Increased Parasympathetic Activity by Foot Reflexology Massage after Repeated Sprint Test in Collegiate Football Players: A Randomised Controlled Trial
Abstract
1. Introduction
2. Materials and Methods
2.1. Participants
2.2. Sample Size Estimation
2.3. Experimental Procedure
2.4. Reflexology Intervention
2.5. Exercise Protocols
2.5.1. YY Intermittent Recovery Test Level 1
2.5.2. Repeated Sprint Ability Test
2.6. Measurements
2.6.1. Heart Rate Variability
2.6.2. Blood Lactate Measurement
2.6.3. Rating of Perceived Execution
2.7. Data Analyses
2.8. Statistical Analyses
3. Results
3.1. Exercise Performance
3.2. Rating of Perceived Exertion, Blood Lactate and Exercise Peak Heart Rate
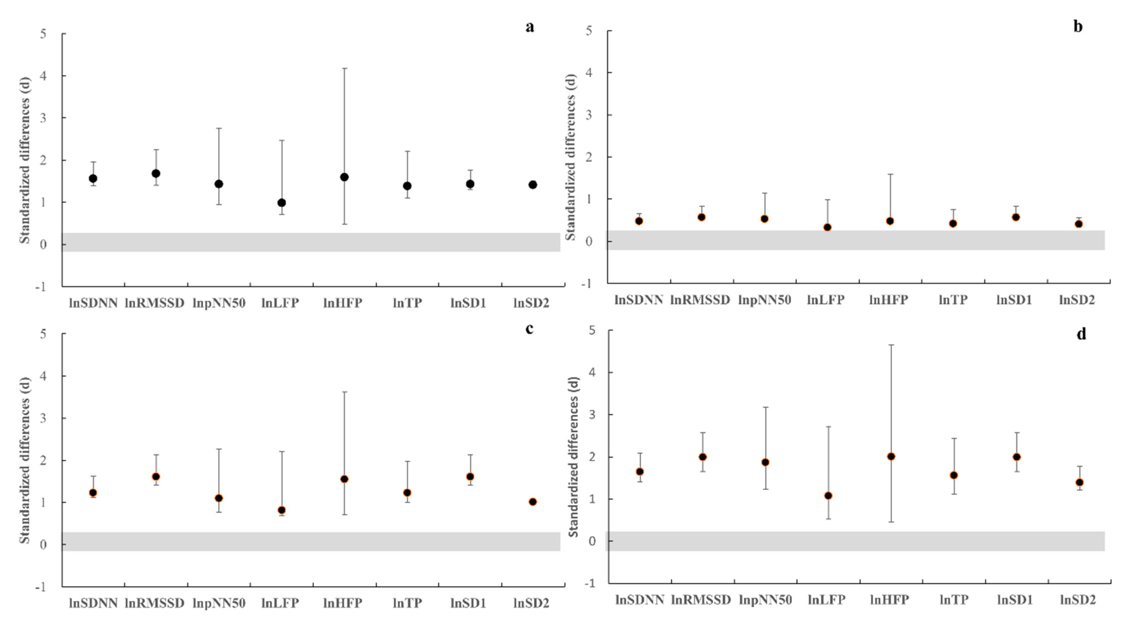
3.3. Heart Rate Variability
4. Discussion
5. Conclusions
Author Contributions
Funding
Conflicts of Interest
References
- Best, T.M.; Crawford, S.K. Massage and postexercise recovery: The science is emerging. Br. J. Sports Med. 2017, 51, 1386–1387. [Google Scholar] [CrossRef] [PubMed]
- Guo, J.; Li, L.; Gong, Y.; Zhu, R.; Xu, J.; Zou, J.; Chen, X. Massage alleviates delayed onset muscle soreness after strenuous exercise: A systematic review and meta-analysis. Front. Physiol. 2017, 8. [Google Scholar] [CrossRef] [PubMed]
- Andersen, L.L.; Jay, K.; Andersen, C.H.; Jakobsen, M.D.; Sundstrup, E.; Topp, R.; Behm, D.G. Acute effects of massage or active exercise in relieving muscle soreness: Randomized controlled trial. J. Strength Cond. Res. 2013, 27, 3352–3359. [Google Scholar] [CrossRef] [PubMed]
- Han, J.-H.; Kim, M.-J.; Yang, H.-J.; Lee, Y.-J.; Sung, Y.-H. Effects of therapeutic massage on gait and pain after delayed onset muscle soreness. J. Exerc. Rehabil. 2014, 10, 136–140. [Google Scholar] [CrossRef] [PubMed]
- Wiltshire, E.V.; Poitras, V.; Pak, M.; Hong, T.; Rayner, J.; Tschakovsky, M. Massage impairs postexercise muscle blood flow and “lactic acid” removal. Med. Sci. Sports Exerc. 2010, 42, 1062–1071. [Google Scholar] [CrossRef]
- Hemmings, B.; Smith, M.; Graydon, J.; Dyson, R. Effects of massage on physiological restoration, perceived recovery, and repeated sports performance. Br. J. Sports Med. 2000, 34, 109–114. [Google Scholar] [CrossRef]
- Poppendieck, W.; Wegmann, M.; Ferrauti, A.; Kellmann, M.; Pfeiffer, M.; Meyer, T. Massage and performance recovery: A meta-analytical review. Sports Med. 2016, 46, 183–204. [Google Scholar] [CrossRef]
- Zollman, C.; Vickers, A. What is complementary medicine? BMJ 1999, 319, 693–696. [Google Scholar] [CrossRef]
- McCullough, J.E.M.; Liddle, S.D.; Sinclair, M.; Close, C.; Hughes, C.M. The physiological and biochemical outcomes associated with a reflexology treatment: A systematic review. Evid. Based Complement. Altern. Med. 2014, 502123. [Google Scholar] [CrossRef]
- Ernst, E. Is reflexology an effective intervention? A systematic review of randomised controlled trials. Med. J. Aust. 2009, 191, 263–266. [Google Scholar] [CrossRef]
- Rollinson, K.; Jones, J.; Scott, N.; Megson, I.L.; Leslie, S.J. The acute (immediate) effects of reflexology on arterial compliance in healthy volunteers: A randomised study. Complement. Ther. Clin. Pract. 2016, 22, 16–20. [Google Scholar] [CrossRef] [PubMed]
- Lu, W.-A.; Chen, G.-Y.; Kuo, C.-D. Foot reflexology can increase vagal modulation, decrease sympathetic modulation, and lower blood pressure in healthy subjects and patients with coronary artery disease. Altern. Ther. Health Med. 2011, 17, 8–14. [Google Scholar] [PubMed]
- Stanley, J.; Peake, J.M.; Buchheit, M. Cardiac parasympathetic reactivation following exercise: Implications for training prescription. Sports Med. 2013, 43, 1259–1277. [Google Scholar] [CrossRef] [PubMed]
- Bangsbo, J.; Mohr, M.; Krustrup, P. Physical and metabolic demands of training and match-play in the elite football player. J. Sports Sci. 2006, 24, 665–674. [Google Scholar] [CrossRef] [PubMed]
- Chen, Y.-S.; Liao, C.-J.; Lu, W.-A.; Kuo, C.-D. Sympathetic enhancement in futsal players but not in football players after repeated sprint ability test. BMJ Open Sport Exerc. Med. 2015, e000049. [Google Scholar] [CrossRef] [PubMed]
- Faul, F.; Erdfelder, E.; Buchner, A.; Lang, A.-G. Statistical power analyses using G*Power 3.1: Tests for correlation and regression analyses. Behav. Res. Methods 2009, 41, 1149–1160. [Google Scholar] [CrossRef]
- Bangsbo, J.; Iaia, F.M.; Krustrup, P. The Yo-Yo intermittent recovery test: A useful tool for evaluation of physical performance in intermittent sports. Sports Med. 2008, 38, 37–51. [Google Scholar] [CrossRef]
- Impellizzeri, F.M.; Rampinini, E.; Castagna, C.; Bishop, D.; Ferrari Bravo, D.; Tibaudi, A.; Wisloff, U. Validity of a repeated-sprint test for football. Int. J. Sports Med. 2008, 29, 899–905. [Google Scholar] [CrossRef]
- Rawenwaaij-Arts, C.M.A.; Kallee, L.A.A.; Hopman, J.C.M. Task Force of the European Society of Cardiology and the North American Society of Pacing Electrophysiology. Heart rate variability: Standards of measurement, physiological interpretation, and clinical use. Circulation 1996, 93, 1043–1065. [Google Scholar] [CrossRef]
- Tarvainen, M.P.; Niskanen, J.-P.; Lipponen, J.A.; Ranta-aho, P.O.; Karjalainen, P.A. Kubios HRV—Heart rate variability analysis software. Comput. Methods Programs Biomed. 2014, 113, 210–220. [Google Scholar] [CrossRef]
- Borg, G.A. Psychophysical bases of perceived exertion. Med. Sci. Sports Exerc. 1982, 14, 377–381. [Google Scholar] [CrossRef] [PubMed]
- Girard, O.; Mendez-Villanueva, A.; Bishop, D. Repeated-Sprint Ability—Part, I. Sports Med. 2011, 41, 673–694. [Google Scholar] [CrossRef] [PubMed]
- Hopkins, W.G.; Marshall, S.W.; Batterham, A.M.; Hanin, J. Progressive statistics for studies in sports medicine and exercise science. Med. Sci. Sports Exerc. 2009, 41, 3–12. [Google Scholar] [CrossRef] [PubMed]
- Mantovani Junior, N.; Pizzo Junior, E.; Dos Santos Siqueira, M.; De Souza Cavina, A.P.; Pastre, C.M.; Marques Vanderlei, F. Effects of massage as a recuperative technique on autonomic modulation of heart rate and cardiorespiratory parameters: A study protocol for a randomized clinical trial. Trials 2018, 19, 459. [Google Scholar] [CrossRef] [PubMed]
- Michael, S.; Jay, O.; Halaki, M.; Graham, K.; Davis, G.M. Submaximal exercise intensity modulates acute post-exercise heart rate variability. Eur. J. Appl. Physiol. 2016, 116, 697–706. [Google Scholar] [CrossRef]
- Buchheit, M.; Laursen, P.B.; Ahmaidi, S. Parasympathetic reactivation after repeated sprint exercise. Am. J. Physiol. Heart Circ. Physiol. 2007, 293, H133–H141. [Google Scholar] [CrossRef]




| Physical and Physiological Profiles | Foot Reflexology Massage (n = 14) | Control (n = 12) | p-Value |
|---|---|---|---|
| RSA Exercise Protocol | |||
| RSAtotal (s) | 45.6 (44.5–46.3) | 45.9 (44.9–48.2) | 0.449 |
| RSAslowest (s) | 7.8 (7.6–7.9) | 7.9 (7.7–8.3) | 0.317 |
| RSAfastest (s) | 7.4 (7.1–7.5) | 7.5 (7.2–7.8) | 0.542 |
| RSAdecrement (%) | −3.7 (−4.6–−2.6) | −3.5 (−6.6–−2.6) | 0.826 |
| Peak HR response (bpm) | 170.0 (162.8–178.0) | 171.0 (160.0–178.0) | 0.961 |
| Pre-exercise BL (mmol/L) | 1.9 (1.5–2.5) | 2.1 (1.7–2.7) | 0.769 |
| Post-exercise BL (mmol/L) | 9.9 (9.2–13.9) | 9.8 (9.3–11.6) | 0.366 |
| First lap RPE | 7.0 (7.0–10.0) | 7.0 (7.0–9.5) | 0.510 |
| Last lap RPE | 15.0 (10.0–16.0) | 15.0 (13.3–20.0) | 0.161 |
| YY Exercise Protocol | |||
| Total covered distance (m) | 1300.0 (1080.0–1640.0) | 1020.0 (810.0–1260.0) | 0.074 |
| Peak HR response (bpm) | 190.0 (185.0–193.0) | 185.0 (176.0–1948.0) | 0.340 |
| Pre-exercise BL (mmol/L) | 1.8 (1.4–2.1) | 1.8 (1.5–2.3) | 0.777 |
| Post-exercise BL (mmol/L) | 13.0 (10.6–16.0) | 14.0 (12.0–14.9) | 0.938 |
| First lap RPE | 7.0 (6.0–7.0) | 7.0 (6.3–8.5) | 0.434 |
| Last lap RPE | 20.0 (20.0–20.0) | 20.0 (20.0–20.0) | 0.412 |
© 2019 by the authors. Licensee MDPI, Basel, Switzerland. This article is an open access article distributed under the terms and conditions of the Creative Commons Attribution (CC BY) license (http://creativecommons.org/licenses/by/4.0/).
Share and Cite
Chen, Y.-S.; Lu, W.-A.; Clemente, F.M.; Bezerra, J.P.; Kuo, C.-D. Increased Parasympathetic Activity by Foot Reflexology Massage after Repeated Sprint Test in Collegiate Football Players: A Randomised Controlled Trial. Sports 2019, 7, 228. https://doi.org/10.3390/sports7110228
Chen Y-S, Lu W-A, Clemente FM, Bezerra JP, Kuo C-D. Increased Parasympathetic Activity by Foot Reflexology Massage after Repeated Sprint Test in Collegiate Football Players: A Randomised Controlled Trial. Sports. 2019; 7(11):228. https://doi.org/10.3390/sports7110228
Chicago/Turabian StyleChen, Yung-Sheng, Wan-An Lu, Filipe Manuel Clemente, José Pedro Bezerra, and Cheng-Deng Kuo. 2019. "Increased Parasympathetic Activity by Foot Reflexology Massage after Repeated Sprint Test in Collegiate Football Players: A Randomised Controlled Trial" Sports 7, no. 11: 228. https://doi.org/10.3390/sports7110228
APA StyleChen, Y.-S., Lu, W.-A., Clemente, F. M., Bezerra, J. P., & Kuo, C.-D. (2019). Increased Parasympathetic Activity by Foot Reflexology Massage after Repeated Sprint Test in Collegiate Football Players: A Randomised Controlled Trial. Sports, 7(11), 228. https://doi.org/10.3390/sports7110228

