Effect of In-Situ Synthesized Boride Phases on the Impact Behavior of Iron-Based Composites Reinforced by B4C Particles
Abstract
1. Introduction
2. Materials and Methods
2.1. Preparation of Composite Test Specimens
2.2. Fabrication of Test Specimens
2.3. Microstructural and Micromechanical Investigation
2.4. Charpy Impact Test Setup
3. Results and Discussion
3.1. Microstructure Observations
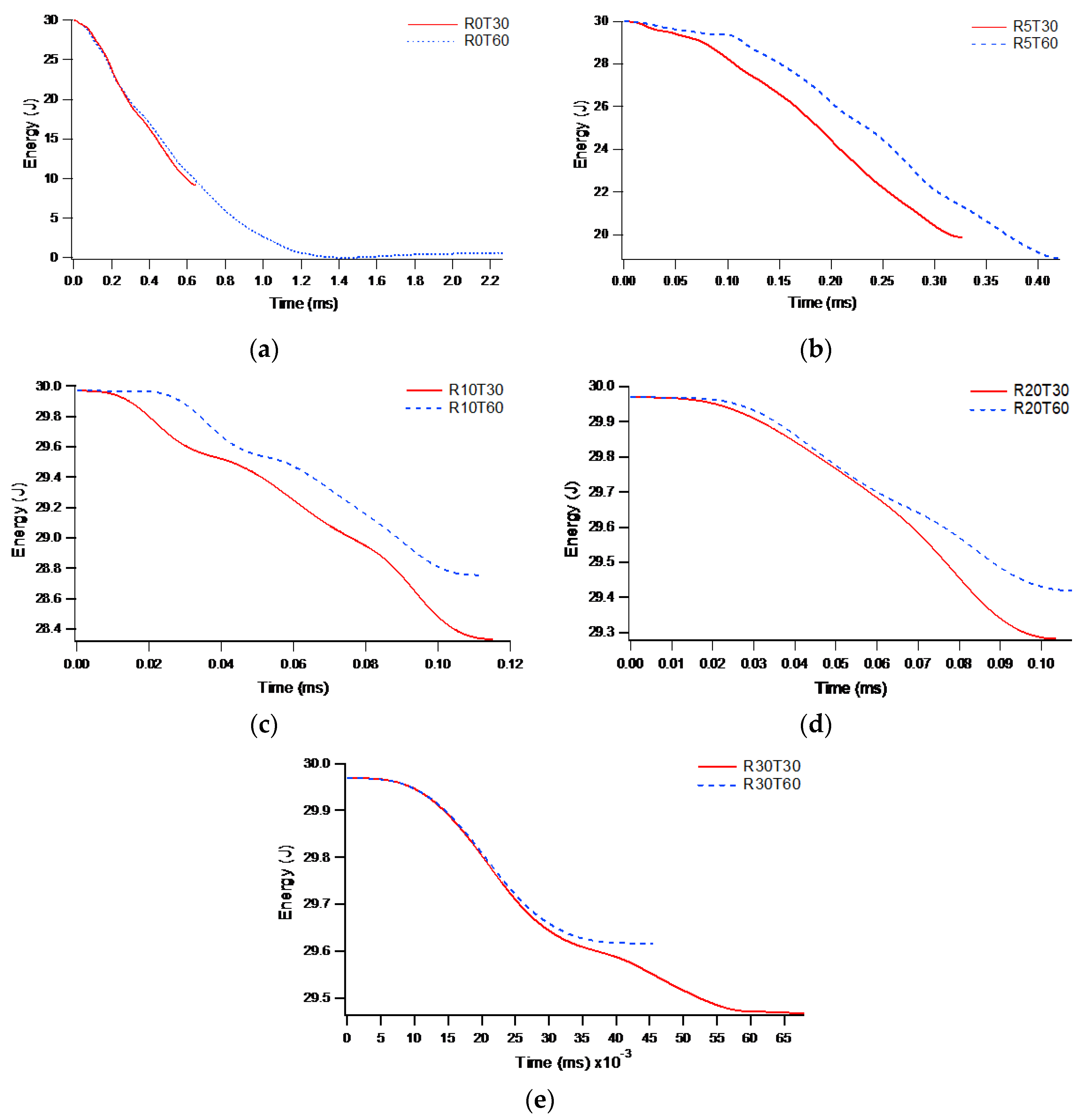
3.2. Impact Behavior
3.3. Fractographical Analysis
4. Conclusions
- (1)
- Boride phases formed in the internal structure significantly increased the hardness of the composites; on the other hand, the fracture force and impact energy decreased. An increased sintering duration may also lead to increased boride phases and consequently increases hardness, whereas it caused a negative effect on the fracture force values.
- (2)
- B4C composites reinforced over 20 vol.% had residual B4C particles, surrounded by the diffusion zones. These B4C particles fractured and broke into pieces after the impact tests.
- (3)
- The crack propagation and fractured surface morphologies were affected by the distribution and the presence of diffusion zones, porosity, and the residual B4C particles. When the bonding between the newly formed phases and the matrix was stronger, fracture occurred by the breaking of residual particles.
- (4)
- Residual B4C particles acted as an impurity factor and caused stress accumulation in the higher volume fractions, while the borided zones led to the strengthening of the interfacial bonding.
- (5)
- The determination of the upper limit of the reinforcement ratio is crucial to achieve the best impact properties, i.e., those that do not allow the formation of residual particles due to an impairment of the mechanical properties.
Author Contributions
Funding
Acknowledgments
Conflicts of Interest
References
- Su, Y.; Ouyang, Q.; Zhang, W.; Li, Z.; Guo, Q.; Fan, G.; Zhang, D. Composite structure modeling and mechanical behavior of particle reinforced metal matrix composites. Mater. Sci. Eng. A 2014, 597, 359–369. [Google Scholar] [CrossRef]
- Safri, S.N.A.; Sultan, M.T.H.; Yidris, N.; Mustapha, F. Low Velocity and High Velocity Impact Test on Composite Materials-A Review. Int. J. Eng. Sci. 2014, 3, 50–60. [Google Scholar]
- Sjoblom, P.O.; Hartness, J.T.; Cordell, T.M. On Low-Velocity Impact Testing of Composite Materials. J. Compos. Mater. 1998, 22, 30–52. [Google Scholar] [CrossRef]
- Straffelini, G.; Molinari, A.; Danninger, H. Impact notch toughness of high-strength porous steels. Mater. Sci. Eng. A 1999, 272, 300–309. [Google Scholar] [CrossRef]
- Straffelini, G. Impact Fracture Toughness of Porous Iron and High-Strength Steels. Metall. Mater. Trans. A 2000, 31, 1443–1451. [Google Scholar] [CrossRef]
- Şahin, Ö.S.; Güneş, A.; Aslan, A.; Salur, E.; Karadağ, H.B.; Akdemir, A. Low-Velocity Impact Behavior of Porous Metal Matrix Composites Produced by Recycling of Bronze and Iron Chips. Iran. J. Sci. Technol. Trans. Mech. Eng. 2017, 43, 53–60. [Google Scholar] [CrossRef]
- Ratto, P.J.J.; Ansaldi, A.F.; Fierro, V.E.; Agüera, F.R.; Villar, H.N.A.; Sikora, J.A. Low Temperature Impact Tests in Austempered Ductile Iron and Other Spheroidal Graphite Cast Iron Structures. ISIJ Int. 2001, 41, 372–380. [Google Scholar] [CrossRef][Green Version]
- Hufenbach, W.; Ibraim, F.M.; Langkamp, A.; Böhm, R.; Hornig, A. Charpy impact tests on composite structures–An experimental and numerical investigation. Compos. Sci. Technol. 2008, 68, 2391–2400. [Google Scholar] [CrossRef]
- Toktaş, G.; Tayanç, M.; Toktaş, A. Effect of matrix structure on the impact properties of an alloyed ductile iron. Mater. Charact. 2006, 57, 290–299. [Google Scholar] [CrossRef]
- Shahabodin, E.; Saeedi, H.M.; Reza, B.H.; Naser, E. Effect of Iron on the wetting, sintering ability, and the physical and mechanical properties of Boron Carbide composites: A review. Int. J. Refract. Met. Hard Mater. 2016, 57, 78–92. [Google Scholar] [CrossRef]
- Dudrová, E.; Kabátová, M. Fractography of Sintered Iron and Steels. Powder Metall. Prog. 2008, 8, 59–75. [Google Scholar]
- Shanmugasundaram, D.; Chandramouli, R. Tensile and impact behaviour of sinter-forged Cr, Ni and Mo alloyed powder metallurgy steels. Mater. Des. 2009, 30, 3444–3449. [Google Scholar] [CrossRef]
- Ozden, S.; Ekici, R.; Nair, F. Investigation of impact behaviour of aluminium based SiC particle reinforced metal–matrix composites. Compos. Part A Appl. Sci. Manuf. 2007, 38, 484–494. [Google Scholar] [CrossRef]
- Gustafsson, G.; Nishida, M.; Häggblad, H.Å.; Kato, H.; Jonsén, P.; Ogura, T. Experimental studies and modelling of high-velocity loaded iron-powder compacts. Powder Technol. 2014, 268, 293–305. [Google Scholar] [CrossRef]
- Montealegre-Melendez, I.; Arevalo, C.; Ariza, E.; Perez-Soriano, E.M.; Rubio-Escudero, C.; Kitzmantel, M.; Neubauer, E. Analysis of the Microstructure and Mechanical Properties of Titanium-Based Composites Reinforced by Secondary Phases and B4C Particles Produced via Direct Hot Pressing. Materials 2017, 10, 1240. [Google Scholar] [CrossRef] [PubMed]
- Turov, Y.V.; Khusid, B.M.; Voroshnin, L.G.; Khina, B.B.; Kozlovskii, I.L. Gas transport processes in sintering of an iron-boron carbide powder composite. Sov. Powder Metall. Ceram. 1989, 28, 618–622. [Google Scholar] [CrossRef]
- Üçisik, A.H.; Bindal, C. Fracture toughness of boride formed on low-alloy steels. Surf. Coat. Technol. 1997, 94–95, 561–565. [Google Scholar] [CrossRef]
- Korol’kov, V.V.; Kibak, B. Sintering mechanism of iron powder with microadditions of boron. Powder Metall. Met. Ceram. 1997, 36, 470–473. [Google Scholar] [CrossRef]
- Aizenshtein, M.; Mizrahi, I.; Froumin, N.; Hayun, S.; Dariel, M.P.; Frage, N. Interface interaction in the B4C/(Fe–B–C) system. Mater. Sci. Eng. A 2008, 495, 70–74. [Google Scholar] [CrossRef]
- Turov, Y.V.; Khusid, B.M.; Voroshnin, L.G.; Khina, B.B.; Kozlovskii, I.L. Structure formation in sintering iron-boron carbide powder composite. Powder Metall. Ceram. 1993, 32, 465–470. [Google Scholar]
- Mizrahi, I.; Raviv, A.; Dilman, H.; Aizenshtein, M.; Dariel, M.P.; Frage, N. The effect of Fe addition on processing and mechanical properties of reaction infiltrated boron carbide-based composites. J. Mater. Sci. 2007, 42, 6923–6928. [Google Scholar] [CrossRef]
- Ozdemir, O.; Usta, M.; Bindal, C.; Ucisik, A.H. Hard iron boride (Fe2B) on 99.97wt% pure iron. Vacuum 2006, 80, 1391–1395. [Google Scholar] [CrossRef]
- Abenojar, J.; Velasco, F.; Martinez, M.A. Influence of carbon and aluminium additions on the Fe–10% B(wt.) system. J. Mater. Process. Technol. 2003, 143–144, 28–33. [Google Scholar] [CrossRef]
- Campos, I.; Torres, R.; Ramírez, G.; Ganem, R.; Martínez, J. Growth kinetics of iron boride layers: Dimensional analysis. Appl. Surf. Sci. 2006, 252, 8662–8667. [Google Scholar] [CrossRef]
- Nowacki, J.; Klimek, L. Structure and properties of Fe-Fe2B cermets. J. Mater. Sci. 1992, 27, 3651–3656. [Google Scholar] [CrossRef]
- Nowacki, J.; Klimek, L. The mechanism of reaction sintering of iron-iron boride cermets. J. Mater. Sci. 1993, 28, 3939–3944. [Google Scholar] [CrossRef]
- Martini, C.; Palombarini, G.; Carbucicchio, M. Mechanism of thermochemical growth of iron borides on iron. J. Mater. Sci. 2004, 39, 933–937. [Google Scholar] [CrossRef]
- Busby, P.E.; Warga, M.E.; Wells, C. Diffusion and Solubility of Boron in Iron and Steel. J. Met. 1953, 5, 1463–1468. [Google Scholar] [CrossRef]
- Bagliuk, G. Properties and Structure of Sintered Boron Containing Carbon Steels. In Sintering—Methods and Products; Shatokha, V., Ed.; InTech: London, UK, 2012; pp. 249–266. [Google Scholar]























| Powder | |||
|---|---|---|---|
| Fe | 8.97 | 28.6 | 66.4 |
| B4C | 18.7 | 30.8 | 56.4 |
© 2020 by the authors. Licensee MDPI, Basel, Switzerland. This article is an open access article distributed under the terms and conditions of the Creative Commons Attribution (CC BY) license (http://creativecommons.org/licenses/by/4.0/).
Share and Cite
Nair, F.; Hamamcı, M. Effect of In-Situ Synthesized Boride Phases on the Impact Behavior of Iron-Based Composites Reinforced by B4C Particles. Metals 2020, 10, 554. https://doi.org/10.3390/met10050554
Nair F, Hamamcı M. Effect of In-Situ Synthesized Boride Phases on the Impact Behavior of Iron-Based Composites Reinforced by B4C Particles. Metals. 2020; 10(5):554. https://doi.org/10.3390/met10050554
Chicago/Turabian StyleNair, Fehmi, and Mustafa Hamamcı. 2020. "Effect of In-Situ Synthesized Boride Phases on the Impact Behavior of Iron-Based Composites Reinforced by B4C Particles" Metals 10, no. 5: 554. https://doi.org/10.3390/met10050554
APA StyleNair, F., & Hamamcı, M. (2020). Effect of In-Situ Synthesized Boride Phases on the Impact Behavior of Iron-Based Composites Reinforced by B4C Particles. Metals, 10(5), 554. https://doi.org/10.3390/met10050554

