finite Element Assessment of Bending Moment-Resisting Frame Equipped with Semi-Disconnected Steel Plate Shear Wall and Yielding Plate Connection" Metals 11, no. 4: 604. https://doi.org/10.3390/met11040604
APA StyleSalimi, S. M., Rahimi, S., Hoseinzadeh, M., Kontoni, D.-P. N., & Ebadi-Jamkhaneh, M. (2021). Numerical 3D Finite Element Assessment of Bending Moment-Resisting Frame Equipped with Semi-Disconnected Steel Plate Shear Wall and Yielding Plate Connection. Metals, 11(4), 604. https://doi.org/10.3390/met11040604

