Enhancement of Uniform Elongation by Temperature Change during Tensile Deformation in a 0.2C TRIP Steel
Abstract
1. Introduction
2. Experimental Procedures
3. Results and Discussion
3.1. Effect of Temperature on Tensile Properties in a 0.2C TRIP Steel
3.2. Mechanical Properties Obtained from Test A
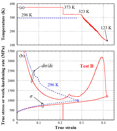
3.3. Enhancement of Uniform Elongation in Test B
4. Conclusions
- In the tensile tests, in which the test specimens were reloaded at lower temperatures after being unloaded once, the improvement of U.El was about 5% and almost independent of the reloading temperature. This is because a large amount of γR was transformed into α′ just after the reloading at lower temperatures.
- On the other hand, when the deformation temperature was decreased continuously during the tensile deformation, a very large U.El of 51% was obtained. This value was about 1.5 times larger than that obtained in the tensile test at room temperature.
- In terms of the DIMT behavior in the temperature change test, Vα′ was smaller in the early stage of deformation and larger after ε of 0.25 compared with that in the tensile test at 296 K. Almost all of γR was transformed into α′ at the maximum load point. The transformation rate gradually increased and the maximum transformation rate of about 0.4 was indicated at ε of about 0.2.
- The neutron diffraction experiments in the temperature change test revealed that not only the DIMT behavior but also the deformation behavior of γ, α, and α′ are important factors in the TRIP effect. The α phase contributed to maintain high strength, instead of α′ at a larger ε in addition to the DIMT behavior, and played an important role in the enhancement of U.El.
Author Contributions
Funding
Data Availability Statement
Acknowledgments
Conflicts of Interest
References
- Angel, T. Formation of martensite in austenitic stainless steels. J. Iron Steel Inst. 1954, 177, 165–174. [Google Scholar]
- Bouquerel, J.; Verbeken, K.; De Cooman, B.V. Microstructure-based model for the static mechanical behaviour of multiphase steels. Acta Mater. 2006, 54, 1443–1456. [Google Scholar] [CrossRef]
- Blonde, R.; Jimenez-Melero, E.; Zhao, L.; Wright, J.P.; Bruck, E.; van der Zwaag, S.; van Dijk, N.H. High-energy X-ray diffraction study on the temperature-dependent mechanical stability of retained austenite in low-alloyed TRIP steels. Acta Mater. 2012, 60, 565–577. [Google Scholar] [CrossRef]
- Tsuchida, N.; Tanaka, T.; Toji, Y. Analysis of tensile deformation behavior by in situ neutron diffraction experiments of a 1 GPa-grade TRIP steel with high elongation. ISIJ Int. 2020, 60, 1329–1337. [Google Scholar] [CrossRef]
- Sugimoto, K.; Kobayashi, M.; Hashimoto, S. Ductility and strain-induced transformation in a high-strength transformation-induced plasticity-aided dual-phase steel. Metall. Trans. A 1992, 23, 3085–3091. [Google Scholar] [CrossRef]
- Varshney, A.; Sangal, S.; Kundu, S.; Mondal, K. Super strong and highly ductile low alloy multiphase steels consisting of bainite, ferrite and retained austenite. Mater. Des. 2016, 95, 75–88. [Google Scholar] [CrossRef]
- Harjo, S.; Tsuchida, N.; Abe, J.; Gong, W. Martensite phase stress and the strengthening mechanism in TRIP steel by neutron diffraction. Sci. Rep. 2017, 7, 15149. [Google Scholar] [CrossRef] [PubMed]
- Tsuchida, N.; Tomota, Y. A micromechanic modeling for transformation induced plasticity in steels. Mater. Sci. Eng. A 2000, 285, 345–352. [Google Scholar] [CrossRef]
- Matsumura, O.; Sakuma, Y.; Ishii, Y.; Zhao, J. Effect of retained austenite on formability of high strength sheet steels. ISIJ Int. 1992, 32, 1110–1116. [Google Scholar] [CrossRef]
- Matsumura, O.; Sakuma, Y.; Takechi, H. TRIP and its kinetics aspects in austempered 0.4C-1.5Si-0.8Mn steel. Scr. Mater. 1987, 21, 1301–1306. [Google Scholar] [CrossRef]
- Mukherjee, M.; Mohanty, O.N.; Hashimoto, S.; Hojo, T.; Sugimoto, K. Strain-induced transformation behaviour of retained austenite and tensile properties of TRIP-aided steels with different matrix microstructure. ISIJ Int. 2006, 46, 316–324. [Google Scholar] [CrossRef]
- Tsuchida, N.; Osaki, K. Effect of strain rate on TRIP effect in a 0.2C-1.5Si-1.2Mn steel. Tetsu-to-Hagane 2013, 99, 524–531. (In Japanese) [Google Scholar] [CrossRef][Green Version]
- Tamura, I. Deformation-induced martensitic transformation and transformation-induced plasticity in steels. Met. Sci. 1982, 16, 245–253. [Google Scholar] [CrossRef]
- Tsuchida, N.; Morimoto, Y.; Tonan, T.; Shibata, Y.; Fukaura, K.; Ueji, R. Stress-induced martensitic transformation behaviors at various temperatures and their TRIP effects in SUS304 metastable austenitic stainless steel. ISIJ Int. 2011, 51, 124–129. [Google Scholar] [CrossRef]
- Tsuchida, N.; Yamaguchi, Y.; Morimoto, Y.; Tonan, T.; Takagi, Y.; Ueji, R. Effects of temperature and strain rate on TRIP effect in SUS301L metastable austenitic stainless steel. ISIJ Int. 2013, 53, 1881–1887. [Google Scholar] [CrossRef]
- Tomota, Y.; Tokuda, H.; Adachi, Y.; Wakita, M.; Minakawa, N.; Moriai, A.; Morii, Y. Tensile behavior of TRIP-aided multi-phase steels studied by in situ neutron diffraction. Acta Mater. 2004, 52, 5737–5745. [Google Scholar] [CrossRef]
- Yamashita, T.; Morooka, S.; Harjo, S.; Kawasaki, T.; Koga, N.; Umezawa, O. Role of retained austenite in low alloy steel at low temperature monitored by neutron diffraction. Scripta Mater. 2020, 117, 6–10. [Google Scholar] [CrossRef]
- Tsuchida, N.; Nagahisa, N.; Harjo, S. Room-temperature creep tests under constant load on a TRIP-aided multi-microstructure steel. Mater. Sci. Eng. A 2017, 700, 631–636. [Google Scholar] [CrossRef]
- Lamari, M.; Allain, S.Y.P.; Geandier, G.; Hell, J.-C.; Perlade, A.; Zhu, K. In situ determination of phase stress states in an unstable medium manganese duplex steel studied by high-energy X-ray diffraction. Metals 2020, 10, 1335. [Google Scholar]
- Tsuchida, N.; Tanaka, T.; Toji, Y. Effect of deformation temperature on mechanical properties in 1-GPa-grade TRIP steels with different retained austenite morphologies. ISIJ Int. 2021, 61, 564–571. [Google Scholar] [CrossRef]
- Saleh, A.A.; Pereloma, E.V.; Clausen, B.; Brown, D.W.; Tomé, C.N.; Gazder, A.A. On the evolution and modelling of lattice strains during the cyclic loading of TWIP steel. Acta Mater. 2013, 61, 5247–5262. [Google Scholar] [CrossRef][Green Version]
- Han, H.N.; Suh, D.-W. A model for transformation plasticity during bainite transformation of steel under external stress. Acta Mater. 2003, 51, 4907–4917. [Google Scholar] [CrossRef]
- Tsuchida, N.; Ueji, R.; Inoue, T. Effect of temperature on stress–strain curve in SUS316L metastable austenitic stainless steel studied by in situ neutron diffraction experiments. ISIJ Int. 2021, 61, 632–640. [Google Scholar] [CrossRef]
- Vasiliakos, A.N.; Papamantellos, K.; Haidemenopoulos, G.N.; Bleck, W. Experimental determination of the stability of retained austenite in low alloy TRIP steels. Steel Res. 1999, 70, 466–471. [Google Scholar] [CrossRef]
- Bolling, G.F.; Richman, R.H. The plastic deformation-transformation of paramagnetic F.C.C. Fe-Ni-C alloys. Acta Metall. 1970, 18, 673–681. [Google Scholar] [CrossRef]
- Tsuchida, N.; Ishimaru, E.; Kawa, M. Role of deformation-induced martensite in TRIP effect of metastable austenitic steels. ISIJ Int. 2021, 61, 556–563. [Google Scholar] [CrossRef]
- Jacques, P.J.; Furnemont, Q.; Godet, S.; Pardoen, T.; Conlon, K.T.; Delannay, F. Micromechanical characterisation of TRIP-assisted multiphase steels by in situ neutron diffraction. Philos. Mag. 2006, 86, 2371–2392. [Google Scholar] [CrossRef]
- Muránsky, O.; Šittner, P.; Zrník, J.; Oliver, E.C. In situ neutron diffraction investigation of the collaborative deformation–transformation mechanism in TRIP-assisted steels at room and elevated temperatures. Acta Mater. 2008, 56, 3367–3379. [Google Scholar] [CrossRef]
- Dutta, A.; Ronge, D.; Sandlöbes, S.; Raabe, D. Strain partitioning and strain localization in medium manganese steels measured by in situ microscopic digital image correlation. Materialia 2019, 5, 100252. [Google Scholar] [CrossRef]
- Harjo, S.; Kubota, S.; Gong, W.; Kawasaki, T.; Gao, S. Neutron diffraction monitoring of ductile cast iron under cyclic tension–compression. Acta Mater. 2020, 196, 584–594. [Google Scholar] [CrossRef]
- Tomota, Y.; Lukáš, P.; Neov, D.; Harjo, S.; Abe, Y.R. In situ neutron diffraction during tensile deformation of a ferrite-cementite steel. Acta Mater. 2003, 51, 805–817. [Google Scholar] [CrossRef]
- Asoo, K.; Tomota, Y.; Harjo, S.; Okitsu, Y. Tensile behavior of a TRIP-aided ultra-fine grained steel studied by neutron diffraction. ISIJ Int. 2011, 51, 145–150. [Google Scholar] [CrossRef]















| Temperature (K) | (a) Tensile Test | (b) Test A | ||
|---|---|---|---|---|
| k | q | k | q | |
| 123 | 6.42 × 104 | 2.132 | 3.14 × 108 | 9.54 |
| 173 | – | – | 2.90 × 1010 | 12.2 |
| 243 | 2.61 × 105 | 3.495 | – | – |
| 273 | 197.2 | 1.091 | 2.89 × 106 | 6.83 |
| 296 | 17.87 | 0.740 | 30.12 | 1.195 |
| 323 | 80.97 | 1.291 | – | – |
| 373 | 56.32 | 1.328 | 56.32 | 1.328 |
| 473 | 32.17 | 1.154 | – | – |
| Condition | k | q | |
|---|---|---|---|
| Tensile test | 296 K | 77.9 | 1.26 |
| 245 K | 425.9 | 1.31 | |
| 188 K | 120.1 | 0.884 | |
| 128 K | 15,407 | 1.88 | |
| Test B | 2493.4 | 3.1 | |
| Stress | (a) Test B | (b) Tensile Test at 296 K |
|---|---|---|
| Vα σα | 895 | 687 |
| Vγ σγ | 0 | 55 |
| Vα′ σα′ | 265 | 155 |
| Calculated σ by Equation (5) | 1160 | 897 |
| Measured σ | 1182 | 960 |
Publisher’s Note: MDPI stays neutral with regard to jurisdictional claims in published maps and institutional affiliations. |
© 2021 by the authors. Licensee MDPI, Basel, Switzerland. This article is an open access article distributed under the terms and conditions of the Creative Commons Attribution (CC BY) license (https://creativecommons.org/licenses/by/4.0/).
Share and Cite
Tsuchida, N.; Harjo, S. Enhancement of Uniform Elongation by Temperature Change during Tensile Deformation in a 0.2C TRIP Steel. Metals 2021, 11, 2053. https://doi.org/10.3390/met11122053
Tsuchida N, Harjo S. Enhancement of Uniform Elongation by Temperature Change during Tensile Deformation in a 0.2C TRIP Steel. Metals. 2021; 11(12):2053. https://doi.org/10.3390/met11122053
Chicago/Turabian StyleTsuchida, Noriyuki, and Stefanus Harjo. 2021. "Enhancement of Uniform Elongation by Temperature Change during Tensile Deformation in a 0.2C TRIP Steel" Metals 11, no. 12: 2053. https://doi.org/10.3390/met11122053
APA StyleTsuchida, N., & Harjo, S. (2021). Enhancement of Uniform Elongation by Temperature Change during Tensile Deformation in a 0.2C TRIP Steel. Metals, 11(12), 2053. https://doi.org/10.3390/met11122053
