In Situ Evaluation of the Influence of Interstitial Oxygen on the Elastic Modulus of La2NiO4
Abstract
:1. Introduction
2. Materials and Methods
2.1. Sample Preparation
2.2. In Situ Measurements of the Elastic Moduli and Internal Friction
3. Results and Discussion
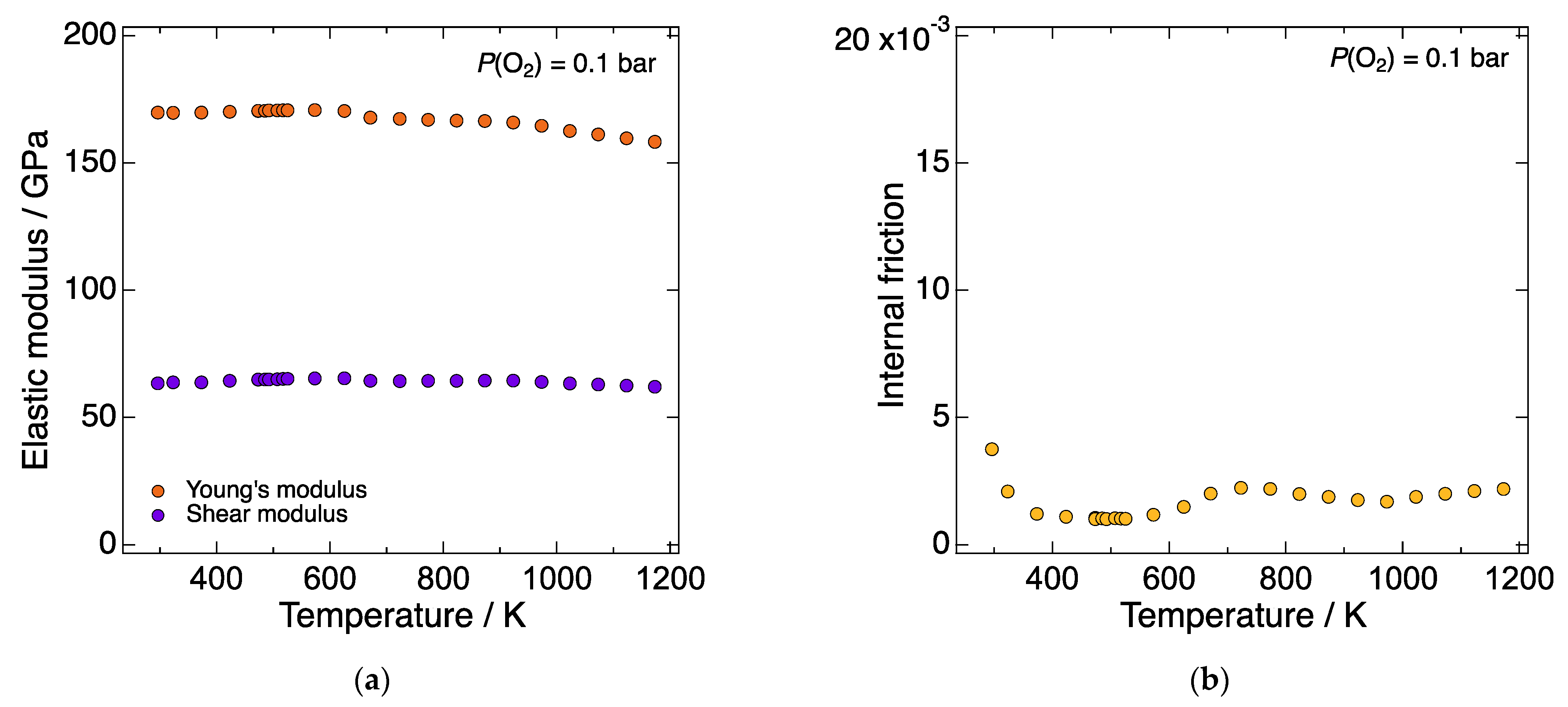
3.1. Temperature and Oscillation Amplitude Dependence of the Elastic Moduli and Internal Friction of LN214
3.2. P(O2) Dependence of the Elastic Moduli and Internal Friction of LN214
3.3. Influence of Interstitial Oxygen Formation on the Elastic Moduli of LN214
4. Conclusions
Supplementary Materials
Author Contributions
Funding
Institutional Review Board Statement
Informed Consent Statement
Data Availability Statement
Conflicts of Interest
References
- Elmer, T.; Worall, M.; Wu, S.; Riffat, S.B. Fuel cell technology for domestic built environment applications: State of-the-art review. Renew. Sustain. Energy Rev. 2015, 42, 913–931. [Google Scholar] [CrossRef]
- Mahato, N.; Banerjee, A.; Gupta, A.; Omar, S.; Balani, K. Progress in material selection for solid oxide fuel cell technology: A review. Prog. Mater Sci. 2015, 72, 141–337. [Google Scholar] [CrossRef]
- Duan, C.; Huang, J.; Sullivan, N.; O’Hayre, R. Proton-conducting oxides for energy conversion and storage. Appl. Phys. Rev. 2020, 7, 011314. [Google Scholar] [CrossRef]
- Singh, P.; Minh, N.Q. Solid oxide fuel cells: Technology status. Int. J. Appl. Ceram. Technol. 2005, 1, 5–15. [Google Scholar] [CrossRef]
- Malzbender, J.; Steinbrech, R.W.; Singheiser, L. A review of advanced techniques for characterising SOFC behaviour. Fuel Cells 2009, 9, 785–793. [Google Scholar] [CrossRef]
- Atkinson, A. Chemically-induced stresses in gadolinium-doped ceria solid oxide fuel cell electrolytes. Solid State Ion. 1997, 95, 249–258. [Google Scholar] [CrossRef]
- Nakajo, A.; Wuillemin, Z.; Van Herle, J.; Favrat, D. Simulation of thermal stresses in anode-supported solid oxide fuel cell stacks. Part I: Probability of failure of the cells. J. Power Sources 2009, 193, 203–215. [Google Scholar] [CrossRef]
- Muramatsu, M.; Yashiro, K.; Kawada, T.; Tarada, K. Numerical simulations of non-stationary distributions of electrochemical potentials in SOFC. Eng. Comput. 2017, 34, 1956–1988. [Google Scholar] [CrossRef]
- Sato, K.; Hashida, T.; Yashiro, K.; Yugami, H.; Kawada, T.; Mizusaki, J. Mechanical Damage Evaluation of Solid Oxide Fuel Cells under Simulated Operating Conditions. J. Ceram. Soc. Jpn. 2005, 113, 562–564. [Google Scholar] [CrossRef] [Green Version]
- Muramatsu, M.; Sato, M.; Terada, K.; Watanabe, S.; Yashiro, K.; Kawada, T.; Iguchi, F.; Yokokawa, H. Shape deformation analysis of anode-supported solid oxide fuel cell by electro-chemo-mechanical simulation. Solid State Ion. 2018, 319, 194–202. [Google Scholar] [CrossRef]
- Lein, H.L.; Andersen, Ø.S.; Vullum, P.E.; Lara-Curzio, E.; Holmestad, R.; Einarsrud, M.-A.; Grande, T. Mechanical properties of mixed conducting La0.5Sr0.5Fe1−xCoxO3−δ (0 ≤ x ≤ 1) materials. J. Solid State Electrochem. 2006, 10, 635–642. [Google Scholar] [CrossRef]
- Huang, B.X.; Malzbender, J.; Steinbrech, R.W.; Singheiser, L. Mechanical properties of La0.58Sr0.4Co0.2Fe0.8O3−δ membranes. Solid State Ionics 2009, 180, 241–245. [Google Scholar] [CrossRef]
- Kushi, T.; Sato, K.; Unemoto, A.; Hashimoto, S.; Amezawa, K.; Kawada, T. Elastic modulus and internal friction of SOFC electrolytes at high temperatures under controlled atmospheres. J. Power Sources 2011, 196, 7989–7993. [Google Scholar] [CrossRef]
- Araki, W.; Malzbender, J. Ferroelastic deformation of La0.58Sr0.4Co0.2Fe0.8O3−δ under uniaxial compressive loading. J. Eur. Ceram. Soc. 2013, 33, 805–812. [Google Scholar] [CrossRef]
- Kimura, Y.; Yashiro, K.; Hashimoto, S.-I.; Kawada, T. Ferroelastic Domain Reorientations and Its Influence on Mechanical Properties of La0.6Sr0.4Co0.2Fe0.8O3−δ. J. Electrochem. Soc. 2014, 161, F3079–F3083. [Google Scholar] [CrossRef]
- Kimura, Y.; Tolchard, J.; Einarsrud, M.-A.; Grande, T.; Amezawa, K.; Fukuhara, M.; Hashimoto, S.-I.; Kawada, T. Anelastic properties of La0.6Sr0.4Co1−yFeyO3−δ at high temperatures. Solid State Ion. 2014, 262, 337–339. [Google Scholar] [CrossRef] [Green Version]
- Xu, Z.C.; Chen, C.C.; Ying, X.N. Oxygen vacancies and their effects on tilting transition in perovskite (La1−xPrx)1/3Sr2/3FeO3−δ investigated by mechanical spectroscopy. Appl. Phys. Lett. 2014, 105, 061905. [Google Scholar] [CrossRef]
- Kimura, Y.; Kushi, T.; Unemoto, A.; Amezawa, K.; Kawada, T. Influence of Aging on Mechanical Properties of Yttria-Doped Zirconia. Ceramics 2018, 1, 287–303. [Google Scholar] [CrossRef] [Green Version]
- Duncan, K.L.; Wang, Y.; Bishop, S.R.; Ebrahimi, F.; Wachsman, E.D. Role of point defects in the physical properties of fluorite oxides. J. Am. Ceram. Soc. 2006, 89, 3162–3166. [Google Scholar] [CrossRef]
- Wang, Y.; Duncan, K.; Wachsman, E.D.; Ebrahimi, F. The effect of oxygen vacancy concentration on the elastic modulus of fluorite-structured oxides. Solid State Ion. 2007, 178, 53–58. [Google Scholar] [CrossRef]
- Amezawa, K.; Kushi, T.; Sato, K.; Unemoto, A.; Hashimoto, S.-I.; Kawada, T. Elastic moduli of Ce0.9Gd0.1O2−δ at high temperatures under controlled atmospheres. Solid State Ion. 2011, 198, 32–38. [Google Scholar] [CrossRef]
- Kimura, Y.; Kushi, T.; Hashimoto, S.-I.; Amezawa, K.; Kawada, T. Influences of temperature and oxygen partial pressure on mechanical properties of La0.6Sr0.4Co1−yFeyO3−δ. J. Am. Ceram. Soc. 2012, 95, 2608–2613. [Google Scholar] [CrossRef]
- Takeda, Y.; Kanno, R.; Sakano, M.; Yamamoto, O.; Takano, M.; Bando, Y.; Akinaga, H.; Takita, K.; Goodenough, J.B. Crystal chemistry and physical properties of La2−xSrxNiO4 (0 ≤ x ≤ 1.6). Mater. Res. Bull. 1990, 25, 293–306. [Google Scholar] [CrossRef]
- Nakamura, T.; Yashiro, K.; Sato, K.; Mizusaki, J. Structural analysis of La2−xSrxNiO4+δ by high temperature X-ray diffraction. Solid State Ion. 2010, 181, 292–299. [Google Scholar] [CrossRef]
- Nakamura, T.; Yashiro, K.; Sato, K.; Mizusaki, J. Oxygen nonstoichiometry and defect equilibrium in La2−x SrxNiO4+δ. Solid State Ion. 2009, 180, 368–376. [Google Scholar] [CrossRef]
- Amow, G.; Skinner, S.J. Recent developments in Ruddlesden–Popper nickelate systems for solid oxide fuel cell cathodes. J. Solid State Electrochem. 2006, 10, 538–546. [Google Scholar] [CrossRef]
- Mauvy, F.; Lalanne, C.; Bassat, J.-M.; Grenier, J.-C.; Zhao, H.; Huo, L.; Stevens, P. Electrode properties of Ln2NiO4+δ (Ln = La, Nd, Pr) AC Impedance and DC Polarization Studies. J. Electrochem. Soc. 2006, 153, A1547–A1553. [Google Scholar] [CrossRef]
- Tarutin, A.P.; Lyagaeva, J.G.; Medvedev, D.A.; Bi, L.; Yaremchenko, A.A. Recent advances in layered Ln2NiO4+δ nickelates: Fundamentals and prospects of their applications in protonic ceramic fuel and electrolysis cells. J. Mater. Chem. A Mater. Energy Sustain. 2021, 9, 154–195. [Google Scholar] [CrossRef]
- Test Method for Young’s Modulus of Metallic Materials at Elevated Temperature; JIS Z2280; Japanese Industrial Standards: Tokyo, Japan, 1993.
- Wachtman, J.B.; Tempt, W.E.; Lam, D.G.; Apstkin, C.S. Exponential Temperature Dependence of Young’s Modulus for Several Oxides. Phys. Rev. 1961, 122, 1754–1759. [Google Scholar] [CrossRef]
- Galsin, J.S. (Ed.) Chapter 4—Bonding in Solids. In Solid State Physics; Academic Press: Cambridge, MA, USA, 2019; pp. 69–91. ISBN 9780128171035. [Google Scholar]
- Toukmaji, A.Y.; Board, J.A. Ewald summation techniques in perspective: A survey. Comput. Phys. Commun. 1996, 95, 73–92. [Google Scholar] [CrossRef]
- Goodenough, J.B.; Ramasesha, S. Further evidence for the coexistence of localized and itinerant 3d electrons in La2NiO4. Mater. Res. Bull. 1982, 17, 383–390. [Google Scholar] [CrossRef]
- Nakamura, T.; Yashiro, K.; Sato, K.; Mizusaki, J. Electronic state of oxygen nonstoichiometric La2−xSrxNiO4+delta at high temperatures. Phys. Chem. Chem. Phys. 2009, 11, 3055–3062. [Google Scholar] [CrossRef] [PubMed]







Publisher’s Note: MDPI stays neutral with regard to jurisdictional claims in published maps and institutional affiliations. |
© 2021 by the authors. Licensee MDPI, Basel, Switzerland. This article is an open access article distributed under the terms and conditions of the Creative Commons Attribution (CC BY) license (https://creativecommons.org/licenses/by/4.0/).
Share and Cite
Kimura, Y.; Nakamura, T.; Amezawa, K.; Yashiro, K.; Kawada, T. In Situ Evaluation of the Influence of Interstitial Oxygen on the Elastic Modulus of La2NiO4. Metals 2021, 11, 1889. https://doi.org/10.3390/met11121889
Kimura Y, Nakamura T, Amezawa K, Yashiro K, Kawada T. In Situ Evaluation of the Influence of Interstitial Oxygen on the Elastic Modulus of La2NiO4. Metals. 2021; 11(12):1889. https://doi.org/10.3390/met11121889
Chicago/Turabian StyleKimura, Yuta, Takashi Nakamura, Koji Amezawa, Keiji Yashiro, and Tatsuya Kawada. 2021. "In Situ Evaluation of the Influence of Interstitial Oxygen on the Elastic Modulus of La2NiO4" Metals 11, no. 12: 1889. https://doi.org/10.3390/met11121889
APA StyleKimura, Y., Nakamura, T., Amezawa, K., Yashiro, K., & Kawada, T. (2021). In Situ Evaluation of the Influence of Interstitial Oxygen on the Elastic Modulus of La2NiO4. Metals, 11(12), 1889. https://doi.org/10.3390/met11121889

