Reliability and Criterion Validity of the Assess2Perform Bar Sensei
Abstract
1. Introduction
2. Materials and Methods
2.1. Study Design
2.2. Analysis
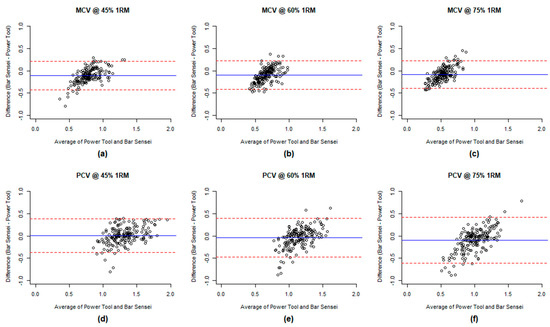
3. Results
4. Discussion
5. Conclusions
Author Contributions
Funding
Conflicts of Interest
References
- Rodríguez-Rosell, D.; Torres-Torrelo, J.; Franco-Márquez, F.; González-Suárez, J.M.; González-Badillo, J.J. Effects of light-load maximal lifting velocity weight training vs. combined weight training and plyometrics on sprint, vertical jump and strength performance in adult soccer players. J. Sci. Med. Sport 2017, 20, 695–699. [Google Scholar] [CrossRef] [PubMed]
- Torres-Torrelo, J.; Rodríguez-Rosell, D.; González-Badillo, J.J. Light-load maximal lifting velocity full squat training program improves important physical and skill characteristics in futsal players. J. Sports Sci. 2017, 35, 967–975. [Google Scholar] [CrossRef] [PubMed]
- Ramirez, J.M.; Nunez, V.M.; Lancho, C.; Poblador, M.S.; Lancho, J.L. Velocity-Based Training of Lower Limb to Improve Absolute and Relative Power Outputs in Concentric Phase of Half-Squat in Soccer Players. J. Strength Cond. Res. 2015, 29, 3084–3088. [Google Scholar] [CrossRef] [PubMed]
- Banyard, H.G.; Nosaka, K.; Haff, G.G. Reliability and Validity of the Load-Velocity Relationship to Predict the 1RM Back Squat. J. Strength Cond. Res. 2017, 31, 1897–1904. [Google Scholar] [CrossRef] [PubMed]
- Sanchez-Moreno, M.; Rodriguez-Rosell, D.; Pareja-Blanco, F.; Mora-Custodio, R.; Gonzalez-Badillo, J.J. Movement velocity as indicator of relative intensity and level of effort attained during the set in pull-Up exercise. Int. J. Sports Physiol. Perform. 2017, 12, 1–23. [Google Scholar] [CrossRef] [PubMed]
- Picerno, P.; Iannetta, D.; Comotto, S.; Donati, M.; Pecoraro, F.; Zok, M.; Tollis, G.; Figura, M.; Varalda, C.; Di Muzio, D.; et al. 1RM prediction: A novel methodology based on the force–velocity and load–velocity relationships. Eur. J. Appl. Physiol. 2016, 116, 2035–2043. [Google Scholar] [CrossRef] [PubMed]
- Beckham, G.K.; Olmeda, J.J.; Flores, A.J.; Echeverry, J.A.; Campos, A.F.; Kim, S.B. Relationship Between Maximum Pull-up Repetitions and First Repetition Mean Concentric Velocity. J. Strength Cond. Res. 2018, 32, 1831–1837. [Google Scholar] [CrossRef] [PubMed]
- Sanchez-Medina, L.; Gonzalez-Badillo, J.J. Velocity Loss as an Indicator of Neuromuscular Fatigue during Resistance Training. Med. Sci. Sports Exerc. 2011, 43, 1725–1734. [Google Scholar] [CrossRef]
- Foster, C.; Florhaug, J.A.; Franklin, J.; Gottschall, L.; Hrovatin, L.A.; Parker, S.; Doleshal, P.; Dodge, C. A new approach to monitoring exercise training. J. Strength Cond. Res. 2001, 15, 109–115. [Google Scholar]
- Robertson, R.J.; Goss, F.L.; Rutkowski, J.; Lenz, B.; Dixon, C.; Timmer, J.; Frazee, K.; Dube, J.; Andreacci, J. Concurrent validation of the OMNI perceived exertion scale for resistance exercise. Med. Sci. Sports Exerc. 2003, 35, 333–341. [Google Scholar] [CrossRef]
- Kinetic Performance GymAware User Guide. Available online: https://www.kinetic.com.au/pdf/GA_UserGuide_2016s.pdf (accessed on 29 October 2019).
- Sato, K.; Beckham, G.K.; Carroll, K.; Bazyler, C.; Sha, Z.; Haff, G.G. Validity of wireless device measuring velocity of resistance exercises. J. Trainol. 2015, 4, 15–18. [Google Scholar] [CrossRef]
- Kok, M.; Hol, J.D.; Schön, T.B. Using Inertial Sensors for Position and Orientation Estimation; Now Foundations and Trends: Delft, The Netherlands, 2017; ISBN 9781680833560. [Google Scholar]
- Balsalobre-Fernández, C.; Kuzdub, M.; Poveda-Ortiz, P.; Campo-Vecino, J.D. Validity and Reliability of the PUSH Wearable Device to Measure Movement Velocity during the Back Squat Exercise. J. Strength Cond. Res. 2016, 30, 1968–1974. [Google Scholar] [CrossRef]
- Balsalobre-Fernández, C.; Marchante, D.; Baz-Valle, E.; Alonso-Molero, I.; Jiménez, S.L.; Muñóz-López, M. Analysis of Wearable and Smartphone-Based Technologies for the Measurement of Barbell Velocity in Different Resistance Training Exercises. Front. Physiol. 2017, 8, 649. [Google Scholar] [CrossRef]
- Orange, S.T.; Metcalfe, J.W.; Liefeith, A.; Marshall, P.; Madden, L.A.; Fewster, C.R.; Vince, R.V. Validity and Reliability of a Wearable Inertial Sensor to Measure Velocity and Power in the Back Squat and Bench Press. J. Strength Cond. Res. 2019, 33, 2398–2408. [Google Scholar] [CrossRef]
- Bakdash, J.Z.; Marusich, L.R. Repeated Measures Correlation. Front. Psychol. 2017, 8, 456. [Google Scholar] [CrossRef]
- Hopkins, W.G. Measures of reliability in sports medicine and science. Sports Med. 2000, 30, 1–15. [Google Scholar] [CrossRef]
- Bland, J.M.; Altman, D.G. Statistical methods for assessing agreement between two methods of clinical measurement. Lancet 1986, 327, 307–310. [Google Scholar] [CrossRef]
- Dorrell, H.F.; Moore, J.M.; Smith, M.F.; Gee, T.I. Validity and reliability of a linear positional transducer across commonly practised resistance training exercises. J. Sports Sci. 2018, 37, 1–7. [Google Scholar] [CrossRef] [PubMed]
- Orange, S.T.; Metcalfe, J.W.; Marshall, P.; Vince, R.V.; Madden, L.A.; Liefeith, A. Test-Retest Reliability of a Commercial Linear Position Transducer (GymAware PowerTool) to Measure Velocity and Power in the Back Squat and Bench Press. J. Strength Cond. Res. 2018. [Google Scholar] [CrossRef] [PubMed]
- Crewther, B.T.; Kilduff, L.P.; Cunningham, D.J.; Cook, C.; Owen, N.; Yang, G.Z. Validating two systems for estimating force and power. Int. J. Sports Med. 2011, 32, 254–258. [Google Scholar] [CrossRef]
- Haff, G.; Triplett, N.T. National Strength & Conditioning Association (U.S.) Essentials of Strength Training and Conditioning, 4th ed.; Human Kinetics: Champaign, IL, USA, 2016; ISBN 9781492501626. [Google Scholar]
- Vikmoen, O.; Raastad, T.; Seynnes, O.; Bergstrom, K.; Ellefsen, S.; Ronnestad, B.R. Effects of Heavy Strength Training on Running Performance and Determinants of Running Performance in Female Endurance Athletes. PLoS ONE 2016, 11, e0150799. [Google Scholar] [CrossRef] [PubMed]
- Shrout, P.E.; Fleiss, J.L. Intraclass correlations: Uses in assessing rater reliability. Psychol. Bull. 1979, 86, 420–428. [Google Scholar] [CrossRef] [PubMed]
- Koo, T.K.; Li, M.Y. A Guideline of Selecting and Reporting Intraclass Correlation Coefficients for Reliability Research. J. Chiropr. Med. 2016, 15, 155–163. [Google Scholar] [CrossRef] [PubMed]
- Cicchetti, D.V. Guidelines, criteria, and rules of thumb for evaluating normed and standardized assessment instruments in psychology. Psychol. Assess. 1994, 6, 284–290. [Google Scholar] [CrossRef]
- Altman, D.G.; Bland, J.M. Measurement in Medicine: The Analysis of Method Comparison Studies. J. R. Stat. Soc. Ser. D (Stat.) 1983, 32, 307–317. [Google Scholar] [CrossRef]
- R Core Team. R: A Language and Environment for Statistical Computing; R Foundation for Statistical Computing: Vienna, Austria, 2019. [Google Scholar]
- Bates, D.; Maechler, M.; Bolker, B.; Walker, S.; Christensen, R.; Singmann, H.; Dai, B.; Scheipl, F.; Grothendieck, G.; Green, P. Fitting Linear Mixed-Effects Models Using lme4. J. Stat. Softw. 2015, 67, 1–48. [Google Scholar] [CrossRef]
- Revelle, W. R Package “Psych”; Northwestern University: Evanston, IL, USA, 2018. [Google Scholar]
- Courel-Ibáñez, J.; Martínez-Cava, A.; Morán-Navarro, R.; Escribano-Peñas, P.; Chavarren-Cabrero, J.; González-Badillo, J.J.; Pallarés, J.G. Reproducibility and Repeatability of Five Different Technologies for Bar Velocity Measurement in Resistance Training. Ann. Biomed. Eng. 2019, 47, 1523–1538. [Google Scholar] [CrossRef]
- Banyard, H.G.; Nosaka, K.; Sato, K.; Haff, G.G. Validity of Various Methods for Determining Velocity, Force and Power in the Back Squat. Int. J. Sports Physiol. Perform. 2017, 12, 1–25. [Google Scholar] [CrossRef]
- Lorenzetti, S.; Lamparter, T.; Luthy, F. Validity and reliability of simple measurement device to assess the velocity of the barbell during squats. BMC Res. Notes 2017, 10, 707. [Google Scholar] [CrossRef]
- Mann, J.B.; Ivey, P.A.; Sayers, S.P. Velocity-based training in football. Strength Cond. J. 2015, 37, 52–57. [Google Scholar] [CrossRef]



| Kinematic Variable | Load | Between Device ICC | Mean Difference (β) | Ratio of SDs (γ) | |||
|---|---|---|---|---|---|---|---|
| Estimate (95% CI) | p-Value | Estimate (95% CI) | p-Value | Estimate (95% CI) | p-Value | ||
| MCV | 45% 1RM | 0.482 (0.267, 0.638) | <0.001 | −0.106 (−0.131, −0.081) | <0.001 | 2.888 (2.480, 3.360) | <0.001 |
| 60% 1RM | 0.303 (0.126, 0.471) | <0.001 | −0.094 (−0.118, −0.070) | <0.001 | 3.558 (3.055, 4.099) | <0.001 | |
| 75% 1RM | 0.329 (0.154, 0.495) | <0.001 | −0.081 (−0.105, −0.058) | <0.001 | 3.319 (2.832, 3.846) | <0.001 | |
| PCV | 45% 1RM | 0.555 (0.335, 0.703) | <0.001 | 0.009 (−0.022, 0.040) | 0.564 | 2.272 (1.974, 2.639) | <0.001 |
| 60% 1RM | 0.362 (0.185, 0.519) | <0.001 | −0.037 (−0.071, −0.004) | 0.028 | 3.123 (2.697, 3.581) | <0.001 | |
| 75% 1RM | 0.361 (0.187, 0.527) | <0.001 | −0.099 (−0.136, −0.061) | <0.001 | 3.425 (2.936, 3.983) | <0.001 | |
| Kinematic Variable | Load | PowerTool ICC | Bar Sensei ICC | ||
|---|---|---|---|---|---|
| Estimate (95% CI) | p-Value | Estimate (95% CI) | p-Value | ||
| MCV | 45% 1RM | 0.774 (0.594, 0.868) | <0.001 | 0.419 (0.201, 0.593) | <0.001 |
| 60% 1RM | 0.752 (0.548, 0.855) | <0.001 | 0.171 (0.032, 0.322) | 0.010 | |
| 75% 1RM | 0.651 (0.418, 0.784) | <0.001 | 0.295 (0.116, 0.471) | <0.001 | |
| PCV | 45% 1RM | 0.793 (0.605, 0.880) | <0.001 | 0.451 (0.221, 0.619) | <0.001 |
| 60% 1RM | 0.775 (0.578, 0.870) | <0.001 | 0.273 (0.098, 0.440) | <0.001 | |
| 75% 1RM | 0.761 (0.554, 0.859) | <0.001 | 0.349 (0.151, 0.529) | <0.001 | |
© 2019 by the authors. Licensee MDPI, Basel, Switzerland. This article is an open access article distributed under the terms and conditions of the Creative Commons Attribution (CC BY) license (http://creativecommons.org/licenses/by/4.0/).
Share and Cite
Beckham, G.K.; Layne, D.K.; Kim, S.B.; Martin, E.A.; Perez, B.G.; Adams, K.J. Reliability and Criterion Validity of the Assess2Perform Bar Sensei. Sports 2019, 7, 230. https://doi.org/10.3390/sports7110230
Beckham GK, Layne DK, Kim SB, Martin EA, Perez BG, Adams KJ. Reliability and Criterion Validity of the Assess2Perform Bar Sensei. Sports. 2019; 7(11):230. https://doi.org/10.3390/sports7110230
Chicago/Turabian StyleBeckham, George K., Danielle K. Layne, Steven B. Kim, Eric A. Martin, Benjamin G. Perez, and Kent J. Adams. 2019. "Reliability and Criterion Validity of the Assess2Perform Bar Sensei" Sports 7, no. 11: 230. https://doi.org/10.3390/sports7110230
APA StyleBeckham, G. K., Layne, D. K., Kim, S. B., Martin, E. A., Perez, B. G., & Adams, K. J. (2019). Reliability and Criterion Validity of the Assess2Perform Bar Sensei. Sports, 7(11), 230. https://doi.org/10.3390/sports7110230

