Characterization of Cold-Spray Coatings on Fiber-Reinforced Polymers through Nanoindentation Tests
Abstract
1. Introduction
2. Material and Methods
- hc is the depth of the contact of the indenter with the test piece at the maximum load.
- Ap (hc) is the projected area of contact of the indenter at distance hc from the tip. The function is determined by a calibration of the indenter tip.
- is a geometric factor depending on the diamond shape (circular: β = 1, triangular: β = 1.034, square: β = 1.012).
- S is the contact stiffness.
3. Results and Discussion
4. Conclusions
- For both CFPP and GFPP substrates, better results were obtained when spraying ductile aluminum particles, whereas steel particles remained undeformed after the deposition, hindering the anchoring of the coating in the substrate.
- Confocal analyses showed that uncoated samples were characterized by lower values of roughness compared to coated samples, due to the non-homogeneous nature of the coating. The high roughness of coated specimens affected the nanoindentations results, which presented high scatter factors.
- It was possible to observe an increase in mechanical properties, in terms of hardness and elastic modulus, of the coated samples compared to the bare ones. This increment was more evident for the aluminum-double-pass-coated samples, due to the thicker metallic layer. As for the steel-coated laminates, an overall reduction of the properties was evidenced due to the worse anchoring of the particles on the substrate.
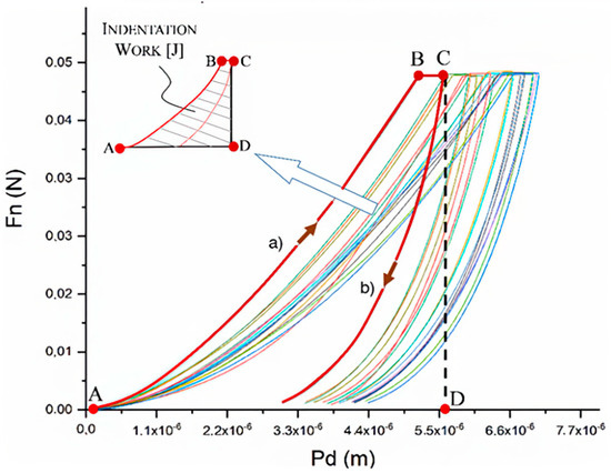
- Observing the force-versus-penetration depth curves, it could be noticed that for bare samples the obtained curves tended to overlap due to the high repeatability of the results. Conversely, coated specimens portrayed different shapes of the loading portion of the indentation curves depending on the sprayed material, number of passes, and the areas where the tests were performed.
- Four different shapes of the loading portions of the indentation curves have been identified, and a correlation between the loading curve morphology and the elastic modulus and hardness values have been found.
- -
- A new mathematical model to describe and interpret the data should be proposed; it is evident that these samples (made of a PMC substrate and cold-spray coating) deserve an ad hoc mathematical approach;
- -
- The results of the nanoindentations tests should be compared with the results of adhesion tests; this to further investigate the link between the nanoindentations curves and the phenomena ruling the adhesion;
- -
- The nanoindentation procedure itself may be customized for these samples, and some variations may be suggested;
- -
- Definitely much more experimental data must be produced to address all the above points.
Author Contributions
Funding
Informed Consent Statement
Data Availability Statement
Acknowledgments
Conflicts of Interest
References
- Yao, S.-S.; Jin, F.-L.; Rhee, K.Y.; Hui, D.; Park, S.-J. Recent advances in carbon-fiber-reinforced thermoplastic composites: A review. Compos. Part B Eng. 2018, 142, 241–250. [Google Scholar] [CrossRef]
- Pitarresi, G. The future use of structural composite materials in the automotive industry. Artic. Int. J. Veh. Des. 2007, 44, 211–232. [Google Scholar] [CrossRef]
- Che, H.; Chu, X.; Vo, P.; Yue, S. Metallization of Various Polymers by Cold Spray. J. Therm. Spray Technol. 2018, 27, 169–178. [Google Scholar] [CrossRef]
- Wu, Z.; Shi, Y.; Xie, H.; Chen, Y.; Zhang, J.; Xu, J.; Chen, H. Surface modification of polymers by low temperature Plasma techniques. Surf. Eng. 1995, 11, 53–56. [Google Scholar] [CrossRef]
- Cruz, D.; Garrido, M.Á.; Rico, Á.; Múnez, C.J.; Poza, P. Wear resistance of cold sprayed Al alloys for aeronautical repairs. Surf. Eng. 2019, 35, 295–303. [Google Scholar] [CrossRef]
- Raoelison, R.N.; Verdy, C.; Liao, H. Cold gas dynamic spray additive manufacturing today: Deposit possibilities, technological solutions and viable applications. Mater. Des. 2017, 133, 266–287. [Google Scholar] [CrossRef]
- Moridi, A.; Hassani-Gangaraj, S.M.; Guagliano, M.; Dao, M. Cold spray coating: Review of material systems and future perspectives. Surf. Eng. 2014, 30, 369–395. [Google Scholar] [CrossRef]
- Viscusi, A.; Astarita, A.; Della Gatta, R.; Rubino, F. A perspective review on the bonding mechanisms in cold gas dynamic spray. Surf. Eng. 2019, 35, 743–771. [Google Scholar] [CrossRef]
- Małachowska, A.; Winnicki, M.; Stachowicz, M.; Korzeniowski, M. Metallisation of polycarbonates using a low pressure cold spray method. Surf. Eng. 2018, 34, 251–258. [Google Scholar] [CrossRef]
- Ganesan, A.; Yamada, M.; Fukumoto, M. Cold spray coating deposition mechanism on the thermoplastic and thermosetting polymer substrates. J. Therm. Spray Technol. 2013, 22, 1275–1282. [Google Scholar] [CrossRef]
- Jeandin, M.; Rolland, G.; Descurninges, L.L.; Berger, M.H. Which powders for cold spray? Surf. Eng. 2014, 30, 291–298. [Google Scholar] [CrossRef]
- Goyal, T.; Walia, R.S.; Sidhu, T.S. Effect of Parameters on Coating Density for Cold Spray Process. Mater. Manuf. Process. 2012, 27, 193–200. [Google Scholar] [CrossRef]
- Arabgol, Z.; Villa Vidaller, M.; Assadi, H.; Gärtner, F.; Klassen, T. Influence of thermal properties and temperature of substrate on the quality of cold-sprayed deposits. Acta Mater. 2017, 127, 287–301. [Google Scholar] [CrossRef]
- Cruz, D.; Garrido, M.A.; Múnez, C.J.; Rico, A.; Poza, P. Erosion of cold sprayed aeronautical coatings. Surf. Eng. 2019, 35, 792–800. [Google Scholar] [CrossRef]
- Huang, G.; Wang, H.; Li, X.; Xing, L.; Zhou, J. Deposition efficiency of low pressure cold sprayed aluminum coating. Mater. Manuf. Process. 2018, 33, 1100–1106. [Google Scholar] [CrossRef]
- Bush, T.B.; Khalkhali, Z.; Champagne, V.; Schmidt, D.P.; Rothstein, J.P.; Champagne, V.; Schmidt, D.P.; Rothstein, J.P. Optimization of Cold Spray Deposition of High-Density Polyethylene Powders. J. Therm. Spray Technol. 2017, 26, 1548–1564. [Google Scholar] [CrossRef]
- Champagne, V.K.; Helfritch, D.J. Surface Engineering Mainstreaming cold spray-push for applications Mainstreaming cold spray-push for applications. Surf. Eng. 2014, 30, 396–403. [Google Scholar] [CrossRef]
- Assadi, H.; Gärtner, F.; Stoltenhoff, T.; Kreye, H. Bonding mechanism in cold gas spraying. Acta Mater. 2003, 51, 4379–4394. [Google Scholar] [CrossRef]
- Grujicic, M.; Zhao, C.L.; DeRosset, W.S.; Helfritch, D. Adiabatic shear instability based mechanism for particles/substrate bonding in the cold-gas dynamic-spray process. Mater. Des. 2004, 25, 681–688. [Google Scholar] [CrossRef]
- Sun, C.; Zhou, X.; Xie, C.; Liu, B. Investigating hard/soft combinations of cold spraying by Eulerian approach. Surf. Eng. 2020, 36, 1049–91057. [Google Scholar] [CrossRef]
- Archambault, G.; Jodoin, B.; Gaydos, S.; Yandouzi, M. Metallization of carbon fiber reinforced polymer composite by cold spray and lay-up molding processes. Surf. Coat. Technol. 2016, 300, 78–86. [Google Scholar] [CrossRef]
- Che, H.; Chu, X.; Vo, P.; Yue, S. Cold spray of mixed metal powders on carbon fibre reinforced polymers. Surf. Coat. Technol. 2017, 329, 232–243. [Google Scholar] [CrossRef]
- Viscusi, A.; Perna, A.S.; Astarita, A.; Boccarusso, L.; Caraviello, A.; Carrino, L.; Della Gatta, R.; Durante, M.; Sansone, R. Experimental Study of Cold Sprayed Metallic Coatings on Thermoplastic Matrix Composites. Key Eng. Mater. 2019, 813, 68–73. [Google Scholar] [CrossRef]
- Papa, I.; Russo, P.; Astarita, A.; Viscusi, A.; Perna, A.S.; Carrino, L.; Lopresto, V. Influence of the Metallic Cold Spray Deposition on the Low-Velocity Impact Behaviour of Composite Laminates. Key Eng. Mater. 2019, 813, 376–380. [Google Scholar] [CrossRef]
- Perna, A.S.; Viscusi, A.; Astarita, A.; Boccarusso, L.; Caraviello, A.; Carrino, L.; Durante, M.; Sansone, R. Experimental study of functionalized polymer matrix composite with multi-material metal coatings produced by means of cold spray technology. Proc. Key Eng. Mater. 2019, 813, 267–272. [Google Scholar] [CrossRef]
- Viscusi, A.; Antonucci, V.; Carrino, L.; Della Gatta, R.; Lopresto, V.; Papa, I.; Perna, A.S.; Ricciardi, M.R.; Astarita, A. Manufacturing of an innovative composite structure: Design, manufacturing and impact behaviour. Compos. Struct. 2020. [Google Scholar] [CrossRef]
- Che, H.; Vo, P.; Yue, S. Metallization of carbon fibre reinforced polymers by cold spray. Surf. Coat. Technol. 2017, 313, 236–247. [Google Scholar] [CrossRef]
- Giraud, D.; Borit, F.; Guipont, V.; Jeandin, M.; Malhaire, J.M. Metallization of a polymer using cold spray: Application to aluminum coating of polyamide 66. In Proceedings of the International Thermal Spray Conference and Exposition—Air, Land, Water and the Human Body: Thermal Spray Science and Applications (ITSC), Houston, TX, USA, 21–24 May 2012; pp. 265–270. [Google Scholar]
- Wang, Z.; Volinsky, A.A.; Gallant, N.D. Nanoindentation study of polydimethylsiloxane elastic modulus using berkovich and flat punch tips. J. Appl. Polym. Sci. 2015, 132. [Google Scholar] [CrossRef]
- Wang, X.; Xu, P.; Han, R.; Ren, J.; Li, L.; Han, N.; Xing, F.; Zhu, J. A review on the mechanical properties for thin film and block structure characterised by using nanoscratch test. Nanotechnol. Rev. 2019, 8, 628–644. [Google Scholar] [CrossRef]
- Dey, A.; Mukhopadhyay, A.K.; Gangadharan, S.; Sinha, M.K.; Basu, D.; Bandyopadhyay, N.R. Nanoindentation study of microplasma sprayed hydroxyapatite coating. Ceram. Int. 2009, 35, 2295–2304. [Google Scholar] [CrossRef]
- Oliver, W.C.; Pharr, G.M. An improved technique for determining hardness and elastic modulus using load and displacement sensing indentation experiments. J. Mater. Res. 1992, 7, 1564–1583. [Google Scholar] [CrossRef]
- Koivuluoto, H.; Vuoristo, P. Effect of powder type and composition on structure and mechanical properties of Cu + Al2O3 coatings prepared by using low-pressure cold spray process. J. Therm. Spray Technol. 2010, 19, 1081–1092. [Google Scholar] [CrossRef]
- Affi, J.; Okazaki, H.; Yamada, M.; Fukumoto, M. Fabrication of Aluminum Coating onto CFRP Substrate by Cold Spray. Mater. Trans. 2011, 52, 1759–1763. [Google Scholar] [CrossRef]
- Schmidt, T.; Gärtner, F.; Assadi, H.; Kreye, H. Development of a generalized parameter window for cold spray deposition. Acta Mater. 2006, 54, 729–742. [Google Scholar] [CrossRef]
- King, P.C.; Poole, A.J.; Horne, S.; de Nys, R.; Gulizia, S.; Jahedi, M.Z. Embedment of copper particles into polymers by cold spray. Surf. Coat. Technol. 2013, 216, 60–67. [Google Scholar] [CrossRef]
- Perna, A.S.; Viscusi, A.; Astarita, A.; Boccarusso, L.; Carrino, L.; Durante, M.; Sansone, R. Manufacturing of a Metal Matrix Composite Coating on a Polymer Matrix Composite Through Cold Gas Dynamic Spray Technique. J. Mater. Eng. Perform. 2019. [Google Scholar] [CrossRef]
- Standard Test Method for Indentation Hardness of Rigid Plastics by Means of a Barcol Impressor. Available online: https://www.astm.org/Standards/D2583.htm (accessed on 23 December 2020).
- Gibson, R.F. A review of recent research on nanoindentation of polymer composites and their constituents. Compos. Sci. Technol. 2014, 105, 51–65. [Google Scholar] [CrossRef]
- Chicot, D.; Puchi-Cabrera, E.S.; Aumaitre, R.; Bouscarrat, G.; Dublanche-Tixier, C.; Roudet, F.; Staia, M.H. Elastic modulus of TiHfCN thin films by instrumented indentation. Thin Solid Film. 2012, 522, 304–313. [Google Scholar] [CrossRef]
- Korsunsky, A.; Constantinescu, A. Work of indentation approach to the analysis of hardness and modulus of thin coatings. Mater. Sci. Eng. A 2006, 423, 28–35. [Google Scholar] [CrossRef]
- Deuschle, J. Mechanics of Soft Polymer Indentation. Ph.D. Thesis, Max-Planck-Institut für Metallforschung, Universität Stuttgart, Stuttgart, Germany, 2008. [Google Scholar]
- Lupoi, R.; O’Neill, W. Deposition of metallic coatings on polymer surfaces using cold spray. Surf. Coat. Technol. 2010, 205, 2167–2173. [Google Scholar] [CrossRef]











| CS Parameter | Used Value |
|---|---|
| Gun travel speed [mm/s] | 5 |
| Powder mass flow [rpm] | 5 |
| Inlet gas temperature [°C] | 160 |
| Inlet gas pressure [MPa] | 0.5 |
| SoD [mm] | 25 |
| Laminate | Substrate Material | Coating Material | Single or Double Pass (Average Coating Height [µm]) |
|---|---|---|---|
| CFPP | Carbon fabric+Polypropilene | -- | -- |
| CFPP-Al1 | Carbon fabric+Polypropilene | AlSi10Mg | Single pass (35) |
| CFPP-Al2 | Carbon fabric+Polypropilene | AlSi10Mg | Double pass (60) |
| CFPP-AISI1 | Carbon fabric+Polypropilene | AISI316L | Single pass (50) |
| CFPP-AISI2 | Carbon fabric+Polypropilene | AISI316L | Double pass (70) |
| GFPP | Glass fabric+Polypropilene | -- | -- |
| GFPP-Al1 | Glass fabric+Polypropilene | AlSi10Mg | Single pass (35) |
| GFPP-Al2 | Glass fabric+Polypropilene | AlSi10Mg | Double pass (60) |
| GFPP-AISI1 | Glass fabric+Polypropilene | AISI316L | Single pass (50) |
| GFPP-AISI2 | Glass fabric+Polypropilene | AISI316L | Double pass (70) |
Publisher’s Note: MDPI stays neutral with regard to jurisdictional claims in published maps and institutional affiliations. |
© 2021 by the authors. Licensee MDPI, Basel, Switzerland. This article is an open access article distributed under the terms and conditions of the Creative Commons Attribution (CC BY) license (http://creativecommons.org/licenses/by/4.0/).
Share and Cite
Perna, A.S.; Astarita, A.; Carlone, P.; Guthmann, X.; Viscusi, A. Characterization of Cold-Spray Coatings on Fiber-Reinforced Polymers through Nanoindentation Tests. Metals 2021, 11, 331. https://doi.org/10.3390/met11020331
Perna AS, Astarita A, Carlone P, Guthmann X, Viscusi A. Characterization of Cold-Spray Coatings on Fiber-Reinforced Polymers through Nanoindentation Tests. Metals. 2021; 11(2):331. https://doi.org/10.3390/met11020331
Chicago/Turabian StylePerna, Alessia Serena, Antonello Astarita, Pierpaolo Carlone, Xavier Guthmann, and Antonio Viscusi. 2021. "Characterization of Cold-Spray Coatings on Fiber-Reinforced Polymers through Nanoindentation Tests" Metals 11, no. 2: 331. https://doi.org/10.3390/met11020331
APA StylePerna, A. S., Astarita, A., Carlone, P., Guthmann, X., & Viscusi, A. (2021). Characterization of Cold-Spray Coatings on Fiber-Reinforced Polymers through Nanoindentation Tests. Metals, 11(2), 331. https://doi.org/10.3390/met11020331

