Physiological Characteristics of Incoming Freshmen Field Players in a Men’s Division I Collegiate Soccer Team
Abstract
:1. Introduction
2. Materials and Methods
2.1. Subjects
2.2. Procedures
2.3. Vertical Jump (VJ)
2.4. Standing Broad Jump (SBJ)
2.5. Triple Hop (TH)
2.6. 30-m Sprint
2.7. 505 Change-of-Direction (COD) Speed Test
2.8. Yo-Yo Intermittent Recovery Test Level 2 (YYIIRT2)
2.9. Repeated-Sprint Ability (RSA) Test
- PD: the decrement in sprint performance was measured as the percent change in sprint time from the first to last sprint [21]. This was calculated via the equation: Percent change (%) = [(last sprint time − first sprint time)/first sprint time] × 100.
2.10. Statistical Analysis
3. Results
4. Discussion
5. Conclusions
Acknowledgments
Author Contributions
Conflicts of Interest
Abbreviations
| COD | Change-of-direction |
| RSA | Repeated-sprint ability |
| VJ | Vertical jump |
| SBJ | Standing broad jump |
| TH | Triple hop |
| m | Meter |
| YYIRT2 | Yo-Yo Intermittent Recovery Test level 2 |
| s | Second |
| km·h−1 | Kilometers per hour |
| RSA TT | sum of all sprint times from the RSA test |
| PSA PD | sprint time decrement measured as percentage from first to last sprint in RSA test |
| SD | Standard deviation |
| p | Significance |
| d | Effect size |
| SWC | Smallest worthwhile change |
| FM | Freshmen |
| EXP | Experienced |
References
- NCAA. Ncaa Sports Sponsorship and Participation Rates Report 1981-1982–2010-2011; NCAA: Indianapolis, IN, USA, 2012. [Google Scholar]
- Bergman, S.A.; Logan, T.D. The effect of recruit quality on college football team performance. J. Sports Econ. 2014. [Google Scholar] [CrossRef]
- Dupler, T.L.; Amonette, W.E.; Coleman, A.E.; Hoffman, J.R.; Wenzel, T. Anthropometric and performance differences among high-school football players. J. Strength Cond. Res. 2010, 24, 1975–1982. [Google Scholar] [CrossRef] [PubMed]
- Hoffman, J.R.; Ratamess, N.A.; Kang, J. Performance changes during a college playing career in NCAA Division III football athletes. J. Strength Cond. Res. 2011, 25, 2351–2357. [Google Scholar] [CrossRef] [PubMed]
- Stodden, D.F.; Galitski, H.M. Longitudinal effects of a collegiate strength and conditioning program in American football. J. Strength Cond. Res. 2011, 24, 2300–2308. [Google Scholar] [CrossRef] [PubMed]
- Chapman, P.P.; Whitehead, J.R.; Binkert, R.H. The 225-1b reps-to-fatigue test as a submaximal estimate of 1-rm bench press performance in college football players. J. Strength Cond. Res. 1998, 12, 258–261. [Google Scholar] [CrossRef]
- Arent, S.M.; Pellegrino, J.K.; Williams, C.A.; Difabio, D.A.; Greenwood, J.C. Nutritional supplementation, performance, and oxidative stress in college soccer players. J. Strength Cond. Res. 2010, 24, 1117–1124. [Google Scholar] [CrossRef] [PubMed]
- Boone, J.; Vaeyens, R.; Steyaert, A.; Vanden Bossche, L.; Bourgois, J. Physical fitness of elite belgian soccer players by player position. J. Strength Cond. Res. 2012, 26, 2051–2057. [Google Scholar] [CrossRef] [PubMed]
- Lockie, R.G.; Murphy, A.J.; Knight, T.J.; Janse de Jonge, X.A.K. Factors that differentiate acceleration ability in field sport athletes. J. Strength Cond. Res. 2011, 25, 2704–2714. [Google Scholar] [CrossRef] [PubMed]
- Faude, O.; Koch, T.; Meyer, T. Straight sprinting is the most frequent action in goal situations in professional football. J. Sports Sci. 2012, 30, 625–631. [Google Scholar] [CrossRef] [PubMed]
- Krustrup, P.; Mohr, M.; Nybo, L.; Jensen, J.M.; Nielsen, J.J.; Bangsbo, J. The yo-yo ir2 test: Physiological response, reliability, and application to elite soccer. Med. Sci. Sports Exerc. 2006, 38, 1666–1673. [Google Scholar] [CrossRef] [PubMed]
- Bloomfield, J.; Polman, R.; O’Donoghue, P. Physical demands of different positions in fa premier league soccer. J. Sports Sci. Med. 2007, 6, 63–70. [Google Scholar] [PubMed]
- Wisloff, U.; Castagna, C.; Helgerud, J.; Jones, R.; Hoff, J. Strong correlation of maximal squat strength with sprint performance and vertical jump height in elite soccer players. Br. J. Sports Med. 2004, 38, 285–288. [Google Scholar] [CrossRef] [PubMed]
- Hamilton, R.T.; Shultz, S.J.; Schmitz, R.J.; Perrin, D.H. Triple-hop distance as a valid predictor of lower limb strength and power. J. Athl. Train. 2008, 43, 144–151. [Google Scholar] [CrossRef] [PubMed]
- Lockie, R.G.; Schultz, A.B.; Jordan, C.A.; Callaghan, S.J.; Jeffriess, M.D.; Luczo, T.M. Can selected functional movement screen assessments be used to identify movement deficiencies that could affect multidirectional speed and jump performance? J. Strength Cond. Res. 2015, 29, 195–205. [Google Scholar] [CrossRef] [PubMed]
- Maio Alves, J.M.; Rebelo, A.N.; Abrantes, C.; Sampaio, J. Short-term effects of complex and contrast training in soccer players’ vertical jump, sprint, and agility abilities. J. Strength Cond. Res. 2010, 24, 936–941. [Google Scholar] [CrossRef] [PubMed]
- Sporis, G.; Jukic, I.; Ostojic, S.M.; Milanovic, D. Fitness profiling in soccer: Physical and physiologic characteristics of elite players. J. Strength Cond. Res. 2009, 23, 1947–1953. [Google Scholar] [CrossRef] [PubMed]
- Magal, M.; Smith, R.T.; Dyer, J.J.; Hoffman, J.R. Seasonal variation in physical performance-related variables in male ncaa division iii soccer players. J. Strength Cond. Res. 2009, 23, 2555–2559. [Google Scholar] [CrossRef] [PubMed]
- Nimphius, S.; Callaghan, S.J.; Sptieri, T.; Lockie, R.G. Change of direction deficit: A more isolated measure of change of direction performance than total 505 time. J. Strength Cond. Res. 2016, in press. [Google Scholar] [CrossRef] [PubMed]
- Karakoç, B.; Akalan, C.; Alemdaroğlu, U.; Arslan, E. The relationship between the yo-yo tests, anaerobic performance and aerobic performance in young soccer players. J. Hum. Kinet. 2012, 35, 81–88. [Google Scholar] [CrossRef] [PubMed]
- Chaouachi, A.; Manzi, V.; Wong del, P.; Chaalali, A.; Laurencelle, L.; Chamari, K.; Castagna, C. Intermittent endurance and repeated sprint ability in soccer players. J. Strength Cond. Res. 2010, 24, 2663–2669. [Google Scholar] [CrossRef] [PubMed]
- Pyne, D.B.; Saunders, P.U.; Montgomery, P.G.; Hewitt, A.J.; Sheehan, K. Relationships between repeated sprint testing, speed, and endurance. J. Strength Cond. Res. 2008, 22, 1633–1637. [Google Scholar] [CrossRef] [PubMed]
- Hopkins, W.G. How to interpret changes in an athletic performance test. Sportscience 2004, 8, 1–7. [Google Scholar]
- Buchheit, M. The numbers will love you back in return—I promise. Int. J. Sports Physiol. Perform. 2016, 11, 551–554. [Google Scholar] [CrossRef] [PubMed]
- Winter, E.M.; Abt, G.A.; Nevill, A.M. Metrics of meaningfulness as opposed to sleights of significance. J. Sports Sci. 2014, 32, 901–902. [Google Scholar] [CrossRef] [PubMed]
- Faul, F.; Erdfelder, E.; Lang, A.G.; Buchner, A. G*power 3: A flexible statistical power analysis program for the social, behavioral, and biomedical sciences. Behav. Res. Methods 2007, 39, 175–191. [Google Scholar] [CrossRef] [PubMed]
- Winter, E.M.; Maughan, R.J. Requirements for ethics approvals. J. Sports Sci. 2009, 27, 985. [Google Scholar] [CrossRef] [PubMed]
- Lockie, R.G.; Jeffriess, M.D.; Schultz, A.B.; Callaghan, S.J. Relationship between absolute and relative power with linear and change-of-direction speed in junior american football players from australia. J. Aust. Strength Cond. 2012, 20, 4–12. [Google Scholar]
- McFarland, I.; Dawes, J.J.; Elder, C.; Lockie, R. Relationship of two vertical jumping tests to sprint and change of direction speed among male and female collegiate soccer players. Sports 2016, 4. [Google Scholar] [CrossRef]
- Stockbrugger, B.A.; Haennel, R.G. Contributing factors to performance of a medicine ball explosive power test: A comparison between jump and nonjump athletes. J. Strength Cond. Res. 2003, 17, 768–774. [Google Scholar] [CrossRef] [PubMed]
- Fusion Sport. Timing Accuracy: Are You up to Speed? 2010. Available online: http://www.fusionsport.com/support/product-information/research-tech-specs?download=54:timing-accuracy-research-update (accessed on 23 May 2016).
- Lockie, R.G.; Schultz, A.B.; Callaghan, S.J.; Jeffriess, M.D.; Berry, S.P. Reliability and validity of a new test of change-of-direction speed for field-based sports: The change-of-direction and acceleration test (codat). J. Sports Sci. Med. 2013, 12, 88–96. [Google Scholar] [PubMed]
- Cohen, J. Statistical Power Analysis for the Behavioral Sciences, 2nd ed.; Lawrence Earlbaum Associates: Hillsdale, NJ, USA, 1988; p. 567. [Google Scholar]
- Durlak, J.A. How to select, calculate, and interpret effect sizes. J. Pediatr. Psychol. 2009, 34, 917–928. [Google Scholar] [CrossRef] [PubMed]
- McGuigan, M.R.; Cormack, S.J.; Gill, N.D. Strength and power profiling of athletes: Selecting tests and how to use the information for program design. Strength Cond. J. 2013, 35, 7–14. [Google Scholar] [CrossRef]
- Haugen, T.A.; Tonnessen, E.; Seiler, S. Speed and countermovement-jump characteristics of elite female soccer players, 1995–2010. Int. J. Sports Physiol. Perform. 2012, 7, 340–349. [Google Scholar] [PubMed]
- Ingebrigtsen, J.; Brochmann, M.; Castagna, C.; Bradley, P.S.; Ade, J.; Krustrup, P.; Holtermann, A. Relationships between field performance tests in high-level soccer players. J. Strength Cond. Res. 2014, 28, 942–949. [Google Scholar] [CrossRef] [PubMed]
- Da Silva, J.F.; Guglielmo, L.G.; Bishop, D. Relationship between different measures of aerobic fitness and repeated-sprint ability in elite soccer players. J. Strength Cond. Res. 2010, 24, 2115–2121. [Google Scholar] [CrossRef] [PubMed]
- West, D.J.; Owen, N.J.; Jones, M.R.; Bracken, R.M.; Cook, C.J.; Cunningham, D.J.; Shearer, D.A.; Finn, C.V.; Newton, R.U.; Crewther, B.T.; et al. Relationships between force-time characteristics of the isometric midthigh pull and dynamic performance in professional rugby league players. J. Strength Cond. Res. 2011, 25, 3070–3075. [Google Scholar] [CrossRef] [PubMed]
- Cronin, J.B.; Hansen, K.T. Strength and power predictors of sports speed. J. Strength Cond. Res. 2005, 19, 349–357. [Google Scholar] [CrossRef] [PubMed]








| Characteristics | Freshmen (n = 7) | Experienced (n = 10) | p Value | d | d Strength |
|---|---|---|---|---|---|
| Age (years) | 19.29 ± 1.1 | 21.20 ± 1.32 * | 0.046 | 1.57 | Large |
| (18.26–20.31) | (20.26–22.14) | ||||
| Height (m) | 1.82 ± 0.0 | 1.80 ± 0.07 | 0.610 | 0.33 | Small |
| (1.77–1.86) | (1.76–1.85) | ||||
| Body Mass (kg) | 79.57 ± 8.72 | 76.11 ± 4.21 | 0.367 | 0.51 | Small |
| (71.51–87.64) | (73.10–79.13) |
| Variables | Freshmen (n = 7) | Experienced (n = 10) | p Value | d | d Strength |
|---|---|---|---|---|---|
| VJ (m) | 0.62 ± 0.08 | 0.67 ± 0.08 | 0.250 | 0.63 | Moderate |
| (0.55 to 0.70) | (0.61 to 0.72) | ||||
| VJ PI (kgm·s−1) | 138.36 ± 13.30 | 137.38 ± 13.72 | 0.952 | 0.07 | Trivial |
| (126.06 to 150.67) | (127.56 to 147.19) | ||||
| SBJ (m) | 2.33 ± 0.26 | 2.45 ± 0.21 | 0.324 | 0.51 | Small |
| (2.09 to 2.57) | (2.30 to 2.60) | ||||
| SBJ Left (m) | 2.10 ± 0.16 | 2.18 ± 0.21 | 0.155 | 0.43 | Small |
| (1.95 to 2.24) | (1.98 to 2.30) | ||||
| SBJ Right (m) | 2.07 ± 0.16 | 2.14 ± 0.22 | 0.082 | 0.36 | Small |
| (1.91 to 2.22) | (1.98–2.30) | ||||
| TH Left (m) | 6.66 ± 0.52 | 7.04 ± 0.62 | 0.282 | 0.66 | Moderate |
| (6.18 to 7.13) | (6.51 to 7.56) | ||||
| TH Right (m) | 6.80 ± 0.72 | 7.13 ± 0.78 | 0.244 | 0.44 | Small |
| (6.13 to 7.47) | (6.48 to 7.79) | ||||
| 0–5 m (s) | 1.030 ± 0.040 | 0.979 ± 0.046 | 0.060 | 1.18 | Moderate |
| (0.993 to 1.067) | (0.946 to 1.012) | ||||
| 5–10 m (s) | 0.712 ± 0.032 | 0.711 ± 0.027 | 0.524 | 0.03 | Trivial |
| (0.682 to 0.741) | (0.692 to 0.730) | ||||
| 0–10 m (s) | 1.742 ± 0.050 | 1.690 ± 0.059 | 0.097 | 0.95 | Moderate |
| (1.696 to 1.788) | (1.648 to 1.733) | ||||
| 0–30 m (s) | 4.150 ± 0.149 | 4.056 ± 0.131 | 0.157 | 0.67 | Moderate |
| (4.012 to 4.288) | (3.962 to 4.150) | ||||
| 505 Left (s) | 2.245 ± 0.068 | 2.235 ± 0.198 | 0.672 | 0.07 | Trivial |
| (2.182 to 2.308) | (2.083 to 2.387) | ||||
| 505 Right (s) | 2.186 ± 0.056 | 2.210 ± 0.105 | 0.340 | 0.29 | Small |
| (2.134 to 2.237) | (2.129 to 2.291) | ||||
| YYIRT2 (m) | 893.33 ± 250.01 | 1210.00 ± 379.39 | 0.286 | 0.99 | Moderate |
| (630.96 to 1155.71) | (938.60 to 1481.40) | ||||
| RSA TT (s) | 32.076 ± 1.310 | 31.674 ± 0.759 | 0.279 | 0.38 | Small |
| (30.865 to 33.288) | (31.091 to 32.257) | ||||
| RSA PD (%) | 3.83 ± 1.93 | 6.61 ± 5.29 | 0.083 | 0.70 | Moderate |
| (2.04 to 5.61) | (2.55 to 10.67) |
| Variables | Freshmen (n = 7) | Experienced (n = 10) | p Value | d | d Strength |
|---|---|---|---|---|---|
| VJ | −0.32 ± 0.96 § | 0.21 ± 1.01 § | 0.249 | 0.54 | Small |
| (−1.21 to 0.56) | (−0.51 to 0.94) | ||||
| VJ PI | 0.04 ± 1.01 | −0.03 ± 1.04 | 0.950 | 0.07 | Trivial |
| (−0.89 to 0.98) | (−0.78 to 0.71) | ||||
| SBJ | −0.28 ± 1.13 § | 0.22 ± 0.91 § | 0.324 | 0.49 | Small |
| (−1.33 to 0.76) | (−0.43 to 0.87) | ||||
| SBJ Left | −0.29 ± 0.85 § | 0.17 ± 1.12 | 0.155 | 0.46 | Small |
| (−1.07 to 0.50) | (−0.63 to 0.98) | ||||
| SBJ Right | −0.22 ± 0.82 § | 0.14 ± 1.12 | 0.082 | 0.37 | Small |
| (−0.98 to 0.54) | (−0.66 to 0.94) | ||||
| TH Left | −0.35 ± 0.85 § | 0.30 ± 1.06 § | 0.282 | 0.68 | Moderate |
| (−1.16 to 0.47) | (−0.59 to 1.18) | ||||
| TH Right | −0.24 ± 0.96 § | 0.21 ± 1.04 § | 0.243 | 0.45 | Small |
| (−1.13 to 0.65) | (−0.67 to 1.08) | ||||
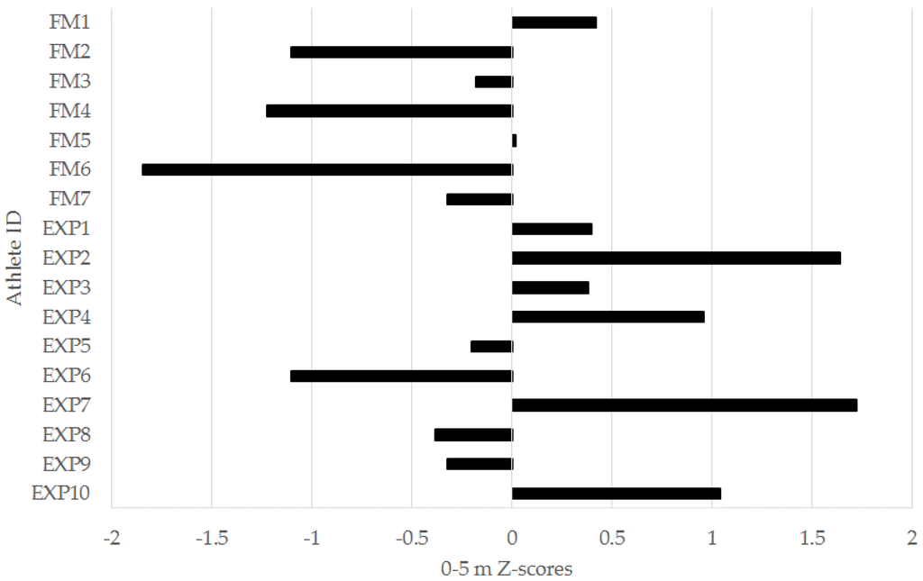
| 0–5 m | −0.60 ± 0.80 § | 0.41 ± 0.93 § | 0.060 | 1.16 | Moderate |
| (−1.34 to 0.14) | (−0.25 to 1.08) | ||||
| 5–10 m | −0.04 ± 1.14 | 0.00 ± 0.97 | 0.520 | 0.04 | Trivial |
| (−1.09 to 1.02) | (−0.69 to 0.69) | ||||
| 0–10 m | −0.50 ± 0.83 § | 0.36 ± 0.99 § | 0.096 | 0.94 | Moderate |
| (−1.27 to 0.26) | (−0.35 to 1.07) | ||||
| 0–30 m | −0.38 ± 1.04 § | 0.28 ± 0.92 § | 0.157 | 0.67 | Moderate |
| (−1.35 to 0.58) | (−0.38 to 0.93) | ||||
| 505 Left | −0.04 ± 0.45 | 0.03 ± 1.31 | 0.671 | 0.07 | Trivial |
| (−0.45 to 0.37) | (−0.98 to 1.04) | ||||
| 505 Right | 0.17 ± 0.66 | −0.12 ± 1.24 | 0.342 | 0.29 | Small |
| (−0.44 to 0.78) | (−1.07 to 0.83) | ||||
| YYIRT2 | −0.54 ± 0.69 § | 0.33 ± 1.04 § | 0.286 | 0.99 | Moderate |
| (−1.26 to 0.18) | (−0.42 to 1.07) | ||||
| RSA TT | −0.22 ± 1.29 § | 0.17 ± 0.75 | 0.280 | 0.37 | Small |
| (−1.41 to 0.97) | (−0.40 to 0.75) | ||||
| RSA PD | 0.36 ± 0.45 § | −0.28 ± 1.23 § | 0.083 | 0.69 | Moderate |
| (−0.05 to 0.78) | (−1.23 to 0.66) |
© 2016 by the authors; licensee MDPI, Basel, Switzerland. This article is an open access article distributed under the terms and conditions of the Creative Commons Attribution (CC-BY) license (http://creativecommons.org/licenses/by/4.0/).
Share and Cite
Lockie, R.G.; Davis, D.L.; Birmingham-Babauta, S.A.; Beiley, M.D.; Hurley, J.M.; Stage, A.A.; Stokes, J.J.; Tomita, T.M.; Torne, I.A.; Lazar, A. Physiological Characteristics of Incoming Freshmen Field Players in a Men’s Division I Collegiate Soccer Team. Sports 2016, 4, 34. https://doi.org/10.3390/sports4020034
Lockie RG, Davis DL, Birmingham-Babauta SA, Beiley MD, Hurley JM, Stage AA, Stokes JJ, Tomita TM, Torne IA, Lazar A. Physiological Characteristics of Incoming Freshmen Field Players in a Men’s Division I Collegiate Soccer Team. Sports. 2016; 4(2):34. https://doi.org/10.3390/sports4020034
Chicago/Turabian StyleLockie, Robert G., DeShaun L. Davis, Samantha A. Birmingham-Babauta, Megan D. Beiley, Jillian M. Hurley, Alyssa A. Stage, John J. Stokes, Tricia M. Tomita, Ibett A. Torne, and Adrina Lazar. 2016. "Physiological Characteristics of Incoming Freshmen Field Players in a Men’s Division I Collegiate Soccer Team" Sports 4, no. 2: 34. https://doi.org/10.3390/sports4020034
APA StyleLockie, R. G., Davis, D. L., Birmingham-Babauta, S. A., Beiley, M. D., Hurley, J. M., Stage, A. A., Stokes, J. J., Tomita, T. M., Torne, I. A., & Lazar, A. (2016). Physiological Characteristics of Incoming Freshmen Field Players in a Men’s Division I Collegiate Soccer Team. Sports, 4(2), 34. https://doi.org/10.3390/sports4020034
