Kinematics and Kinetics of Youth Baseball Catchers and Pitchers
Abstract
:1. Introduction
2. Context
3. Materials and Methods
3.1. Experimental Approach to the Problem
3.2. Participants
3.3. Procedures
| Bony Landmark | Bony Process Palpated and Digitized |
|---|---|
| Thorax | |
| Seventh Cervical Vertebra (C7) | Most dorsal aspect of the spinous process |
| Eighth Thoracic Vertebra (T8) | Most dorsal aspect of the spinous process |
| Suprasternal Notch | Most cranial aspect of sternum |
| Humerus | |
| Medial Epicondyle | Medial/distal aspect of condyle |
| Lateral Epicondyle | Lateral/distal aspect of condyle |
| Glenohumeral Joint Center of Rotation | Rotation method * |
| Forearm | |
| Radial Styloid Process | Lateral/distal aspect of radial styloid |
| Ulnar Styloid Process | Medial/ distal aspect of ulnar styloid |
| Segment | Axis of Rotation | Angle |
|---|---|---|
| Torso | ||
| Rotation 1 | Z | Flexion (−)/Extension (+) |
| Rotation 2 | X′ | Left Lateral Tilt (−)/Right Lateral Tilt (+) |
| Rotation 3 | Y″ | Right Rotation (+)/Left Rotation (−) |
| Shoulder | ||
| Rotation 1 | Y | Plane of Elevation (0 = Abduction; 90 = Flexion) |
| Rotation 2 | X′ | Elevation |
| Rotation 3 | Y″ | Internal Rotation (+)/External Rotation (−) |
| Elbow | ||
| Rotation 1 | Z | Flexion (+)/Hyperextension (−) |
| Rotation 2 | X′ | Carrying Angle |
| Rotation 3 | Y″ | Pronation (+)/Supination (−) |
3.4. Statistical Analysis
4. Results
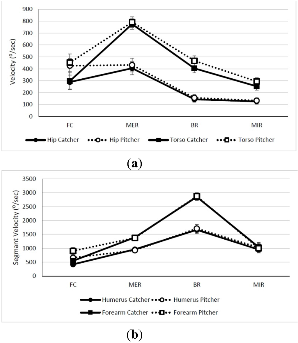
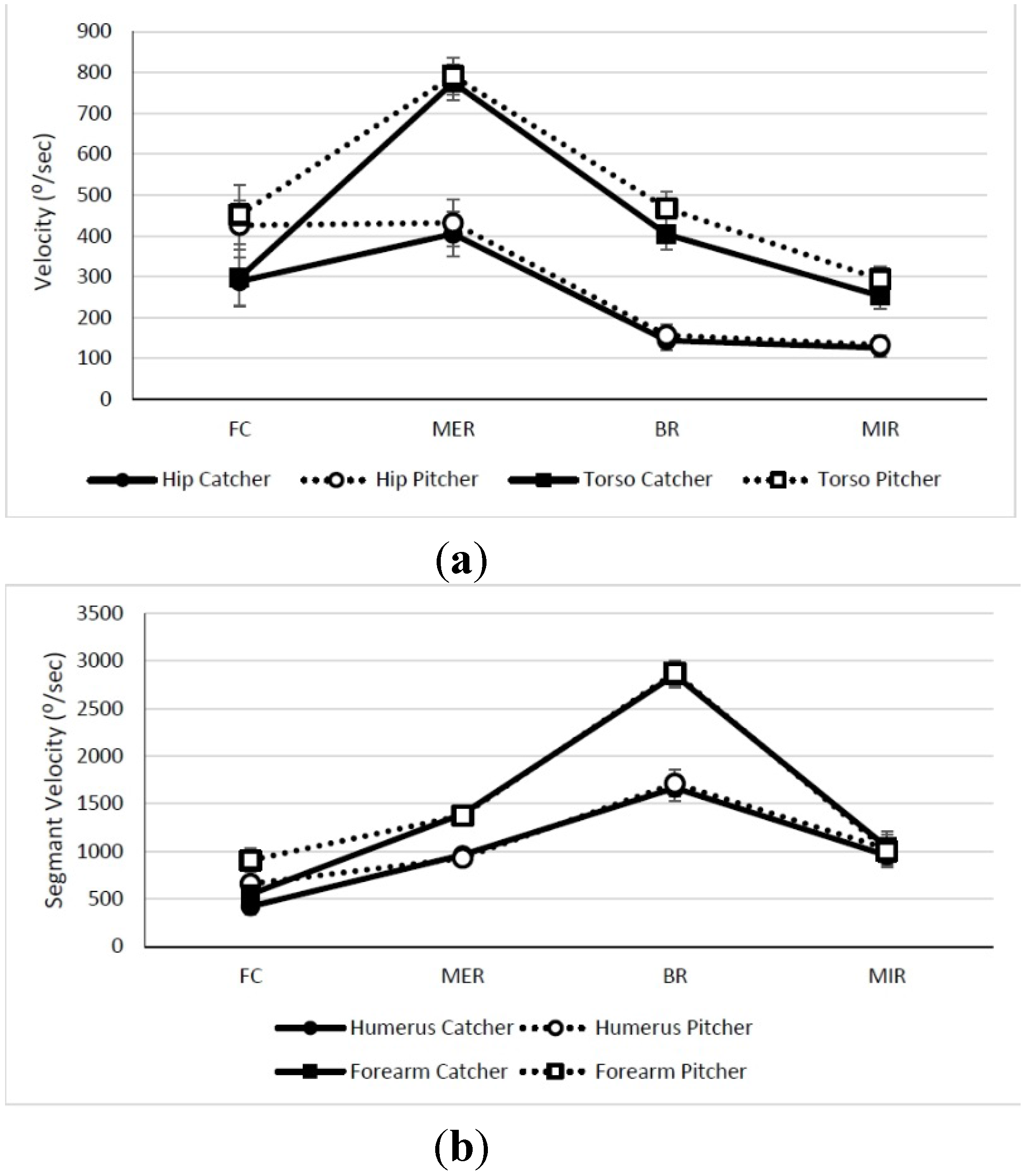
4.1. Analysis of Kinematic Measures
| Variable | ME of Event | ME of Position | Event × Position Interaction |
|---|---|---|---|
| Torso Flexion | F(1.28, 61.59) = 115.18, | F(1,48) = 19.51, | F(1.28, 61.59) = 13.08, |
| p < 0.01, ε = 0.43 | p < 0.01 | p < 0.01, ε = 0.43 | |
| Torso Lateral Flexion | F(1.36, 65.16) = 202.06, | F(1,48) = 14.90, | F(1.36, 65.16) = 0. 13, |
| p < 0.01, ε = 0.45 | p < 0.01 | p = 0.79, ε = 0.45 | |
| Torso Rotation | F(1.99, 95.56) = 1081, | F(1,48) = 0.38, | F(1.99, 95.56) = 2.55, |
| p < 0.01, ε = 0.66 | p = 0.54 | p = 0.08, ε = 0.66 | |
| Pelvic Lateral Flexion | F(1.33, 63.76) = 14.03, | F(1,48) = 6.61, | F(1.33, 63.76) = 3.86, |
| p < 0.01, ε = 0.44 | p = 0.01 | p = 0.04, ε = 0.44 | |
| Pelvic Rotation | F(1.65, 78.87) = 1060.08, | F(1,48) = 0.97, | F(1.65, 78.87) = 2.86, |
| p < 0.01, ε = 0.55 | p = 0.33 | p = 0.07, ε = 0.55 | |
| Elbow Flexion | F(1.38, 66.19) = 20. 83, | F(1,48) = 1.84, | F(1.38, 66.19) = 1.88, |
| p < 0.01, ε = 0.46 | p = 0.18 | p = 0.17, ε = 0.46 | |
| Plane of Elevation | F(2.01, 96.35) = 153.38, | F(1,48) = 0.77, | F(2.01, 96.35) = 0.02, |
| p < 0.01, ε = 0.67 | p = 0.38 | p = 0.97, ε = 0.67 | |
| Humeral Elevation | F(2.13, 102.08) = 13.83, | F(1,48) = 0.56, | F(2.13, 102.08) = 1.59, |
| p < 0.01, ε = 0.71 | p = 0.46 | p = 0.97, ε = 0.71 | |
| Humeral External Rotation | F(2.43, 116.64) = 476.33, | F(1,48) = 0.23, | F(2.43, 116.64) = 1.29, |
| p < 0.01, ε = 0.81 | p = 0.63 | p = 0.28, ε = 0.81 | |
| Velocity * | F(2.57, 123.43) = 273.04, | F(1,48) = 8.37, | F(2.57, 123.43) = 5.88, |
| p < 0.01, ε = 0.86 | p < 0.01 | p < 0.01, ε = 0.81 |




4.2. Analysis of Kinetic Measures
| Variable | ME of Phase | ME of Position | Phase × Position Interaction |
|---|---|---|---|
| Y Force * | F(2, 96) = 61.34, | F(1,48) = 6.76, | F(2, 96) = 1.29, |
| p < 0.01 | p = 0.01 | p = 0.30 | |
| Z Moment * | F(1.60, 75.26) = 31.27, | F(1,47) = 0.45, | F(1.60, 75.26) = 0.37, |
| p < 0.01, ε = 0.80 | p < 0.51 | p = 0.64, ε = 0.80 |


5. Discussion

6. Conclusions
Supplementary Materials
Author Contributions
Conflicts of Interest
References
- Dun, S.; Loftice, J.; Fleisig, G.; Kingsley, D.; Andrews, J. A biomechanical comparison of youth baseball pitches is the curveball potentially harmful? Am. J. Sports Med. 2008, 36, 686–692. [Google Scholar] [CrossRef] [PubMed]
- Fleisig, G.S.; Andrews, J.R.; Cutter, G.R.; Weber, A.; Loftice, J.; McMichael, C.; Hassell, N.; Lyman, S. Risk of serious injury for young baseball pitchers: A 10-year prospective study. Am. J. Sports Med. 2011, 39, 253–257. [Google Scholar] [CrossRef] [PubMed]
- Dun, S.; Fleisig, G.S.; Loftice, J.; Kingsley, D.; Andrews, J.R. The relationship between age and baseball pitching kinematics in professional baseball pitchers. J. Biomech. 2007, 40, 265–270. [Google Scholar] [CrossRef] [PubMed]
- Oliver, G.D.; Keeley, D.W. Pelvis and torso kinematics and their relationship to shoulder kinematics in high-school baseball pitchers. J. Strength Cond. Res. 2010, 24, 3241–3246. [Google Scholar] [CrossRef] [PubMed]
- Plummer, H.; Oliver, G.D. Quantitative analysis of kinematics and kinetics of catchers throwing to second base. J. Sports Sci. 2013, 31, 1108–1116. [Google Scholar] [CrossRef] [PubMed]
- Stallings, J. Chapter 16: Stopping opponents with solid defense. In The baseball coaching bible; Kindall, J., Winkin, J., Eds.; Human Kinetics: Champaign, IL, USA, 2000. [Google Scholar]
- Fortenbaugh, D.; Fleisig, G.; Bolt, B. Coming down: Throwing mechanics of baseball catchers. In Conference Proceedings of the International Society of Biomechaincs in Sports, Marquette, WI, USA, 19–23 July, 2010; Volume 28.
- Oliver, G.D.; Keeley, D.W. Gluteal muscle group activation and its relationship with pelvis and torso kinematics in high-school baseball pitchers. J. Strength Cond. Res. 2010, 24, 3015–3022. [Google Scholar] [CrossRef] [PubMed]
- Ludewig, P.M.; Cook, T.M. Alterations in shoulder kinematics and associated muscle activity in people with symptoms of shoulder impingement. Phys. Ther. 2000, 80, 276–291. [Google Scholar] [PubMed]
- Day, J.; Murdoch, D.; Dumas, G. Calibration of position and angular data from a magnetic tracking device. J. Biomech. 2000, 33, 1039–1045. [Google Scholar] [CrossRef]
- Meskers, C.; Fraterman, H.; Helm, F.; Vermeulen, H. Calibration of the flock of birds electromagnetic tracking device and its application in shoulder motion studies. J. Biomech. 1999, 32, 629–633. [Google Scholar] [CrossRef]
- Perie, D.; Tate, A.J.; Cheng, P.L.; Dumas, G.A. Evaluation and calibration of an electromagnetic tracking device for biomechanical analysis of lifting task. J. Biomech. 2002, 35, 293–297. [Google Scholar] [CrossRef]
- Myers, J.B. Scapular position and orientation in throwing athletes. Am. J. Sports Med. 2005, 33, 263–271. [Google Scholar] [CrossRef] [PubMed]
- Myers, J.B.; Oyama, S.; Hibberd, E.E. Scapular dysfunction in high school baseball players sustaining throwing-related upper extremity injury: A prospective study. J. Shoulder Elb. Surg. 2013, 22, 1154–1159. [Google Scholar] [CrossRef] [PubMed]
- Oliver, G.D. Relationship between gluteal muscle activation and upper extremity kinematics and kinetics in softball position players. Med. Biol. Eng. Comput. 2013. [Google Scholar] [CrossRef] [PubMed]
- Oliver, G.D.; Plummer, H. Ground reaction forces, kinematics, and muscle activations during the windmill softball pitch. J. Sports Sci. 2011, 29, 1071–1077. [Google Scholar] [CrossRef] [PubMed]
- Wu, G.; van der Helm, F.C.T.; Veeger, H.E.J.; Makhsous, M.; Van Roy, P.; Anglin, C.; Nagels, J.; Karduna, A.R.; McQuade, K.; Wang, X.; et al. Isb recommendation on definitions of joint coordinate systems of various joints for the reporting of human joint motion—Part II: Shoulder, elbow, wrist and hand. J. Biomech. 2005, 38, 981–992. [Google Scholar] [CrossRef] [PubMed]
- Gagnon, D.; Gagnon, M. The influence of dynamic factors on tri-axial net muscular moments at the l5/s1 joint during asymmetrical lifting and lowering. J. Biomech. 1992, 25, 891–901. [Google Scholar] [CrossRef]
- Cummings, G. Understand the New Statistics: Effect Sizes, Confidence Intervals and Meta-Analysis; Routledge Taylor and Francis Group: New York, NY, USA, 2013. [Google Scholar]
- Sabick, M.B.; Kim, Y.K.; Torry, M.R.; Keirns, M.A.; Hawkins, R.J. Biomechanics of the shoulder in youth baseball pitchers: Implications for the development of proximal humeral epiphysiolysis and humeral retrotorsion. Am. J. Sports Med. 2005, 33, 1716–1722. [Google Scholar] [CrossRef] [PubMed]
- Fleisig, G.S.; Barrentine, S.W.; Zheng, N.; Escamilla, R.F.; Andrews, J.R. Kinematic and kinetic comparison of baseball pitching among various levels of development. J. Biomech. 1999, 32, 1371–1375. [Google Scholar] [CrossRef]
- Kibler, W.B.; Wilkes, T.; Sciascia, A. Mechanics and pathomechanics in the overhead athlete. Clin. Sports Med. 2013, 32, 637–651. [Google Scholar] [CrossRef] [PubMed]
- Werner, S.L.; Murray, T.A.; Hawkins, R.J.; Gill, T.J. Relationship between throwing mechanics and elbow valgus in professional baseball pitchers. J. Shoulder Elb. Surg. 2002, 11, 151–155. [Google Scholar] [CrossRef]
© 2015 by the authors; licensee MDPI, Basel, Switzerland. This article is an open access article distributed under the terms and conditions of the Creative Commons Attribution license (http://creativecommons.org/licenses/by/4.0/).
Share and Cite
Oliver, G.; Lohse, K.; Gascon, S. Kinematics and Kinetics of Youth Baseball Catchers and Pitchers. Sports 2015, 3, 246-257. https://doi.org/10.3390/sports3030246
Oliver G, Lohse K, Gascon S. Kinematics and Kinetics of Youth Baseball Catchers and Pitchers. Sports. 2015; 3(3):246-257. https://doi.org/10.3390/sports3030246
Chicago/Turabian StyleOliver, Gretchen, Keith Lohse, and Sarah Gascon. 2015. "Kinematics and Kinetics of Youth Baseball Catchers and Pitchers" Sports 3, no. 3: 246-257. https://doi.org/10.3390/sports3030246
APA StyleOliver, G., Lohse, K., & Gascon, S. (2015). Kinematics and Kinetics of Youth Baseball Catchers and Pitchers. Sports, 3(3), 246-257. https://doi.org/10.3390/sports3030246
