Effect of Titanium Modification on Microstructure and Impact Toughness of High-Boron Multi-Component Alloy
Abstract
:1. Introduction
2. Experimental Process
2.1. Experimental Materials
2.2. Analysis and Characterization
3. Results and Discussion
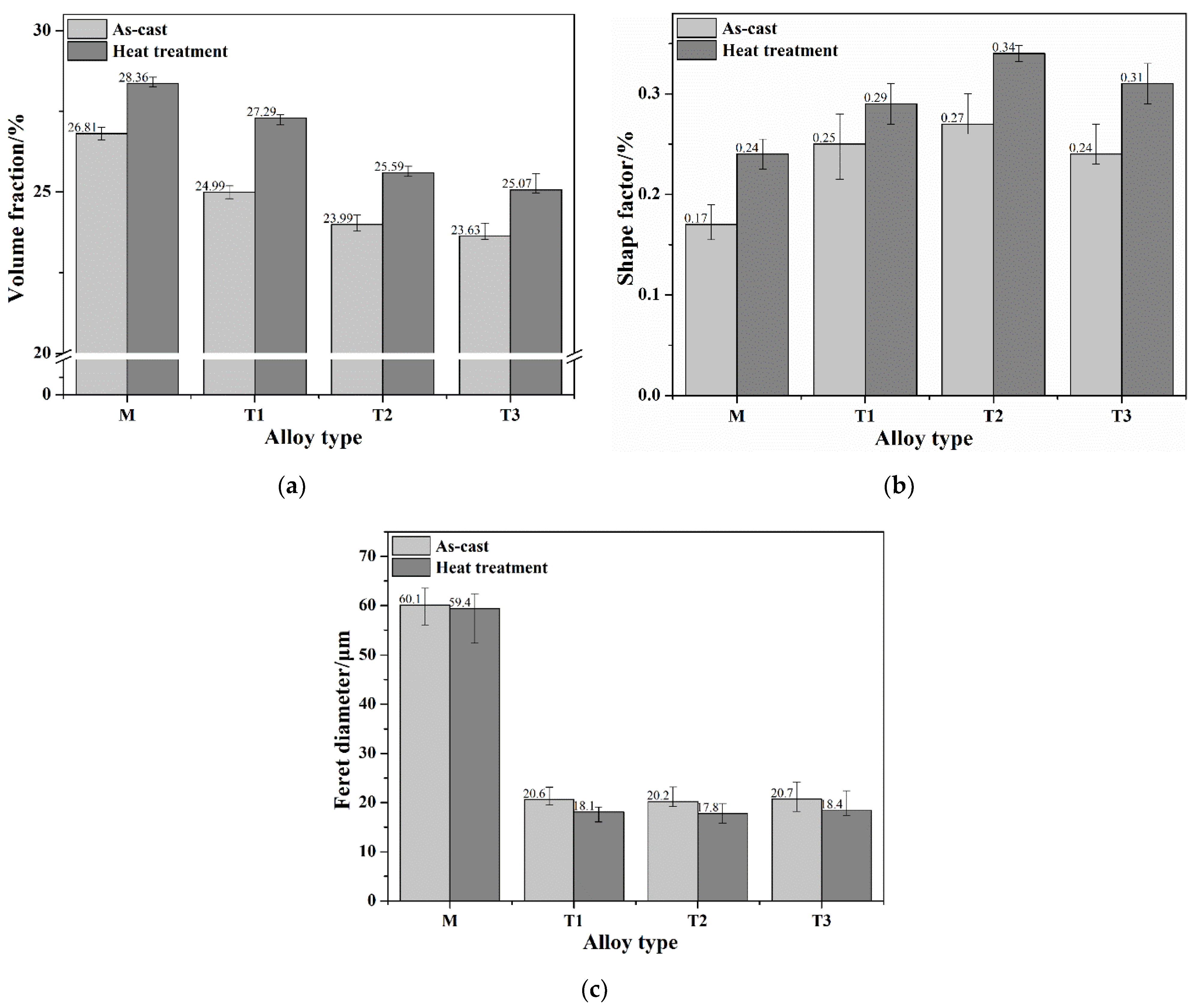
3.1. Effect of Titanium Concentration on Microstructure of High-Boron Multi-Component Alloy
3.2. Analysis of Titanium-Modifying Mechanisms in High-Boron Multi-Component Alloy
3.3. Effect of Ti Content on Mechanical Properties of High-Boron Multi-Component Alloy
4. Conclusions
- The as-cast microstructure of high-boron multi-component alloys is composed of ferrite, pearlite and M2(B,C) (M = Fe, V, Mo, Cr, Mn) (eutectic borocarbide). The un-modified borocarbide presents the structure of a continuous network. In Ti-modified high-boron multi-component alloy, the borocarbide becomes isolated, fine and spherical.
- In liquid high-boron multi-component alloys with titanium addition, TiC particles precipitate first before solidification, which distribute dispersedly in a solidification microstructure. With the precipitation of TiC particles, eutectic borocarbide can precipitate from where TiC particles appear. The orientation relationship of borocarbide M2(B,C) and TiC is (110)γ//(110)M2(B,C).
- Matrix of modified high-boron multi-component alloy is strengthened by titanium addition, the hardness of which in modified alloys is higher than that of unmodified alloys. Toughness of high-boron multi-component alloy is significantly improved by titanium modification, which keeps rising when titanium content increases. Modified alloy T3, which contains 0.6wt.% titanium, shows the best property. Fracture mechanism of high-boron multi-component alloy is mainly brittle with ductile fracture. It is the strengthening of the matrix and the improvement in the shape andsize of borocarbide that make the toughness increase.
Author Contributions
Funding
Conflicts of Interest
References
- Zamri, W.; Kosashi, P.; Tieu, A.; Zhu, Q.; Zhu, H. Variations in the microstructures and mechanical properties of the oxide layer on high speed steel hot rolling work rolls. J. Mater. Pro. Technol. 2012, 212, 2597–2608. [Google Scholar] [CrossRef]
- Andersson, M.; Finnstrom, R.; Nylén, T. Introduction of enhanced indefinite chill and high speed steel rolls in European hot strip mills. Ironmak. Steelmak. 2004, 31, 383–389. [Google Scholar] [CrossRef]
- Wu, G.; Wang, Y. Fracture analysis of high chrominum cast iron roll on CSP mill. Adv. Mater. Res. 2012, 548, 538–543. [Google Scholar] [CrossRef]
- Spuzic, S.; Strafford, K.; Subramanian, C.; Savage, G. Wear of hot rolling mill rolls: An overview. Wear 1994, 176, 261–271. [Google Scholar] [CrossRef]
- Liu, D.; Liu, R.; Mei, Y.; Ma, Y.; Zhu, K. Microstructure and wear properties of Fe-15Cr-2.5Ti-2C-xB wt.% hardfacing alloys. Appl. Surf. Sci. 2013, 271, 253–259. [Google Scholar] [CrossRef]
- Guo, C.; Kelly, P. Boron solubility in Fe-Cr-B cast irons. Mater. Sci. Eng. 2003, A352, 40–45. [Google Scholar] [CrossRef]
- Zhang, Y.; Wang, L. Study on the effect of RE modification treatment on the high chromium cast iron. J. Harbin Univ. Sci. Tech. 2005, 10, 7–10. [Google Scholar]
- Ma, G.; Guo, E.; Wang, L. Study on the effect of RE-Mg modification treatment on the high chromium cast iron. J. Harbin Univ. Sci. Tech. 2005, 10, 33–36. [Google Scholar]
- Wei, S.; Zhu, J.; Xu, L.; Long, R. Effect of residual austenite on properties of high vanadium high speed steel. Trans. Mater. Heat Treat. 2005, 26, 44–47. [Google Scholar]
- Xu, L.; Xing, J.; Wei, S.; Zhang, Y.; Long, R. Investigation on wear behaviors of high-vanadium high speed steel compared with high-chromium cast iron under rolling contact condition. Mater. Sci. Eng. A 2006, 434, 63–70. [Google Scholar] [CrossRef]
- Ji, Y.; Li, Y.; Wei, S.; Long, R.; Xu, L. Influence of carbon content on properties of high-vanadium high-speed steel under dry sliding condition. J. Harbin Inst. Tech. 2006, 38, 116–119. [Google Scholar]
- Wang, Q.; Yang, D.; Long, R.; Wei, S. Investigation of the damage in high vanadium high speed steel and high chrome cast iron roll under the laboratory condition. Foundry 2005, 54, 570–574. [Google Scholar]
- Hwang, K.; Lee, S.; Lee, H. Effects of alloying elements on microstructure and fracture properties of cast high speed steel rolls Part I: Microstructural analysis. Mater. Sci. Eng. A 1998, 254, 282–295. [Google Scholar] [CrossRef]
- Xu, L.; Wei, S.; Long, R.; Ni, F.; Liu, Y.; Wang, S. Research on morphology and distribution of vanadium carbide in high vanadium high speed steel. Foundry 2003, 52, 1069–1073. [Google Scholar]
- Cao, Y.; Zhang, J.; Yin, F.; Liu, X. Microstructure and properties and its failure mechanism of high speed steel roll. Trans. Mater. Heat Treat. 2012, 33, 50–54. [Google Scholar]
- Liu, S.; Cheng, Y.; Long, R.; Wei, S.; Zhang, G. Research progress and prospect of wear-resistant Fe-B-C alloy. Foundry Technol. 2007, 28, 1526–1530. [Google Scholar]
- He, L.; Liu, Y.; Li, J.; Li, B. Effects of hot rolling and titanium content on the microstructure and mechanical properties of high boron Fe-B alloys. Mater. Des. 2012, 36, 88–93. [Google Scholar] [CrossRef]
- Lv, Z.; Fu, H.; Xing, J.; Ma, S. Microstructure and crystallography of borides and mechanical properties of Fe-B-C-Cr-Al alloys. J. Alloys Compd. 2016, 662, 54–62. [Google Scholar] [CrossRef]
- Fu, H.; Jiang, Z. A study of abrasion resistant cast Fe-B-C alloy. Acta Met. Sin. 2006, 42, 545–548. [Google Scholar]
- Song, X.; Liu, H.; Fu, H.; Xing, J. Effect of Boron concentration on microstructures and properties of high-Boron low-Carbon Ferro-matrix alloy. Foundry 2008, 57, 498–503. [Google Scholar]
- Astini, V.; Prasetyo, Y.; Baek, E. Effect of Boron Addition on the Microstructure and Mechanical Properties of 6.5% V-5% W High Speed Steel. Met. Mater. Int. 2012, 18, 923–931. [Google Scholar] [CrossRef]
- Kim, J.; Ko, K.; Noh, S.; Kim, G.; Kim, S. The effect of boron on the abrasive wear behavior of austenitic Fe-based hardfacing alloys. Wear 2009, 267, 1415–1419. [Google Scholar] [CrossRef]
- Fu, H. A study of microstructures and properties of cast Fe-B-C alloy. Foundry 2005, 54, 859–863. [Google Scholar]
- Kim, J.; Hong, S.; Park, H.; Kim, Y.; Park, G. Improving plasticity and strength of Fe-Nd-B ultrafine eutectic composite. Mater. Des. 2015, 76, 190–195. [Google Scholar] [CrossRef]
- Huang, Z.; Xing, J.; Guo, C. Improving fracture toughness and hardness of Fe2B in high boron white cast iron by chromium addition. Mater. Des. 2010, 31, 3084–3089. [Google Scholar] [CrossRef]
- Yuksel, N.; Sahin, S. Wear-behavior-hardness-microstructure relation of Fe-Cr-C and Fe-Cr-C-B based hardfacing alloys. Mater. Des. 2014, 58, 491–498. [Google Scholar] [CrossRef]
- Rottger, A.; Lentz, J.; Theisen, W. Boron alloyed Fe-Cr-C-B tool steels-Thermodynamic calculations and experimental validation. Mater. Des. 2015, 88, 420–429. [Google Scholar] [CrossRef]
- Sundeev, R.; Glezer, A.; Menushenkov, A.; Shalimova, A.; Chernysheva, O. Effect of high pressure torsion at different temperatures on the local atomic structure of amorphous Fe-Ni-B alloys. Mater. Des. 2017, 135, 77–83. [Google Scholar] [CrossRef]
- Gu, J.; Zhang, H.; Fu, H.; Lei, Y. Effect of Boron content on the structure and property of Fe-B-C alloy. Foundry Technol. 2011, 32, 1376–1379. [Google Scholar]
- Gui, Z.; Liang, W.; Liu, Y.; Zhang, Y. Thermo-mechanical behavior of the Al-Si alloy coated hot stamping boron steel. Mater. Des. 2014, 60, 26–33. [Google Scholar] [CrossRef]
- Saduman, S.; Ugur, S.; Cuma, B. The growth kinetics of borides formed on boronized AISI 4140 steel. Vacuum 2005, 77, 195–202. [Google Scholar]
- Ren, X.; Fu, H.; Xing, J.; Yang, Y.; Tang, S. Effect of boron concentration on microstructures and properties of Fe-B-C alloy steel. J. Mater. Res. 2017, 32, 3078–3088. [Google Scholar] [CrossRef]
- Lou, S.; Liu, G.; Fu, H. Effect of heat treatment on structure and property of B-bearing LAHSS. Foundry Technol. 2012, 33, 408–411. [Google Scholar]
- Yu, Z.; Fu, H.; Du, Z.; Li, P.; Lei, Y. Effect of quenching treatment on microstructure and property of high boron high speed steel roll. Trans. Mater. Heat Treat. 2013, 34, 138–142. [Google Scholar]
- Yi, D.; Xing, J.; Fu, H.; Zhang, Z.; Zhang, J.; Yang, C.; Ma, S.; Li, Y. Investigations on microstructures and three-body abrasive wear behaviors of Fe-B casting alloy containing cerium. Tribol. Lett. 2015, 58, 20–30. [Google Scholar] [CrossRef]
- Liu, Y.; Li, B.; Li, J.; He, L.; Gao, S.; Nieh, T.G. Effect of titanium on the ductilization of Fe-B alloys with high boron content. Mater. Lett. 2010, 64, 1299–1301. [Google Scholar] [CrossRef]
- Yi, D.; Xing, J.; Ma, S.; Fu, H.; Li, Y.; Chen, W.; Liu, Z. Effect of rare earth-aluminum additions on the microstructure of a semisolid low carbon Fe-B cast alloy. Mater. Sci. Technol. 2011, 27, 1518–1526. [Google Scholar] [CrossRef]
- Yi, D.; Xing, D.; Fu, H.; Ma, S.; Liu, Z. Effect of RE-Al additions and austenitising time on structural variations of medium carbon Fe-B alloy. Mater. Sci. Technol. 2010, 26, 849–857. [Google Scholar] [CrossRef]
- Yi, D.; Zhang, Z.; Fu, H.; Yang, C.; Ma, S.; Li, Y. A study of microstructures and toughness of Fe-B cast alloy containing rare earth. J. Mater. Eng. Perform. 2015, 24, 626–634. [Google Scholar] [CrossRef]
- Shi, X.; Jiang, Y.; Zhou, R. Effects of rare earth, titanium, and magnesium additions on microstructures and properties of high-boron medium-carbon alloy. J. Iron Steel Res. Int. 2016, 23, 1226–1233. [Google Scholar] [CrossRef]
- Li, X.; Hou, J.; Qu, Y.; Fu, H. A study of casting high-boron high-speed steel materials. Mater. Werkst. 2015, 46, 1029–1038. [Google Scholar] [CrossRef]
- Fu, H.; Liu, J.; Xing, J. Study on microstructure and properties of high speed steel roll modified by RE-Mg-Ti. J. Iron Steel Res. 2003, 15, 39–43. [Google Scholar]
- Zhang, X.; Wei, S.; Ni, F.; Long, R.; Ji, Y. Effect of rare earth modification on vanadium carbide morphology of high vanadium high speed steel. Foundry Technol. 2008, 29, 869–872. [Google Scholar]
- Fu, H.; Jiang, Z.; Li, M.; Zhang, Y.; Xing, J. Investigations on structure and performance of high speed steel roll modified by titanium additions. Foundry 2007, 56, 590–593. [Google Scholar]
- Zhou, X.; Yin, X.; Fang, F.; Jiang, J. Effect of calcium modification on the microstructures and properties of high speed steel. Adv. Mater. Res. 2011, 217–218, 457–462. [Google Scholar] [CrossRef]
- Qu, Y.; Xing, J.; Zhi, X.; Peng, J.; Fu, H. Effect of cerium on the as-cast microstructure of a hypereutectic high chromium cast iron. Mater. Lett. 2008, 62, 3024–3027. [Google Scholar] [CrossRef]
- Deng, X.; Yang, J. Effect of the multimodification by RE and Mg on the inclusions in SS400 steel. J. IMU Sci. Technol. 2008, 27, 227–231. [Google Scholar]
- Fu, H.; Xiao, Q.; Kuang, J.; Jiang, Z.; Xing, J. Effect of rare earth and titanium additions on the microstructures and properties of low carbon Fe-B cast steel. Mater. Sci. Eng. A 2007, 466, 160–165. [Google Scholar] [CrossRef]
- Zhi, X.; Xing, J.; Fu, H.; Xiao, B. Effect of niobium on the as-cast microstructure of hypereutectic high chromium cast iron. Mater. Lett. 2008, 62, 857–860. [Google Scholar] [CrossRef]
- Abdelaziz, S.; Megahed, G.; Mahallawi, E.; Ahmed, H. Control of calcium addition for improved cleanness of low C, Al killed steel. Ironmak. Steelmak. 2009, 36, 432–441. [Google Scholar] [CrossRef]
- Bedolla-Jacuinde, J.; Agullar, S.; Maldonado, C. Eutectic modification in a low-chromium white cast iron by a mixture of titanium, rare earths, and bismuth. J. Mater. Sci. Eng. Perform. 2005, 14, 301–306. [Google Scholar] [CrossRef]
- Chung, R.; Tang, X.; Li, D.; Hinckley, B.; Dolman, K. Effects of titanium addition on microstructure and wear resistance of hypereutectic high chromium cast iron Fe-25wt.%Cr-4wt.%C. Wear 2009, 267, 356–361. [Google Scholar] [CrossRef]
- Ren, X.; Fu, H.; Xing, J.; Tang, S.; Zhang, Q. Effect of calcium modification on solidification, heat treatment microstructure and toughness of high boron high speed steel. Mater. Res. Exp. 2019, 6, 1–13. [Google Scholar] [CrossRef]
- Ren, X.; Fu, H.; Xing, J.; Yi, Y. Effect of solidification rate on microstructure and toughness of Ca-Ti modified high boron high speed steel. Mater. Sci. Eng. A 2019, 742, 617–627. [Google Scholar] [CrossRef]
- Antoni-Zdziobek, A.; Gospodinova, M.; Bonnet, F.; Hodaj, F. Experimental determination of solid-liquid equilibria with reactive components: Example of Fe-Ti-B ternary system. J. Phase Equilib. Diff. 2014, 35, 701–710. [Google Scholar] [CrossRef]
- Fu, H.; Wu, Z.; Xing, J. Investigation of quenching effect on mechanical property and abrasive wear behavior of high boron cast steel. Mater. Sci. Technol. 2007, 23, 460–466. [Google Scholar] [CrossRef]
- Ye, D.; Hu, J. Practicable Manual of Inorganic Thermodynamic Data; Metallurgical Industry Press: Beijing, China, 1995. [Google Scholar]












| Alloy Symbol | M | T1 | T2 | T3 |
|---|---|---|---|---|
| Modifier content | 0.0 | 0.3 | 0.6 | 0.9 |
| Specimens | B | C | Cr | Mo | Al | Si | V | Mn | Ti | Fe |
|---|---|---|---|---|---|---|---|---|---|---|
| M | 1.95 | 0.38 | 5.87 | 3.86 | 0.85 | 0.88 | 0.85 | 0.46 | 0.00 | Bal. |
| T1 | 1.97 | 0.34 | 5.29 | 3.79 | 0.80 | 0.89 | 0.92 | 0.51 | 0.21 | Bal. |
| T2 | 1.96 | 0.36 | 5.12 | 3.85 | 0.86 | 0.96 | 0.91 | 0.52 | 0.41 | Bal. |
| T3 | 1.93 | 0.33 | 5.70 | 3.78 | 0.82 | 0.81 | 0.85 | 0.45 | 0.54 | Bal. |
| Si | Ti | Al | Mn | C | Fe |
|---|---|---|---|---|---|
| 2.0 | 68.0 | 4.5 | 2.5 | 0.2 | Bal. |
| Point Number | C | Cr | Mo | V | Mn | Ti | Fe |
|---|---|---|---|---|---|---|---|
| Point 1 | 54.95 | 0.27 | 0.92 | 2.79 | 0.05 | 40.13 | 0.89 |
| Phase Types | Space Group | a | b | c |
|---|---|---|---|---|
| TiC | Fm-3m | 0.433 | 0.433 | 0.433 |
| Austenite | Fm-3m | 0.357 | 0.357 | 0.357 |
| Fe2B | I4/mcm | 0.511 | 0.511 | 0.425 |
| Possible Relationship | δ/% |
|---|---|
| (110)TiC//(110)M2(B,C) | 9.3 |
| (100)TiC//(100)M2(B,C) | 36.2 |
| (100)TiC//(110)M2(B,C) | 23.8 |
| (111)TiC//(111)M2(B,C) | 24.5 |
| (111)TiC//(101)M2(B,C) | 29.1 |
| (111)TiC//(001)M2(B,C) | 20.6 |
| (100)TiC//(100)γ | 21.3 |
| (110)TiC//(110)γ | 21.3 |
| (111)TiC//(111)γ | 21.4 |
| (100)TiC//(110)γ | 12.5 |
| Hardness Types | M | T1 | T2 | T3 |
|---|---|---|---|---|
| Macrohardness after quenching/HRC | 60.6 | 64.6 | 64.9 | 62.0 |
| Macrohardness after quenching and tempering/HRC | 58.2 | 58.2 | 59.8 | 57.6 |
| Microhardness after quenching and tempering/HV | 448.9 | 468.7 | 467.6 | 484.2 |
Publisher’s Note: MDPI stays neutral with regard to jurisdictional claims in published maps and institutional affiliations. |
© 2021 by the authors. Licensee MDPI, Basel, Switzerland. This article is an open access article distributed under the terms and conditions of the Creative Commons Attribution (CC BY) license (http://creativecommons.org/licenses/by/4.0/).
Share and Cite
Ren, X.; Tang, S.; Fu, H.; Xing, J. Effect of Titanium Modification on Microstructure and Impact Toughness of High-Boron Multi-Component Alloy. Metals 2021, 11, 193. https://doi.org/10.3390/met11020193
Ren X, Tang S, Fu H, Xing J. Effect of Titanium Modification on Microstructure and Impact Toughness of High-Boron Multi-Component Alloy. Metals. 2021; 11(2):193. https://doi.org/10.3390/met11020193
Chicago/Turabian StyleRen, Xiangyi, Shuli Tang, Hanguang Fu, and Jiandong Xing. 2021. "Effect of Titanium Modification on Microstructure and Impact Toughness of High-Boron Multi-Component Alloy" Metals 11, no. 2: 193. https://doi.org/10.3390/met11020193
APA StyleRen, X., Tang, S., Fu, H., & Xing, J. (2021). Effect of Titanium Modification on Microstructure and Impact Toughness of High-Boron Multi-Component Alloy. Metals, 11(2), 193. https://doi.org/10.3390/met11020193

