Characterization of Multiphase Oxide Layer Formation on Micro and Nanoscale Iron Particles
Abstract
1. Introduction
2. Materials and Methods
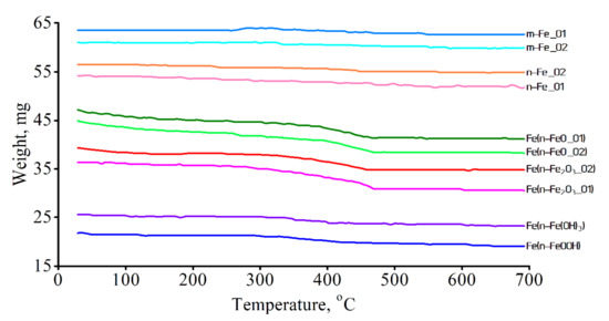
3. Results and Discussion

4. Conclusions
Author Contributions
Funding
Data Availability Statement
Acknowledgments
Conflicts of Interest
References
- Jeevanandam, J.; Barhoum, A.; Chan, Y.S.; Dufresne, A.; Danquah, M.K. Review on nanoparticles and nanostructured materials: History, sources, toxicity and regulations. Beilstein J. Nanotechnol. 2018, 9, 1050–1074. [Google Scholar] [CrossRef] [PubMed]
- Chen, Y.; Lai, Z.; Zhang, X.; Fan, Z.; He, Q.; Tan, C.; Zhang, H. Phase engineering of nanomaterials. Nat. Rev. Chem. 2020, 4, 243–256. [Google Scholar] [CrossRef]
- Dang, S.; Zhu, Q.-L.; Xu, Q. Nanomaterials derived from metal-organic frameworks. Nat. Rev. Mater. 2017, 3, 17075. [Google Scholar] [CrossRef]
- Das, I.; Ansari, S.A. Nanomaterials in science and technology. J. Sci. Ind. Res. 2009, 68, 657–667. [Google Scholar]
- Wu, W. Inorganic nanomaterials for printed electronics: A review. Nanoscale 2017, 9, 7342–7372. [Google Scholar] [CrossRef]
- Charitidis, C.A.; Georgiou, P.; Koklioti, M.A.; Trompeta, A.-F.; Markakis, V. Manufacturing nanomaterials: From research to industry. Manuf. Rev. 2014, 1, 11. [Google Scholar] [CrossRef]
- Wu, Q.; Miao, W.-S.; Zhang, Y.-D.; Gao, H.-J.; Hui, D. Mechanical properties of nanomaterials: A review. Nanotechnol. Rev. 2020, 9, 259–273. [Google Scholar] [CrossRef]
- Huber, D.L. Synthesis, properties, and applications of iron nanoparticles. Small 2005, 1, 482–501. [Google Scholar] [CrossRef]
- Gupta, A.K.; Gupta, M. Synthesis and surface engineering of iron oxide nanoparticles for biomedical applications. Biomaterials 2005, 26, 3995–4021. [Google Scholar] [CrossRef]
- Laurent, S.; Forge, D.; Port, M.; Roch, A.; Robic, C.; Vander Elst, L.; Muller, R.N. Magnetic iron oxide nanoparticles: Synthesis, stabilization, vectorization, physicochemical characterizations and biological applications. Chem. Rev. 2008, 108, 2064–2110. [Google Scholar] [CrossRef]
- Ali, A.; Zafar, H.; Zia, M.; Ul Haq, I.; Phull, A.R.; Ali, J.S.; Hussain, A. Synthesis, characterization, applications, and challenges of iron oxide nanoparticles. Nanotechnol. Sci. Appl. 2016, 9, 49–67. [Google Scholar] [CrossRef]
- Wu, W.; He, Q.; Jiang, C. Magnetic iron oxide nanoparticles: Synthesis and surface functionalization strategies. Nanoscale Res. Lett. 2008, 3, 397–415. [Google Scholar] [CrossRef] [PubMed]
- Estelrich, J.; Sánchez-Martín, M.J.; Busquets, M.A. Nanoparticles in magnetic resonance imaging: From simple to dual contrast agents. Int. J. Nanomed. 2015, 10, 1727–1741. [Google Scholar]
- Wu, W.; Wu, Z.; Yu, T.; Jiang, C.; Kim, W.-S. Recent progress on magnetic iron oxide nanoparticles: Synthesis, surface functional strategies and biomedical applications. Sci. Technol. Adv. Mater. 2015, 16, 023501. [Google Scholar] [CrossRef] [PubMed]
- Mohapatra, J.; Mitra, A.; Tyagi, H.; Bahadur, D.; Aslam, M. Iron oxide nanorods as high-performance magnetic resonance imaging contrast agents. Nanoscale 2015, 7, 9174–9184. [Google Scholar] [CrossRef]
- Tong, S.; Quinto, C.A.; Zhang, L.; Mohindra, P.; Bao, G. Size-Dependent Heating of Magnetic Iron Oxide Nanoparticles. ACS Nano 2017, 11, 6808–6816. [Google Scholar] [CrossRef]
- Liu, G.; Gao, J.; Ai, H.; Chen, X. Applications and potential toxicity of magnetic iron oxide nanoparticles. Small 2013, 9, 1533–1545. [Google Scholar] [CrossRef]
- Fu, C.; Ravindra, N.M. Magnetic iron oxide nanoparticles: Synthesis and applications. Bioinspired Biomim. Nanobiomaterials 2012, 1, 229–244. [Google Scholar] [CrossRef]
- Pandey, P.C.; Panday, D. Novel synthesis of nickel-iron hexacyanoferrate nanoparticles and its application in electrochemical sensing. J. Electroanal. Chem. 2016, 763, 63–70. [Google Scholar] [CrossRef]
- Koo, B.; Xiong, H.; Slater, M.D.; Prakapenka, V.B.; Balasubramanian, M.; Podsiadlo, P.; Johnson, C.S.; Rajh, T.; Shevchenko, E.V. Hollow iron oxide nanoparticles for application in lithium ion batteries. Nano Lett. 2012, 12, 2429–2435. [Google Scholar] [CrossRef]
- Sidorova, E.N.; Dzidziguri, E.L.; Vinichenko, Y.P.; Ozherelkov, D.Y.; Shinkaryov, A.S.; Gromov, A.A.; Nalivaiko, A.Y. Metal nanoparticles formation from nickel hydroxide. Materials 2020, 13, 4689. [Google Scholar] [CrossRef] [PubMed]
- Luong, N.H.; Long, N.N.; Vu, L.V.; Hai, N.H.; Nghia, P.T.; Van Anh, N.T. Metallic nanoparticles: Synthesis, characterisation and application. Int. J. Nanotechnol. 2011, 8, 227–240. [Google Scholar] [CrossRef]
- Dzidziguri, E.L.; Sidorova, E.N.; Inkar, M.; Yudin, A.G.; Kostitsyna, E.V.; Ozherelkov, D.Y.; Slusarsky, K.V.; Nalivaiko, A.Y.; Gromov, A.A. Cobalt nanoparticles synthesis by cobalt nitrate reduction. Mater. Res. Express 2019, 6, 105081. [Google Scholar] [CrossRef]
- Chernavskii, P.A.; Ivantsov, M.I.; Pankina, G.V.; Lunin, V.V. Heat effect during the low-temperature oxidation of nickel nanoparticles in a porous matrix. Russ. J. Phys. Chem. A 2011, 85, 2050–2053. [Google Scholar] [CrossRef]
- Yang, D.-Q.; Gillet, J.-N.; Meunier, M.; Sacher, E. Room temperature oxidation kinetics of Si nanoparticles in air, determined by x-ray photoelectron spectroscopy. J. Appl. Phys. 2005, 97, 024303. [Google Scholar] [CrossRef]
- Dzidziguri, E.L.; Sidorova, E.N.; Yahiyaeva, J.E.; Ozherelkov, D.Y.; Gromov, A.A.; Nalivaiko, A.Y. Low-temperature oxidation of metal nanoparticles obtained by chemical dispersion. Micro Nano Lett. 2020, 15, 461–464. [Google Scholar] [CrossRef]
- Ribas, D.; Černík, M.; Benito, J.A.; Filip, J.; Marti, V. Activation process of air stable nanoscale zero-valent iron particles. Chem. Eng. J. 2017, 320, 290–299. [Google Scholar] [CrossRef]
- Wilharm, C.K. Combustion Model for Pyrophoric Metal Foils. Propellants Explos. Pyrotech. 2003, 28, 296–300. [Google Scholar] [CrossRef]
- Park, C.-D.; Magana, D.; Stiegman, A.E. High-quality Fe and γ-Fe2O3 magnetic thin films from an epoxide-catalyzed sol-gel process. Chem. Mater. 2007, 19, 677–683. [Google Scholar] [CrossRef]
- Mikhailova, S.S.; Shakov, A.A.; Mikhailik, O.M. Surface structure analysis of stabilized iron particles by XPS with chemical derivatization. Bull. Russ. Acad. Sci. Phys. 2011, 75, 1468–1472. [Google Scholar] [CrossRef]
- Antony, J.; Qiang, Y.; Baer, D.R.; Wang, C. Synthesis and characterization of stable iron-iron oxide core-shell nanoclusters for environmental applications. J. Nanosci. Nanotechnol. 2006, 6, 568–572. [Google Scholar] [CrossRef] [PubMed]
- Popovici, E.; Dumitrache, F.; Morjan, I.; Alexandrescu, R.; Ciupina, V.; Prodan, G.; Vekas, L.; Bica, D.; Marinica, O.; Vasile, E. Iron/iron oxides core-shell nanoparticles by laser pyrolysis: Structural characterization and enhanced particle dispersion. Appl. Surf. Sci. 2007, 254, 1048–1052. [Google Scholar] [CrossRef]
- Cheong, S.; Ferguson, P.; Hermans, I.F.; Jameson, G.N.L.; Prabakar, S.; Herman, D.A.J.; Tilley, R.D. Synthesis and stability of highly crystalline and stable iron/iron oxide core/shell nanoparticles for biomedical applications. ChemPlusChem 2012, 77, 135–140. [Google Scholar] [CrossRef]
- Görner, W.; Förster, H. Determination of oxide film thickness on metal and ceramic materials using activation analysis and B.E.T. gas adsorption method. J. Radioanal. Nucl. Chem. Artic. 1995, 192, 139–145. [Google Scholar] [CrossRef]
- Martin, J.E.; Herzing, A.A.; Yan, W.; Li, X.-Q.; Koel, B.E.; Kiely, C.J.; Zhang, W.-X. Determination of the oxide layer thickness in core-shell zerovalent iron nanoparticles. Langmuir 2008, 24, 4329–4334. [Google Scholar] [CrossRef] [PubMed]
- Manchili, S.K.; Shvab, R.; Zehri, A.; Ye, L.; Hryha, E.; Liu, J.; Nyborg, L. Surface analysis of iron and steel nanopowder. Surf. Interface Anal. 2018, 50, 1083–1088. [Google Scholar] [CrossRef]
- Manchili, S.K.; Wendel, J.; Hryha, E.; Nyborg, L. Analysis of iron oxide reduction kinetics in the nanometric scale using hydrogen. Nanomaterials 2020, 10, 1276. [Google Scholar] [CrossRef]
- Kim, J.H.; Koo, H.Y.; Hong, S.K.; Han, J.M.; Jang, H.C.; Ko, Y.N.; Hong, Y.J.; Kang, Y.C.; Kang, S.H.; Cho, S.B. Combustion characteristics of the heat pellet prepared from the Fe powders obtained by spray pyrolysis. Adv. Powder Technol. 2012, 23, 387–392. [Google Scholar] [CrossRef]
- Majerič, P.; Jenko, D.; Friedrich, B.; Rudolf, R. Formation of bimetallic Fe/Au submicron particles with ultrasonic spray pyrolysis. Metals 2018, 8, 278. [Google Scholar] [CrossRef]
- Ryzhonkov, D.I.; Levina, V.V.; Dzidziguri, E.L.; Khrustov, E.N. Controlling the properties of nanodimensional metal oxide powders via introduction of dispersing additions. Russ. J. Non-Ferr. Met. 2008, 49, 308–313. [Google Scholar] [CrossRef]
- Xue, M.; Wang, S.; Wu, K.; Guo, J.; Guo, Q. Surface structural evolution in iron oxide thin films. Langmuir 2011, 27, 11–14. [Google Scholar] [CrossRef] [PubMed]
- Parkinson, G.S. Iron oxide surfaces. Surf. Sci. Rep. 2016, 71, 272–365. [Google Scholar] [CrossRef]









| Description | Synthesis Conditions | Synthesis Method | |
|---|---|---|---|
| m-Fe_01 | microscale iron powder (Fe) | Purchased (tech. standard 9849-86) | atomization |
| m-Fe_02 | microscale iron powder (Fe) | Purchased (tech. standard 9849-86) | reduction |
| n-Fe_01 | nanoscale iron powder (Fe) | Synthesized | chemical precipitation + long-term storage |
| n-Fe_02 | nanoscale iron powder (Fe) | Synthesized | chemical precipitation + long-term storage |
| n-FeO_01 | nanoscale iron (II) oxide powder (FeO) | Purchased (tech. standard 6-09-977-63) | – |
| n-FeO_02 | nanoscale iron (II) oxide powder (FeO) | Purchased (tech. standard 8135-74) | – |
| n-Fe2O3_01 | nanoscale iron (III) oxide powder (Fe2O3) | Purchased (tech. standard 4173-77) | – |
| n-Fe2O3_02 | nanoscale iron (III) oxide powder (Fe2O3) | Synthesized | spray pyrolysis of Fe(NO3)3 aerosol |
| n–Fe(OH)3 | nanoscale iron (III) hydroxide powder (Fe(OH)3) | Synthesized | chemical precipitation (FeCl3) |
| n–FeOOH | nanoscale iron (III) oxide-hydroxide powder (FeOOH) | Synthesized | chemical precipitation (Fe(NO3)3 9H2O) |
| Sample Code (Samples after Reduction) | Initial Sample | Reduction Conditions | |
|---|---|---|---|
| Temperature, °C | Heating Rate, °C/min | ||
| Fe(n–FeO_01) | n–FeO_01 | 450 | 5 °C/min (up to 400 °C); 2 °C/min (from 400 °C to 450 °C) |
| Fe(n–Fe2O3_01) | n–Fe2O3_01 | ||
| Fe(n–Fe(OH)3) | n–Fe(OH)3 | ||
| Fe(n–Fe2O3_02) | n–Fe2O3_02 | ||
| Fe(n–FeO_02) | n–FeO_02 | ||
| Fe(n–FeOOH) | n–FeOOH | ||
| m-Fe_01 | – | ||
| m-Fe_02 | – | ||
| n-Fe_01 | – | ||
| n-Fe_02 | – | ||
| Sample | The Thickness of the Oxide Layer (h), nm | ||
|---|---|---|---|
| FeO | Fe3O4 | Fe2O3 | |
| m–Fe_01 | 222.0 | 32.0 | 110.0 |
| m–Fe_02 | 115.0 | 218.0 | – |
| Fe(n–FeOOH) | 1.1 | 2.5 | 1.8 |
| Fe(n–Fe2O3_01) | 1.2 | 3.7 | 0.4 |
| Fe(n–Fe2O3_02) | 6.1 | 1.0 | 3.1 |
| Fe(n–FeO_01) | 2.8 | 2.9 | – |
| Fe(n–FeO_02) | 1.3 | 0.8 | 1.7 |
| n–Fe_01 | 0.4 | 0.9 | 0.3 |
| n–Fe_02 | 2.9 | 4.8 | 7.7 |
| Fe(n–Fe(OH)3) | 0.8 | 0.4 | 1.4 |
Publisher’s Note: MDPI stays neutral with regard to jurisdictional claims in published maps and institutional affiliations. |
© 2020 by the authors. Licensee MDPI, Basel, Switzerland. This article is an open access article distributed under the terms and conditions of the Creative Commons Attribution (CC BY) license (http://creativecommons.org/licenses/by/4.0/).
Share and Cite
Zakharova, E.V.; Dzidziguri, E.L.; Sidorova, E.N.; Vasiliev, A.A.; Pelevin, I.A.; Ozherelkov, D.Y.; Nalivaiko, A.Y.; Gromov, A.A. Characterization of Multiphase Oxide Layer Formation on Micro and Nanoscale Iron Particles. Metals 2021, 11, 12. https://doi.org/10.3390/met11010012
Zakharova EV, Dzidziguri EL, Sidorova EN, Vasiliev AA, Pelevin IA, Ozherelkov DY, Nalivaiko AY, Gromov AA. Characterization of Multiphase Oxide Layer Formation on Micro and Nanoscale Iron Particles. Metals. 2021; 11(1):12. https://doi.org/10.3390/met11010012
Chicago/Turabian StyleZakharova, Elena V., Ella L. Dzidziguri, Elena N. Sidorova, Andrey A. Vasiliev, Ivan A. Pelevin, Dmitriy Yu. Ozherelkov, Anton Yu. Nalivaiko, and Alexander A. Gromov. 2021. "Characterization of Multiphase Oxide Layer Formation on Micro and Nanoscale Iron Particles" Metals 11, no. 1: 12. https://doi.org/10.3390/met11010012
APA StyleZakharova, E. V., Dzidziguri, E. L., Sidorova, E. N., Vasiliev, A. A., Pelevin, I. A., Ozherelkov, D. Y., Nalivaiko, A. Y., & Gromov, A. A. (2021). Characterization of Multiphase Oxide Layer Formation on Micro and Nanoscale Iron Particles. Metals, 11(1), 12. https://doi.org/10.3390/met11010012

