Experimental Investigation of Fatigue Crack Growth Behavior in Banded Structure of Pipeline Steel
Abstract
1. Introduction
2. Experimental Work
2.1. Specimen Preparation
2.2. Experiment Procedure
3. Results and Discussion
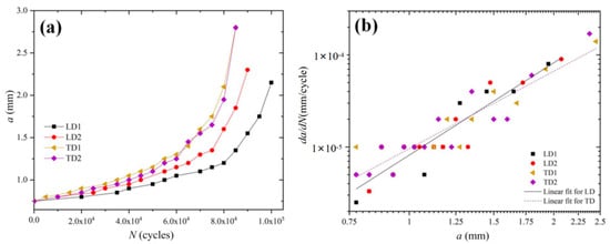
3.1. a-N and da/dN-a Curves
3.2. Fatigue Crack Growth Path
3.3. Strain Accumulation Analysis
3.4. Fatigue Fracture Surface Analysis
3.5. Discussion
4. Conclusions
Author Contributions
Funding
Conflicts of Interest
References
- Lesiuk, G.; Smolnicki, M.; Rozumek, D.; Krechkovska, H.; Student, O.; Correia, J.; Mech, R.; De Jesus, A. Study of the Fatigue Crack Growth in Long-Term Operated Mild Steel under Mixed-Mode (I plus II, I plus III) Loading Conditions. Materials 2020, 13, 16. [Google Scholar] [CrossRef]
- Zhang, L.; Wu, X.; Liu, J. Computation of residual stress intensity factors induced by single overload during fatigue crack growth. J. Mech. Strength. 2011, 33, 432–437. (In Chinese) [Google Scholar]
- Rozumek, D.; Marciniak, Z. Fatigue crack growth in AlCu4Mg1 under nonproportional bending-with-torsion loa Pennsylvania ding. Mater. Sci. 2011, 46, 685–694. [Google Scholar] [CrossRef]
- Richards, C.; Lindley, T. The influence of stress intensity and microstructure on fatigue crack propagation in ferritic materials. Eng. Fract. Mech. 1972, 4, 951–978. [Google Scholar] [CrossRef]
- Laird, C. The influence of metallurgical structure on the mechanisms of fatigue crack propagation. In Fatigue Crack Propagation; ASTM International: Pennsylvania, PA, USA, 1967. [Google Scholar]
- Laurito, D.; Baptista, C.; Torres, M.; Abdalla, A. Microstructural effects on fatigue crack growth behavior of a microalloyed steel. Procedia. Eng. 2010, 2, 1915–1925. [Google Scholar] [CrossRef]
- Mutoh, Y.; Korda, A.A.; Miyashita, Y.; Sadasue, T. Stress shielding and fatigue crack growth resistance in ferritic-pearlitic steel. Mater. Sci. Eng. A 2007, 468, 114–119. [Google Scholar] [CrossRef]
- Mutoh, Y.; Radhakrishnan, V. Effect of yield stress and grain size on threshold and fatigue limit. J. Eng. Mater. Technol. 1986, 108, 174–178. [Google Scholar] [CrossRef]
- Korda, A.A.; Miyashita, Y.; Mutoh, Y.; Sadasue, T. Fatigue crack growth behavior in ferritic-pearlitic steels with networked and distributed pearlite structures. Int. J. Fatigue 2007, 29, 1140–1148. [Google Scholar] [CrossRef]
- Guan, M.F.; Yu, H. In-situ investigation on the fatigue crack propagation behavior in ferrite-pearlite and dual-phase ferrite-bainite low carbon steels. Sci. China-Technol. Sci. 2013, 56, 71–79. [Google Scholar] [CrossRef]
- Zhao, Z.P.; Qiao, G.Y.; Li, G.P.; Yang, W.W.; Liao, B.; Xiao, F.R. Fatigue properties of ferrite/bainite dual-phase X80 pipeline steel welded joints. Sci. Technol. Weld. Join. 2017, 22, 217–226. [Google Scholar] [CrossRef]
- Majka, T.F.; Matlock, D.K.; Krauss, G. Development of microstructural banding in low-alloy steel with simulated Mn segregation. Metall. Mater. Trans. A 2002, 33, 1627–1637. [Google Scholar] [CrossRef]
- Verhoeven, J.D. A review of microsegregation induced banding phenomena in steels. J. Mater. Eng. Perform. 2000, 9, 286–296. [Google Scholar] [CrossRef]
- Korda, A.A.; Mutoh, Y.; Miyashita, Y.; Sadasue, T.; Mannan, S.L. In situ observation of fatigue crack retardation in banded ferrite-pearlite microstructure due to crack branching. Scr. Mater. 2006, 54, 1835–1840. [Google Scholar] [CrossRef]
- Ronevich, J.A.; Somerday, B.P.; San Marchi, C.W. Effects of microstructure banding on hydrogen assisted fatigue crack growth in X65 pipeline steels. Int. J. Fatigue 2016, 82, 497–504. [Google Scholar] [CrossRef]
- Shi, L.; Yan, Z.S.; Liu, Y.C.; Yang, X.; Qiao, Z.X.; Ning, B.Q.; Li, H.J. Development of ferrite/bainite bands and study of bainite transformation retardation in HSLA steel during continuous cooling. Met. Mater. Int. 2014, 20, 19–25. [Google Scholar] [CrossRef]
- Dai, X.; Yang, F.; Wang, L.; Zhang, D.; Pu, Q.; He, X. Load capacity evaluated from fracture initiation and onset of rapid propagation for cast iron by digital image correlation. Opt. Lasers Eng. 2013, 51, 1092–1101. [Google Scholar] [CrossRef]
- Song, H.; Bai, Z.; Zhang, H.; Niu, Y.; Leen, S.B. Effect of pre-corrosion on damage evolution and crack propagation in aluminum alloy 7050-T7651. Fatigue Fract. Eng. Mater. Struct. 2018, 41, 2376–2390. [Google Scholar] [CrossRef]
- Yu, L.; Pan, B. Experimental study of tensile properties and deformation evolutions of 2D and 2.5D woven SiO2f/SiO2 composites using single-camera stereo-digital image correlation. Compos. Struct. 2018, 200, 589–598. [Google Scholar] [CrossRef]
- Zhang, X.; Wang, Y.; Yang, J.; Qiao, Z.; Ren, C.; Chen, C. Deformation analysis of ferrite/pearlite banded structure under uniaxial tension using digital image correlation. Opt. Lasers Eng. 2016, 85, 24–28. [Google Scholar] [CrossRef]
- Ren, C.H.; Zhang, X.C.; Ji, H.W.; Zhan, N.; Qiao, Z.X. Effect of banded morphology and grain size on the tensile behavior of acicular ferrite in HSLA steel. Mater. Sci. Eng. A 2017, 705, 394–401. [Google Scholar] [CrossRef]
- Carroll, J.D.; Abuzaid, W.; Lambros, J.; Sehitoglu, H. High resolution digital image correlation measurements of strain accumulation in fatigue crack growth. Int. J. Fatigue 2013, 57, 140–150. [Google Scholar] [CrossRef]
- Carroll, J.D.; Abuzaid, W.Z.; Lambros, J.; Sehitoglu, H. On the interactions between strain accumulation, microstructure, and fatigue crack behavior. Int. J. Fract. 2013, 180, 223–241. [Google Scholar] [CrossRef]
- Malitckii, E.; Remes, H.; Lehto, P.; Yagodzinskyy, Y.; Bossuyt, S.; Hanninen, H. Strain accumulation during microstructurally small fatigue crack propagation in bcc Fe-Cr ferritic stainless steel. Acta Mater. 2018, 144, 51–59. [Google Scholar] [CrossRef]
- Suresh, S. Fatigue crack deflection and fracture surface contact: Micromechanical models. Metall. Trans. 1985, 16, 249–260. [Google Scholar] [CrossRef]

















© 2020 by the authors. Licensee MDPI, Basel, Switzerland. This article is an open access article distributed under the terms and conditions of the Creative Commons Attribution (CC BY) license (http://creativecommons.org/licenses/by/4.0/).
Share and Cite
Zhan, N.; Hu, Z.; Zhang, X. Experimental Investigation of Fatigue Crack Growth Behavior in Banded Structure of Pipeline Steel. Metals 2020, 10, 1193. https://doi.org/10.3390/met10091193
Zhan N, Hu Z, Zhang X. Experimental Investigation of Fatigue Crack Growth Behavior in Banded Structure of Pipeline Steel. Metals. 2020; 10(9):1193. https://doi.org/10.3390/met10091193
Chicago/Turabian StyleZhan, Nan, Zhengxing Hu, and Xiaochuan Zhang. 2020. "Experimental Investigation of Fatigue Crack Growth Behavior in Banded Structure of Pipeline Steel" Metals 10, no. 9: 1193. https://doi.org/10.3390/met10091193
APA StyleZhan, N., Hu, Z., & Zhang, X. (2020). Experimental Investigation of Fatigue Crack Growth Behavior in Banded Structure of Pipeline Steel. Metals, 10(9), 1193. https://doi.org/10.3390/met10091193

