Constitutive Equation and Hot Processing Map of a Nitrogen-Bearing Martensitic Stainless Steel
Abstract
1. Introduction
2. Materials and Methods
3. Results and Discussion
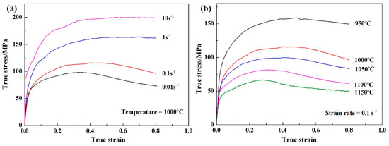
3.1. Flow Curves
3.2. Constitutive Equation
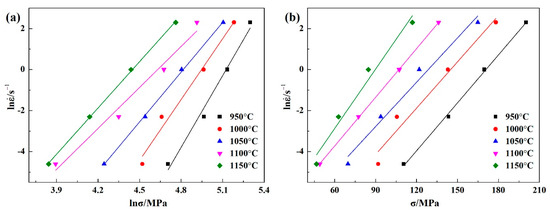
3.2.1. Calculation of the Material Constants
3.2.2. Strain Compensation and Constitutive Equation
3.2.3. Examination of the Constitutive Equation
3.3. Processing Map
3.3.1. Theory of the Processing Map
3.3.2. Establishment of a Processing Map
3.3.3. Microstructures Corresponding to the Processing Map
4. Conclusions
Author Contributions
Funding
Conflicts of Interest
References
- Tsai, M.C.; Chiou, C.S.; Du, J.S.; Yang, J.R. Phase transformation in AISI 410 stainless steel. Mater. Sci. Eng. A 2002, 332, 1–10. [Google Scholar] [CrossRef]
- Marcelin, S.; Pébère, N.; Régnier, S. Electrochemical characterisation of a martensitic stainless steel in a neutral chloride solution. Electrochim. Acta 2013, 87, 32–40. [Google Scholar] [CrossRef]
- Krishna, S.C.; Tharian, K.T.; Chakravarthi, K.V.A.; Jha, A.K.; Pant, B. Heat treatment and thermo-mechanical treatment to modify carbide banding in AISI 440C steel: A case study. Metallogr. Microstruct. Anal. 2016, 5, 108–115. [Google Scholar] [CrossRef]
- Ghosh, R.; Krishna, S.C.; Venugopal, A.; Narayanan, P.R.; Jha, A.K.; Ramkumar, P.; Venkitakrishnan, P.V. Corrosion and Nanomechanical Behaviors of 16.3Cr-0.22N-0.43C-1.73Mo Martensitic Stainless Steel. Corros. Sci. Technol. 2016, 15, 281–289. [Google Scholar] [CrossRef][Green Version]
- Zhao, Y.; Liu, X.; Li, X.; Wang, Y.; Zhang, W.N.; Liu, Z. Pitting corrosion behavior in novel Mn–N alloyed lean duplex stainless steel containing Cu. J. Mater. Sci. 2018, 53, 824–836. [Google Scholar] [CrossRef]
- Li, H.B.; Jiang, Z.H.; Yang, Y.; Gao, Y.; Zhang, Z.R. Pitting corrosion and crevice corrosion behaviors of high nitrogen austenitic stainless steels. Int. J. Miner. Metall. Mater. 2009, 16, 517–524. [Google Scholar] [CrossRef]
- Simmons, J.W. Overview: High-nitrogen alloying of stainless steels. Mater. Sci. Eng. A 1996, 207, 159–169. [Google Scholar] [CrossRef]
- Schneider, R.; Perko, J.; Reithofer, G. Heat Treatment of Corrosion Resistant Tool Steels for Plastic Moulding. Mater. Manuf. Process. 2009, 24, 903–908. [Google Scholar] [CrossRef]
- Trojahn, W.; Streit, E.; Chin, H.A.; Ehlert, D. Progress in Bearing Performance of Advanced Nitrogen Alloyed Stainless Steel, Cronidur 30. Mater. Sci. Technol. 2000, 30, 605–611. [Google Scholar] [CrossRef]
- Li, H.B.; Jiao, W.C.; Feng, H.; Jiang, Z.H.; Ren, C.D. Influence of Austenitizing Temperature on the Microstructure and Corrosion Resistance of 55Cr18Mo1VN High-Nitrogen Plastic Mould Steel. Acta Metall. Sin. 2016, 29, 1148–1160. [Google Scholar] [CrossRef]
- Krishna, S.C.; Karthick, N.K.; Jha, A.K.; Pant, B.; Venkitakrishnan, P.V. Microstructure and Properties of Nitrogen-Alloyed Martensitic Stainless Steel. Metallogr. Microstruct. Anal. 2017, 6, 425–432. [Google Scholar] [CrossRef]
- López, D.; Falleiros, N.A.; Tschiptschin, A.P. Corrosion–erosion behaviour of austenitic and martensitic high nitrogen stainless steels. Wear 2007, 263, 347–354. [Google Scholar] [CrossRef]
- Qi, X.; Mao, H.H.; Yang, Y. Corrosion behavior of nitrogen alloyed martensitic stainless steel in chloride containing solutions. Corros. Sci. 2017, 120, 90–98. [Google Scholar] [CrossRef]
- Li, X.; Wei, Y.H.; Wang, B.; Wei, Z.Y. Effect of cold rolling reduction on microstructure and mechanical properties of a nitrogen bearing martensitic stainless steel. Spec. Met. 2019, 40, 60–63. (In Chinese) [Google Scholar]
- Li, X.; Wei, Y.H. Effect of austenitising heat treatment on microstructure and properties of a nitrogen bearing martensitic stainless steel. Open Phys. 2019, 17, 601–606. [Google Scholar] [CrossRef]
- Ma, M.L.; Zhang, K.L.; Xing, G.; Li, Y.J.; Zhang, K. Hot deformation behavior of rare earth magnesium alloy without pre-homogenization treatment. Trans. Nonferrous Met. Soc. China 2008, 18, 132–139. [Google Scholar] [CrossRef]
- He, J.L.; Zhang, D.T.; Zhang, W.W.; Qiu, C.; Zhang, W. Constitutive Equation and Hot Compression Deformation Behavior of Homogenized Al–7.5Zn–1.5Mg–0.2Cu–0.2Zr Alloy. Materials 2017, 10, 1193. [Google Scholar] [CrossRef]
- Prasad, Y.V.R.K. Processing maps: A status report. J. Mater. Eng. Perform. 2003, 12, 638–645. [Google Scholar] [CrossRef]
- Zhao, Q.Y.; Yang, F.; Torrens, R.; Bolzoni, L. Evaluation of the hot workability and deformation mechanisms for a metastable beta titanium alloy prepared from powder. Mater. Charact. 2019, 149, 226–238. [Google Scholar] [CrossRef]
- Wen, D.X.; Lin, Y.C.; Chen, J.; Deng, J.; Chen, X.M.; Zhang, J.L.; He, M. Effects of initial aging time on processing map and microstructures of a nickel-based superalloy. Mater. Sci. Eng. A 2015, 620, 319–332. [Google Scholar] [CrossRef]
- Li, C.M.; Liu, Y.; Tan, Y.B.; Zhao, F. Hot Deformation Behavior and Constitutive Modeling of H13-Mod Steel. Metals 2018, 8, 846. [Google Scholar] [CrossRef]
- Ren, F.C.; Chen, F.; Chen, J.; Tang, X.Y. Hot deformation behavior and processing maps of AISI 420 martensitic stainless steel. J. Manuf. Process 2018, 31, 640–649. [Google Scholar] [CrossRef]
- Murty, S.V.S.N.; Rao, B.N.; Kashyap, B.P. Identification of flow instabilities in the processing maps of AISI 304 stainless steel. J. Mater. Process. Technol. 2005, 166, 268–278. [Google Scholar] [CrossRef]
- Momeni, A.; Dehghani, K. Characterization of hot deformation behavior of 410 martensitic stainless steel using constitutive equations and processing maps. Mater. Sci. Eng. A 2010, 527, 5467–5473. [Google Scholar] [CrossRef]
- Chen, L.; Xue, H.Y.; Ma, X.C.; Jin, M.; Long, H.J.; Mao, T.Q.; Wang, J.F. Processing map and hot deformation characteristics of 21Cr-11Ni-N-RE lean austenitic heat-resistant steel. Steel Res. Int. 2015, 86, 1583–1593. [Google Scholar] [CrossRef]
- Pu, E.X.; Zheng, W.J.; Xiang, J.Z.; Song, Z.G.; Li, J. Hot deformation characteristic and processing map of superaustenitic stainless steel S32654. Mater. Sci. Eng. A 2014, 598, 174–182. [Google Scholar] [CrossRef]
- Cai, Z.W.; Chen, F.X.; Guo, J.Q. Constitutive model for elevated temperature flow stress of AZ41M magnesium alloy considering the compensation of strain. J. Alloys Compd. 2015, 648, 215–222. [Google Scholar] [CrossRef]
- Liu, J.T.; Chang, H.B.; Wu, R.H.; Hsu, T.Y.; Ruan, X.Y. Investigation on hot deformation behavior of AISI T1 high-speed steel. Mater. Charact. 2000, 45, 175–186. [Google Scholar] [CrossRef]
- Jonas, J.J.; Sellars, C.M.; Tegart, W.J.M. Strength and structure under hot-working conditions. Int. Metall. Rev. 1969, 14, 1–24. [Google Scholar] [CrossRef]
- Li, H.B.; Jiao, W.C.; Feng, H.; Li, X.X.; Jiang, Z.H.; Li, G.P.; Wang, L.X.; Fan, G.W.; Han, P.D. Deformation characteristic and constitutive modeling of 2707 hyper duplex stainless steel under hot compression. Metals 2016, 6, 223. [Google Scholar] [CrossRef]
- Sun, C.Y.; Liu, G.; Zhang, Q.D.; Li, R.; Wang, L. Determination of hot deformation behavior and processing maps of IN 028 alloy using isothermal hot compression test. Mater. Sci. Eng. A 2014, 595, 92–98. [Google Scholar] [CrossRef]
- Mirzadeh, H.; Cabrera, J.M.; Prado, J.M.; Najafizadeh, A. Hot deformation behavior of a medium carbon microalloyed steel. Mater. Sci. Eng. A 2011, 528, 3876–3882. [Google Scholar] [CrossRef]
- Xiao, Y.H.; Guo, C.; Guo, X.Y. Constitutive modeling of hot deformation behavior of H62 brass. Mater. Sci. Eng. A 2011, 528, 6510–6518. [Google Scholar] [CrossRef]
- Zhang, J.Q.; Di, H.S.; Wang, X.Y.; Cao, Y.; Zhang, J.C.; Ma, T.J. Constitutive analysis of the hot deformation behavior of Fe–23Mn–2Al–0.2C twinning induced plasticity steel in consideration of strain. Mater. Des. 2013, 44, 354–364. [Google Scholar] [CrossRef]
- Dehghan, H.; Abbasi, S.M.; Momeni, A.; Karimi, T.A. On the constitutive modeling and microstructural evolution of hot compressed A286 iron-base superalloy. J. Alloys Compd. 2013, 564, 13–19. [Google Scholar] [CrossRef]
- Cao, Y.; Di, H.S.; Misra, R.D.K.; Yi, X.; Zhang, J.C.; Ma, T.J. On the hot deformation behavior of AISI 420 stainless steel based on constitutive analysis and CSL model. Mater. Sci. Eng. A 2014, 593, 111–119. [Google Scholar] [CrossRef]
- Ebrahimi, G.R.; Keshmiri, H.; Maldar, A.R.; Momeni, A. Dynamic recrystallization behavior of 13%Cr martensitic stainless steel under hot working condition. J. Mater. Sci. Technol. 2012, 28, 467–473. [Google Scholar] [CrossRef]
- Kim, S.I.; Yoo, Y.C. Dynamic recrystallization behavior of AISI 304 stainless steel. Mater. Sci. Eng. A 2001, 311, 108–113. [Google Scholar] [CrossRef]
- Sena, I.; Kottadab, R.S.; Ramamurty, U. High temperature deformation processing maps for boron modified Ti–6Al–4V alloys. Mater. Sci. Eng. A 2010, 527, 6157–6165. [Google Scholar] [CrossRef]
- Tan, Y.B.; Yang, L.H.; Tian, C.; Liu, W.C.; Liu, R.P.; Zhang, X.Y. Processing maps for hot working of 47Zr–45Ti–5Al–3V alloy. Mater. Sci. Eng. A 2014, 597, 171–177. [Google Scholar] [CrossRef]
- Murty, S.V.S.N.; Rao, B.N.; Kashyap, B.P. Instability criteria for hot deformation of materials. Int. Mater. Rev. 2000, 45, 15–26. [Google Scholar] [CrossRef]
- Quan, G.Z.; Zhao, L.; Chen, T.; Wang, Y.; Mao, Y.P.; Lv, W.Q.; Zhou, J. Identification for the optimal working parameters of as-extruded 42CrMo high-strength steel from a large range of strain, strain rate and temperature. Mater. Sci. Eng. A 2012, 538, 364–373. [Google Scholar] [CrossRef]
- Mandal, S.; Jayalakshmi, M.; Bhaduri, A.K.; Sarma, V.S. Effect of Strain Rate on the Dynamic Recrystallization Behavior in a Nitrogen-Enhanced 316L(N). Metall. Mater. Trans. A 2014, 45, 5645–5656. [Google Scholar] [CrossRef]
- Barnett, M.R. Twinning and the ductility of magnesium alloys: Part II. “Contraction” twins. Mater. Sci. Eng. A 2007, 464, 8–16. [Google Scholar] [CrossRef]



















| α | Value | n | Value | Q | Value | lnA | Value |
|---|---|---|---|---|---|---|---|
| B0 | 0.016 | C0 | 9.306 | D0 | 524.619 | E0 | 45.432 |
| B1 | −0.094 | C1 | −40.067 | D1 | −890.774 | E1 | −73.425 |
| B2 | 0.533 | C2 | 242.724 | D2 | 3918.746 | E2 | 285.684 |
| B3 | −1.624 | C3 | −818.773 | D3 | −6409.682 | E3 | −299.800 |
| B4 | 2.723 | C4 | 1450.887 | D4 | 19.204 | E4 | −548.697 |
| B5 | −2.343 | C5 | −1283.694 | D5 | 8418.527 | E5 | 1285.237 |
| B6 | 0.806 | C6 | 448.645 | D6 | −5332.214 | E6 | −676.125 |
Publisher’s Note: MDPI stays neutral with regard to jurisdictional claims in published maps and institutional affiliations. |
© 2020 by the authors. Licensee MDPI, Basel, Switzerland. This article is an open access article distributed under the terms and conditions of the Creative Commons Attribution (CC BY) license (http://creativecommons.org/licenses/by/4.0/).
Share and Cite
Li, X.; Hou, L.; Wei, Y.; Wei, Z. Constitutive Equation and Hot Processing Map of a Nitrogen-Bearing Martensitic Stainless Steel. Metals 2020, 10, 1502. https://doi.org/10.3390/met10111502
Li X, Hou L, Wei Y, Wei Z. Constitutive Equation and Hot Processing Map of a Nitrogen-Bearing Martensitic Stainless Steel. Metals. 2020; 10(11):1502. https://doi.org/10.3390/met10111502
Chicago/Turabian StyleLi, Xiao, Lifeng Hou, Yinghui Wei, and Zhengyan Wei. 2020. "Constitutive Equation and Hot Processing Map of a Nitrogen-Bearing Martensitic Stainless Steel" Metals 10, no. 11: 1502. https://doi.org/10.3390/met10111502
APA StyleLi, X., Hou, L., Wei, Y., & Wei, Z. (2020). Constitutive Equation and Hot Processing Map of a Nitrogen-Bearing Martensitic Stainless Steel. Metals, 10(11), 1502. https://doi.org/10.3390/met10111502
