Comparison of Conventional and Flash Spark Plasma Sintering of Cu–Cr Pseudo-Alloys: Kinetics, Structure, Properties
Abstract
1. Introduction
2. Materials and Methods
2.1. Precursors
2.2. Ball Mixing and Milling
2.3. Consolidation Schemes
2.4. Characterization
3. Results and Discussion
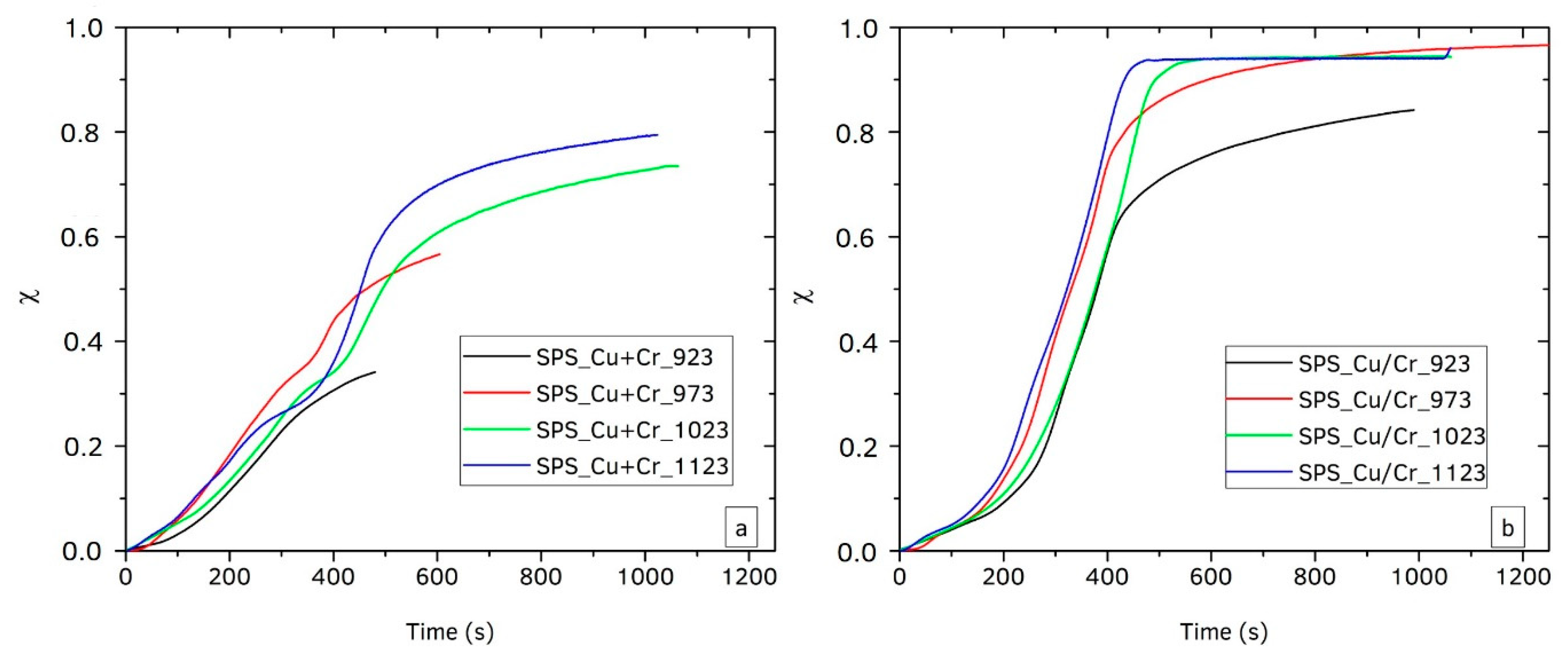
3.1. Spark Plasma Sintering: Kinetics
- (i)
- Under the investigated conditions, the sintering rates for the mechanically induced composite Cu/Cr particles were 2–4 times higher compared to that for the conventional Cu + Cr mixtures during both the isothermal and nonisothermal stages;
- (ii)
- The apparent sintering activation energy for the Cu/Cr powder was approximately twice lower than that for the Cu + Cr mixture;
- (iii)
- The sintering rate was much faster in the preheating stage compared to the isothermal stage for both mixtures; and
- (iv)
- The higher heating rate resulted in a higher consolidation rate.
3.2. Flash Spark Plasma Sintering: Kinetics
- (i)
- Under FSPS conditions, the observed maximum consolidation rates were 20–30 times higher than that for conventional SPS with a heating rate of 100 K/min;
- (ii)
- The measured rate for temperature change β = dT/dt during FSPS appeared to be in the range of 900–3000 K/min, and hence the extremely rapid consolidation rates can be explained just by an increase of the β (see Equation (9)). It implies that the mass transport mechanism, which is responsible for the variation in the densification function with temperature remained the same; and
- (iii)
- The above features, make FSPS an efficient approach for fabrication of the alloys. The load application schedule can be one more parameter for optimization of the consolidation process.
3.3. Microstructure of the Pseudo-Alloys
3.4. Properties
4. Conclusions
Supplementary Materials
Author Contributions
Funding
Institutional Review Board Statement
Informed Consent Statement
Data Availability Statement
Acknowledgments
Conflicts of Interest
References
- Kumar, A.; Jayasankar, K.; Debata, M.; Mandal, A. Mechanical alloying and properties of immiscible Cu-20 wt.% Mo alloy. J. Alloys Compd. 2015, 647, 1040–1047. [Google Scholar] [CrossRef]
- Mousavi, T.; Dai, J.; Bazarnik, P.; Pereira, P.H.R.; Huang, Y.; Lewandowska, M.; Langdon, T.G. Fabrication and characterization of nanostructured immiscible Cu–Ta alloys processed by high-pressure torsion. J. Alloys Compd. 2020, 832, 155007. [Google Scholar] [CrossRef]
- Kuskov, K.V.; Sedegov, A.S.; Novitskii, A.P.; Nepapushev, A.A.; Moskovskikh, D.O.; Shkodich, N.F.; Rogachev, A.S.; Mukasyan, A.S. Influence of chromium in nanocrystalline copper–chromium pseudoalloy on its structure and properties. Nanotechnol. Russ. 2017, 12, 40–48. [Google Scholar] [CrossRef]
- Shkodich, N.F.; Rogachev, A.S.; Mukasyan, A.S.; Moskovskikh, D.O.; Kuskov, K.V.; Schukin, A.S.; Khomenko, N.Y. Preparation of copper–molybdenum nanocrystalline pseudoalloys using a combination of mechanical activation and spark plasma sintering techniques. Russ. J. Phys. Chem. B 2017, 11, 173–179. [Google Scholar] [CrossRef]
- Sanin, V.V.; Filonov, M.R.; Yukhvid, V.I.; Anikin, Y.A.; Ikornikov, D.M. Production of the 70% Cu–30% Fe Alloy by SHS Metallurgy and Electrometallurgy: Comparative Analysis of Microstructures. Russ. J. Non-Ferrous Met. 2020, 61, 119–125. [Google Scholar] [CrossRef]
- Loginov, P.A.; Vorotilo, S.; Sidorenko, D.A.; Lopatina, Y.V.; Okubayev, A.; Shvyndina, N.V.; Levashov, E.A. Influence of Ti and TiH2 Additives on the Structure and Properties of Copper Alloys for Diamond Cutting Tools. Russ. J. Non-Ferrous Met. 2020, 61, 429–435. [Google Scholar] [CrossRef]
- Slade, P.G. The Vacuum Interrupter: Theory, Design and Application, 1st ed.; CRC Press: Boca Raton, FL, USA, 2007; ISBN 1420008595. [Google Scholar]
- Szemkus, S.; Kempf, B.; Jahn, S.; Wiehl, G.; Heringhaus, F.; Rettenmayr, M. Laser additive manufacturing of contact materials. J. Mater. Process. Technol. 2018, 252, 612–617. [Google Scholar] [CrossRef]
- Chen, Y.; Ren, S.; Zhao, Y.; Qu, X. Microstructure and properties of CuCr alloy manufactured by selective laser melting. J. Alloys Compd. 2019, 786, 189–197. [Google Scholar] [CrossRef]
- Momeni, S.; Guschlbauer, R.; Osmanlic, F.; Körner, C. Selective electron beam melting of a copper-chrome powder mixture. Mater. Lett. 2018, 223, 250–252. [Google Scholar] [CrossRef]
- Fang, Q.; Kang, Z.; Gan, Y.; Long, Y. Microstructures and mechanical properties of spark plasma sintered Cu–Cr composites prepared by mechanical milling and alloying. Mater. Des. 2015, 88, 8–15. [Google Scholar] [CrossRef]
- Fang, Q.; Kang, Z. An investigation on morphology and structure of Cu–Cr alloy powders prepared by mechanical milling and alloying. Powder Technol. 2015, 270, 104–111. [Google Scholar] [CrossRef]
- Sheibani, S.; Heshmati-Manesh, S.; Ataie, A.; Caballero, A.; Criado, J.M. Spinodal decomposition and precipitation in Cu–Cr nanocomposite. J. Alloys Compd. 2014, 587, 670–676. [Google Scholar] [CrossRef]
- Zhao, Q.; Shao, Z.; Liu, C.; Jiang, M.; Li, X.; Zevenhoven, R.; Saxén, H. Preparation of Cu–Cr alloy powder by mechanical alloying. J. Alloys Compd. 2014, 607, 118–124. [Google Scholar] [CrossRef]
- Shi, K.; Xue, L.; Yan, Y.; Shen, T. Effects of mechanical alloying parameters on the microstructures of nanocrystalline Cu-5 wt% Cr alloy. J. Wuhan Univ. Technol. Sci. Ed. 2013, 28, 192–195. [Google Scholar] [CrossRef]
- Pang, Y.; Xia, C.; Wang, M.; Li, Z.; Xiao, Z.; Wei, H.; Sheng, X.; Jia, Y.; Chen, C. Effects of Zr and (Ni, Si) additions on properties and microstructure of Cu–Cr alloy. J. Alloys Compd. 2014, 582, 786–792. [Google Scholar] [CrossRef]
- Sheibani, S.; Heshmati-Manesh, S.; Ataie, A. Influence of Al2O3 nanoparticles on solubility extension of Cr in Cu by mechanical alloying. Acta Mater. 2010. [Google Scholar] [CrossRef]
- Zhao, L.; Chen, X.; Liu, P.; Li, W.; Ma, F.; He, D.; Li, J. Effect of yttrium on the electrical and mechanical properties of in situ synthesized CNTs/CuCr composites. J. Mater. Res. 2019. [Google Scholar] [CrossRef]
- Dobatkin, S.V.; Gubicza, J.; Shangina, D.V.; Bochvar, N.R.; Tabachkova, N.Y. High strength and good electrical conductivity in Cu–Cr alloys processed by severe plastic deformation. Mater. Lett. 2015, 153, 5–9. [Google Scholar] [CrossRef]
- Kuskov, K.V.; Rogachev, A.S.; Vadchenko, S.G.; Shkodich, N.F.; Rouvimov, S.; Shchukin, A.S.; Illarionova, E.V.; Kudryashov, V.A.; Mukasyan, A.S. Resistance of microcrystalline and nanocrystalline Cu/Cr pseudo-alloys to vacuum discharge. J. Alloys Compd. 2018, 750, 811–818. [Google Scholar] [CrossRef]
- Wei, X.; Yu, D.; Sun, Z.; Yang, Z.; Song, X.; Ding, B. Arc characteristics and microstructure evolution of W–Cu contacts during the vacuum breakdown. Vacuum 2014, 107, 83–89. [Google Scholar] [CrossRef]
- Lahiri, I.; Bhargava, S. Compaction and sintering response of mechanically alloyed Cu–Cr powder. Powder Technol. 2009, 189, 433–438. [Google Scholar] [CrossRef]
- Diatta, J.; Antou, G.; Pradeilles, N.; Maître, A. Numerical modeling of spark plasma sintering—Discussion on densification mechanism identification and generated porosity gradients. J. Eur. Ceram. Soc. 2017, 37, 4849–4860. [Google Scholar] [CrossRef]
- Klinger, L.; Rabkin, E. Sintering of spherical particles of two immiscible phases controlled by surface and interphase boundary diffusion. Acta Mater. 2013, 61, 2607–2616. [Google Scholar] [CrossRef]
- Olevsky, E.; Froyen, L. Constitutive modeling of spark-plasma sintering of conductive materials. Scr. Mater. 2006, 55, 1175–1178. [Google Scholar] [CrossRef]
- Hu, Z.-Y.; Zhang, Z.-H.; Cheng, X.-W.; Wang, F.-C.; Zhang, Y.-F.; Li, S.-L. A review of multi-physical fields induced phenomena and effects in spark plasma sintering: Fundamentals and applications. Mater. Des. 2020, 191, 108662. [Google Scholar] [CrossRef]
- Saheb, N.; Iqbal, Z.; Khalil, A.; Hakeem, A.S.; Al Aqeeli, N.; Laoui, T.; Al-Qutub, A.; Kirchner, R. Spark Plasma Sintering of Metals and Metal Matrix Nanocomposites: A Review. J. Nanomater. 2012, 2012, 1–13. [Google Scholar] [CrossRef]
- Guillon, O.; Gonzalez-Julian, J.; Dargatz, B.; Kessel, T.; Schierning, G.; Räthel, J.; Herrmann, M. Field-assisted sintering technology/spark plasma sintering: Mechanisms, materials, and technology developments. Adv. Eng. Mater. 2014, 16, 830–849. [Google Scholar]
- Chaim, R.; Chevallier, G.; Weibel, A.; Estournès, C. Grain growth during spark plasma and flash sintering of ceramic nanoparticles: A review. J. Mater. Sci. 2018, 53, 3087–3105. [Google Scholar] [CrossRef]
- Manière, C.; Lee, G.; Olevsky, E.A. All-Materials-Inclusive Flash Spark Plasma Sintering. Sci. Rep. 2017, 7, 15071. [Google Scholar] [CrossRef]
- Torosyan, K.S.; Sedegov, A.S.; Kuskov, K.V.; Abedi, M.; Arkhipov, D.I.; Kiryukhantsev-Korneev, P.V.; Vorotilo, S.; Moskovskikh, D.O.; Mukasyan, A.S. Reactive, nonreactive, and flash spark plasma sintering of Al2O3/SiC composites—A comparative study. J. Am. Ceram. Soc. 2020, 103, 520–530. [Google Scholar] [CrossRef]
- Tikkanen, M.H.; Yläsaari, S. On the Mechanisms of Sintering. In Modern Developments in Powder Metallurgy; Springer: Boston, MA, USA, 1966; pp. 297–309. [Google Scholar]
- Thümmler, F.; Thomma, W. The sintering process. Metall. Rev. 1967, 12, 69–108. [Google Scholar] [CrossRef]
- Demirskyi, D.; Agrawal, D.; Ragulya, A. Densification kinetics of powdered copper under single-mode and multimode microwave sintering. Mater. Lett. 2010, 64, 1433–1436. [Google Scholar] [CrossRef]
- Freund, L.B.; Suresh, S. Thin Film Materials: Stress, Defect Formation and Surface Evolution; Illustrated edition; Cambridge University Press: Cambridge, UK, 2003; ISBN 9780511165658. [Google Scholar]









| SPS Conditions Tmax Heating Rate | Type of Powder Mixture | Final Relative Density, % | n Isothermal Conditions | Ave. dχ/dt Preheating Stage, 10−3 s−1 | Ave. dχ/dT Preheating Stage 10−5 s−1 |
|---|---|---|---|---|---|
| 923 K, 100 K/min | Cu + Cr | 80 ± 0.2 | 0.45 ± 0.05 | 1.0 ± 0.1 | 1.0 |
| Cu/Cr | 93 ± 0.5 | 0.5 ± 0.03 | 3.1 ± 0.4 | 3.1 | |
| 973 K, 100 K/min | Cu + Cr | 85 ± 0.2 | 0.5 ± 0.04 | 1.0 ± 0.1 | 1.0 |
| Cu/Cr | 96 ± 0.5 | 0.5 ± 0.05 | 3.1 ± 0.4 | 3.1 | |
| 1023 K, 100 K/min | Cu + Cr | 91 ± 0.2 | 0.48 ± 0.03 | 1.0 ± 0.1 | 1.0 |
| Cu/Cr | 98 ± 0.2 | 0.5 ± 0.05 | 3.1 ± 0.4 | 3.1 | |
| 1023 K, 100 K/min | Cu + Cr | 93 ± 0.2 | 0.4 ± 0.05 | 1.0 ± 0.1 | 1.0 |
| Cu/Cr | 99 ± 0.5 | 0.4 ± 0.05 | 3.1 ± 0.4 | 3.1 | |
| 973 K, 5 K/min | Cu + Cr | 83.8 ± 0.2 | 0.5 ± 0.04 | 0.044 | 0.88 |
| Cu/Cr | 94.5 ± 0.3 | 0.5 ± 0.03 | 0.167 | 3.34 |
| Mode | Sintering Condition | Relative Density (%) | The Relative Area of the Cu-Rich Phase (%) | The Size of Cr-Rich Particles (µm2) | |
|---|---|---|---|---|---|
| FSPS | 40 K/s 698/15 s | Plan A | 96.1 ± 0.4 | 4.3 ± 0.3 | 0.024 ± 0.01 |
| Plan B | 97.1 ± 0.3 | 14.5 ± 0.6 | 0.05 ± 0.025 | ||
| 45 K/s 748/15 s | Plan A | 96.1 ± 0.4 | 4.3 ± 0.3 | 0.024 ± 0.01 | |
| Plan B | 97.5 ± 0.4 | 19.7 ± 0.9 | 0.93 ± 0.07 | ||
| 50 K/s 818/15 s | Plan A | 98.9 ± 0.1 | 38.3 ± 1.2 | 0.86 ± 0.6 | |
| Plan B | 99.3 ± 0.2 | 45.4 ± 2.6 | 2.13 ± 0.7 | ||
| SPS | 100 K/min 973 K/10 min | Plan A | 96.5 ± 0.3 | 17.2 ± 0.9 | 0.13 ± 0.06 |
| 5 K/min 973 K/10 min | Plan A | 94.5 ± 0.2 | 22.6 ± 0.4 | 0.21 ± 0.13 | |
| Sample | Plan for Applied Pressure | Electrical Resistivity mΩ·cm/Conductivity % IACS | Thermal Diffusivity mm2/s | Macro Hardness GPa | Micro Hardness GPa | Elastic Modulus GPa |
|---|---|---|---|---|---|---|
| SPS_ 5_973 | A | 7.7 ± 0.4/22 | 28.4 ± 0.1 | 4.6 ± 0.2 | 4.4 ± 0.5 | 244 ± 20 |
| SPS_100_973 | A | 7.3 ± 0.4/24 | 27.0 ± 0.1 | 5.2 ± 0.8 | 5.2 ± 1.2 | 210 ± 15 |
| SPS_100_1123 | A | 6.2 ± 0.1/28 | 32.8 ± 0.2 | 4.4 ± 0.3 | 4.1 ± 0.5 | 203 ± 11 |
| FSPS_698 | A | 7.6 ± 0.2/23 | 29.6 ± 0.2 | 5.0 ± 0.2 | 4.3 ± 0.2 | 238 ± 19 |
| B | 7.8 ± 0.2/22 | 30.0 ± 0,1 | 3.3 ± 0.8 | 3.4 ± 0.2 | 202 ± 22 | |
| FSPS_748 | A | 7.9 ± 0.2/22 | 30.5 ± 0.1 | 5.2 ± 0.4 | 5.3 ± 0.7 | 228 ± 45 |
| B | 8.8 ± 0.2/20 | 28.4 ± 0.2 | 4.0 ± 1.0 | 3.4 ± 0.3 | 214 ± 13 | |
| FSPS_818 | A | 8.9 ± 0.3/20 | 30.0 ± 0.2 | 3.9 ± 0.4 | 4.3 ± 0.2 | 197 ± 24 |
| B | 7.5 ± 0.1/23 | 30.8 ± 0.2 | 3.8 ± 0.2 | 4.5 ± 0.2 | 201 ± 20 |
| Sample | Electrical Resistivity mΩ·cm/Conductivity % IACS | Thermal Diffusivity mm2/s | Macro Hardness GPa | Micro Hardness GPa | Elastic Modulus GPa |
|---|---|---|---|---|---|
| SPS_5_973 | 6.1 ± 0.3/28 | 43.9 ± 0.3 | 0.71 ± 0.04 | 1.3 ± 0.1 | 136 ± 15 |
| SPS_100_973 | 6.9 ± 0.3/25 | 37.0 ± 0.5 | 0.51 ± 0.02 | 1.0 ± 0.1 | – |
| SPS_100_1123 | 5.7 ± 0.2/30 | 42.2 ± 0.6 | 1.05 ± 0.05 | – | – |
Publisher’s Note: MDPI stays neutral with regard to jurisdictional claims in published maps and institutional affiliations. |
© 2021 by the authors. Licensee MDPI, Basel, Switzerland. This article is an open access article distributed under the terms and conditions of the Creative Commons Attribution (CC BY) license (http://creativecommons.org/licenses/by/4.0/).
Share and Cite
Kuskov, K.V.; Abedi, M.; Moskovskikh, D.O.; Serhiienko, I.; Mukasyan, A.S. Comparison of Conventional and Flash Spark Plasma Sintering of Cu–Cr Pseudo-Alloys: Kinetics, Structure, Properties. Metals 2021, 11, 141. https://doi.org/10.3390/met11010141
Kuskov KV, Abedi M, Moskovskikh DO, Serhiienko I, Mukasyan AS. Comparison of Conventional and Flash Spark Plasma Sintering of Cu–Cr Pseudo-Alloys: Kinetics, Structure, Properties. Metals. 2021; 11(1):141. https://doi.org/10.3390/met11010141
Chicago/Turabian StyleKuskov, Kirill V., Mohammad Abedi, Dmitry O. Moskovskikh, Illia Serhiienko, and Alexander S. Mukasyan. 2021. "Comparison of Conventional and Flash Spark Plasma Sintering of Cu–Cr Pseudo-Alloys: Kinetics, Structure, Properties" Metals 11, no. 1: 141. https://doi.org/10.3390/met11010141
APA StyleKuskov, K. V., Abedi, M., Moskovskikh, D. O., Serhiienko, I., & Mukasyan, A. S. (2021). Comparison of Conventional and Flash Spark Plasma Sintering of Cu–Cr Pseudo-Alloys: Kinetics, Structure, Properties. Metals, 11(1), 141. https://doi.org/10.3390/met11010141

