Objective Evaluation of Out-of-Competition Volume of Action in Wheelchair Basketball Classification
Abstract
1. Introduction
2. Materials and Methods
2.1. Participants
2.2. Procedure
- trunk flexion: shoulder joint flexed at 180° to maximum trunk extension;
- trunk extension: shoulder joint flexed at 90° to maximum trunk extension;
- trunk lateral bending: maximum trunk lateral bending from left to right;
- trunk rotation: maximum trunk rotation from left to right.
2.3. Data Acquisition and Analysis
2.4. Statistical Analyses
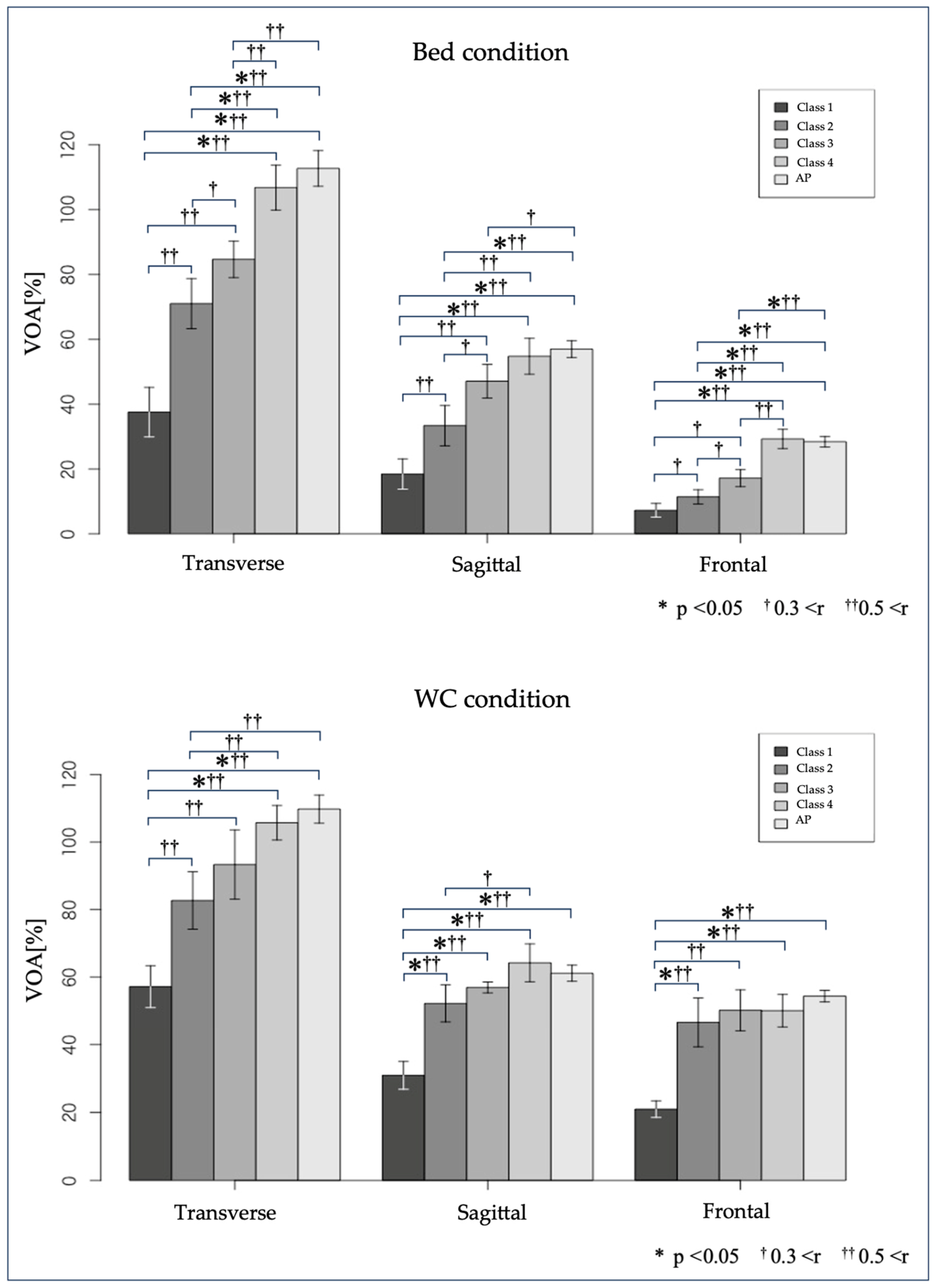
3. Results
3.1. Comparisons Between Classes
3.2. Comparisons Between Sitting Conditions
4. Discussion
4.1. Comparisons Between Classes
4.2. Comparisons Between Sitting Condition
4.3. Limitations and Future Research
5. Conclusions
Author Contributions
Funding
Institutional Review Board Statement
Informed Consent Statement
Data Availability Statement
Acknowledgments
Conflicts of Interest
Appendix A
| Class | Characteristics of VOA |
|---|---|
| class 1 | Has no volume of action in either the vertical, forward, or sideways planes. |
| Primarily identified by passive mobility of the trunk in all activities, requiring frequent use of the upper extremities to maintain and adjust trunk position. | |
| class 2 | Has a partial volume of action in the vertical and forward planes but no volume of action in the sideway plane. |
| class 3 | Has full volume of action in the vertical and forward planes, but no volume of action in the sideway plane. |
| class 4.0 | Has complete volume of action in the vertical and forward planes and complete volume of action to only one side. |
| class 4.5 | Has complete volume of action in all planes, with no weakness in any direction. |
| Has all the attributes of the class 4.0 player, but it can control movement to both sides of the body. Has no obvious weak or strong side. |
References
- IPC. Athlete Classification Code 2015. Available online: https://www.paralympic.org/sites/default/files/document/151218123255973_2015_12_17+Classification+Code_FINAL.pdf (accessed on 8 February 2024).
- Tweedy, S.M.; Vanlandewijck, Y.C. International Paralympic Committee Position Stand--Background and Scientific Principles of Classification in Paralympic Sport. Br. J. Sports Med. 2011, 45, 259–269. [Google Scholar] [CrossRef]
- 2021 IWBF Player Classification Rules. Available online: https://cdn.prod.website-files.com/66a7ad387e177bc7c659bb45/66d82b2058f119dd6521c699_2021-IWBF-Classification-Rules-Version-2022-12-12-vers-2-small.pdf (accessed on 23 January 2024).
- 2021 IWBF Player Classification Manual. Available online: https://cdn.prod.website-files.com/66a7ad387e177bc7c659bb45/66d82b5a0556714f8ce4595d_2021-IWBF-Classification-Manual-Version-202212-12-small.pdf (accessed on 10 January 2025).
- Ramsden, R.; Hayman, R.; Potrac, P.; Hettinga, F.J. Sport Participation for People with Disabilities: Exploring the Potential of Reverse Integration and Inclusion Through Wheelchair Basketball. Int. J. Environ. Res. Public Health 2023, 20, 2491. [Google Scholar] [CrossRef]
- Fliess Douer, O.; Koseff, D.; Tweedy, S.; Molik, B.; Vanlandewijck, Y. Challenges and Opportunities in Wheelchair Basketball Classification- A Delphi Study. J. Sports Sci. 2021, 39, 7–18. [Google Scholar] [CrossRef]
- Marszałek, J.; Gryko, K.; Kosmol, A.; Morgulec-Adamowicz, N.; Mróz, A.; Molik, B. Wheelchair Basketball Competition Heart Rate Profile According to Players’ Functional Classification, Tournament Level, Game Type, Game Quarter and Playing Time. Front. Psychol. 2019, 10, 773. [Google Scholar] [CrossRef] [PubMed]
- Marszałek, J.; Gryko, K.; Prokopowicz, G.; Kosmol, A.; Mroz, A.; Morgulec-Adamowicz, N.; Molik, B. The Physiological Response of Athletes with Impairments in Wheelchair Basketball Game. Hum. Mov. 2019, 20, 1–7. [Google Scholar] [CrossRef]
- Molik, B.; Kosmol, A.; Morgulec-Adamowicz, N.; Lencse-Mucha, J.; Mróz, A.; Gryko, K.; Marszałek, J. Comparison of Aerobic Performance Testing Protocols in Elite Male Wheelchair Basketball Players. J. Hum. Kinet. 2017, 60, 243–254. [Google Scholar] [CrossRef]
- Molik, B.; Laskin, J.J.; Kosmol, A.; Skucas, K.; Bida, U. Relationship Between Functional Classification Levels and Anaerobic Performance of Wheelchair Basketball Athletes. Res. Q. Exerc. Sport 2010, 81, 69–73. [Google Scholar] [CrossRef] [PubMed]
- de Lira, C.A.; Vancini, R.L.; Minozzo, F.C.; Sousa, B.S.; Dubas, J.P.; Andrade, M.S.; Steinberg, L.L.; da Silva, A.C. Relationship Between Aerobic and Anaerobic Parameters and Functional Classification in Wheelchair Basketball Players. Scand. J. Med. Sci. Sports 2010, 20, 638–643. [Google Scholar] [CrossRef] [PubMed]
- Gil, S.M.; Yanci, J.; Otero, M.; Olasagasti, J.; Badiola, A.; Bidaurrazaga-Letona, I.; Iturricastillo, A.; Granados, C. The Functional Classification and Field Test Performance in Wheelchair Basketball Players. J. Hum. Kinet. 2015, 46, 219–230. [Google Scholar] [CrossRef] [PubMed]
- Tachibana, K.; Mutsuzaki, H.; Shimizu, Y.; Doi, T.; Hotta, K.; Wadano, Y. Influence of Functional Classification on Skill Tests in Elite Female Wheelchair Basketball Athletes. Medicina 2019, 55, 740. [Google Scholar] [CrossRef]
- Cavedon, V.; Zancanaro, C.; Milanese, C. Physique and Performance of Young Wheelchair Basketball Players in Relation with Classification. PLoS ONE 2015, 10, e0143621. [Google Scholar] [CrossRef]
- Boninger, M.L.; Baldwin, M.; Cooper, R.A.; Koontz, A.; Chan, L. Manual Wheelchair Pushrim Biomechanics and Axle Position. Arch. Phys. Med. Rehabil. 2000, 81, 608–613. [Google Scholar] [CrossRef]
- Mâsse, L.C.; Lamontagne, M.; O’Riain, M.D. Biomechanical Analysis of Wheelchair Propulsion for Various Seating Positions. J. Rehabil. Res. Dev. 1992, 29, 12–28. [Google Scholar] [CrossRef] [PubMed]
- Vanlandewijck, Y.; Daly, D.; Spaepen, A.; Theisen, D.; Pétré, L. Biomechanics in Handrim Wheelchair Propulsion: Wheelchair-User Interface Adjustment for Basketball. Edu. Physical Train. Sport 1999, 33, 50–53. [Google Scholar]
- Vanlandewijck, Y.C.; Thompson, W. (Eds.) Biomechanics. In The Paralympic Athlete; Wiley-Blackwell: Oxford, UK, 2011; pp. 41–42. [Google Scholar]
- Van der Woude, L.H.; Veeger, D.J.; Rozendal, R.H.; Sargeant, T.J. Seat Height in Handrim Wheelchair Propulsion. J. Rehabil. Res. Dev. 1989, 26, 31–50. [Google Scholar]
- de Witte, A.M.; Sjaarda, F.S.; Helleman, J.; Berger, M.A.; Van Der Woude, L.H.; Hoozemans, M.J. Sensitivity to Change of the Field-Based Wheelchair Mobility Performance Test in Wheelchair Basketball. J. Rehabil. Med. 2018, 50, 556–562. [Google Scholar] [CrossRef] [PubMed]
- De Witte, A.M.H.; van der Slikke, R.M.; Berger, M.A.M.; Hoozemans, M.J.M.; Veeger, H.E.J.; Van Der Woude, L.H.V. Effects of Seat Height, Wheelchair Mass and Additional Grip on a Field-Based Wheelchair Basketball Mobility Performance Test. Technol. Disabil. 2020, 32, 93–102. [Google Scholar] [CrossRef]
- Van Der Slikke, R.M.; De Witte, A.M.; Berger, M.A.; Bregman, D.J.; Veeger, D.J.H. Wheelchair Mobility Performance Enhancement by Changing Wheelchair Properties: What is the Effect of Grip, Seat Height, and Mass? Int. J. Sports Physiol. Perform. 2018, 13, 1050–1058. [Google Scholar] [CrossRef]
- Altmann, V.C.; Hart, A.L.; Vanlandewijck, Y.C.; van Limbeek, J.; van Hooff, M.L. The Impact of Trunk Impairment on Performance of Wheelchair Activities with a Focus on Wheelchair Court Sports: A Systematic Review. Sports Med. Open 2015, 1, 22. [Google Scholar] [CrossRef] [PubMed]
- Marszałek, J.; Molik, B. Reliability of Measurement of Active Trunk Movement in Wheelchair Basketball Players. PLoS ONE 2019, 14, e0225515. [Google Scholar] [CrossRef]
- Marszałek, J.; Molik, B. Active Trunk Movement Assessment as a Key Factor in Wheelchair Basketball Classification—An Original Study. Acta Kinesiol. 2021, 15, 74–82. [Google Scholar] [CrossRef]
- Curtis, K.A.; Kindlin, C.M.; Reich, K.M.; White, D.E. Functional Reach in Wheelchair Users: The Effects of Trunk and Lower Extremity Stabilization. Arch. Phys. Med. Rehabil. 1995, 76, 360–367. [Google Scholar] [CrossRef]
- Mann, D.L.; Tweedy, S.M.; Jackson, R.C.; Vanlandewijck, Y.C. Classifying the Evidence for Evidence-Based Classification in Paralympic Sport. J. Sports Sci. 2021, 39, 1–6. [Google Scholar] [CrossRef]
- Cohen, J. Statistical Power Analysis for the Behavioral Sciences, 2nd ed.; Lawrence Erlbaum: Hillsdale, NJ, USA, 1988. [Google Scholar]
- Vanlandewijck, Y.; Theisen, D.; Daly, D. Wheelchair Propulsion Biomechanics: Implications for Wheelchair Sports. Sports Med. 2001, 31, 339–367. [Google Scholar] [CrossRef]
- Vanlandewijck, Y.C.; Verellen, J.; Tweedy, S.M. Towards Evidence-Based Classification-The Impact of Impaired Trunk Strength on Wheelchair Propulsion. Adv. Rehab. 2010, 3, 1–5. [Google Scholar] [CrossRef]
- Frogley, M. Wheelchair basketball. In Wheelchair Sport: A Complete Guide for Athletes; Goosey-Tolfrey, V., Ed.; Human Kinetics: Champaign, IL, USA, 2010; pp. 119–332. [Google Scholar]
- Kitamura, T.; Teshima, H.; Thomas, D.; Kawasaki, H. Refining OpenPose with a new sports dataset for robust 2D pose estimation. In Proceedings of the IEEE/CVF Winter Conference on Applications of Computer Vision, Waikoloa, HI, USA, 4–8 January 2022; pp. 672–681. [Google Scholar]



| Class | n | Wheelchair Basketball Experience (y) | Gender (M:F) | Age (y) |
|---|---|---|---|---|
| 1.0 | 5 | 13.2 ± 7.3 | 4:1 | 32.8 ± 9.5 |
| 1.5 | 3 | 29.0 ± 12.1 | 2:1 | 50.3 ± 18.2 |
| 2.0 | 2 | 4.5 ± 4.9 | 1:1 | 40.0 ± 7.1 |
| 2.5 | 3 | 14.0 ± 3.5 | 2:1 | 37.7 ± 5.1 |
| 3.0 | 2 | 14.5 ± 2.1 | 1:1 | 29.5 ± 2.1 |
| 3.5 | 2 | 17.0 ± 9.9 | 2:0 | 38.0 ± 17.0 |
| 4.0 | 3 | 10.7 ± 8.3 | 1:2 | 25.0 ± 4.4 |
| 4.5 | 6 | 12.4 ± 6.8 | 2:4 | 37.0 ± 8.3 |
| AP | 21 | 3.9 ± 2.8 | 11:10 | 22.7 ± 2.6 |
| Total | 47 | 9.4 ± 8.5 | 16:21 | 30.1 ± 10.6 |
| Bed Condition | WC Condition | |||||
|---|---|---|---|---|---|---|
| Transverse | Sagittal | Frontal | Transverse | Sagittal | Frontal | |
| Class 1 | 37.55 | 18.45 | 7.25 | 57.15 | 30.92 | 20.96 |
| (21.58) | (13.21) | (5.98) | (17.53) | (11.56) | (6.92) | |
| Class 2 | 71.02 | 33.39 | 11.39 | 82.68 | 52.17 | 46.56 |
| (17.30) | (13.96) | (4.95) | (19.02) | (12.29) | (16.12) | |
| Class 3 | 84.68 | 47.09 | 17.18 | 93.33 | 56.91 | 50.11 |
| (11.25) | (10.42) | (5.28) | (20.51) | (3.23) | (12.13) | |
| Class 4 | 106.81 | 54.78 | 29.28 | 105.72 | 64.21 | 50.01 |
| (20.84) | (16.60) | (8.92) | (15.39) | (16.85) | (14.48) | |
| AP | 112.73 | 56.99 | 28.42 | 109.77 | 61.12 | 54.32 |
| (25.23) | (11.98) | (7.51) | (19.07) | (10.90) | (7.86) | |
| Bed Condition | WC Condition | ||||||||||
|---|---|---|---|---|---|---|---|---|---|---|---|
| Class 1 | Class 2 | Class 3 | Class 4 | Class 4.5 | Class 1 | Class 2 | Class 3 | Class 4 | Class 4.5 | ||
| Transverse | Class 2 | 0.093 | - | - | - | - | 0.243 | - | - | - | - |
| (0.706) †† | (0.556) †† | ||||||||||
| Class 3 | 0.051 | 0.737 | - | - | - | 0.121 | 0.864 | - | - | - | |
| (0.830) †† | (0.356) † | (0.694) †† | (0.273) | ||||||||
| Class 4 | 0.005 * | 0.049 * | 0.817 | - | - | 0.007 * | 0.235 | 0.817 | - | - | |
| (0.955) †† | (0.769) †† | (0.543) †† | (0.914) †† | (0.544) †† | (0.270) | ||||||
| AP | 0.000 * | 0.013 * | 0.716 | 0.997 | - | 0.000 * | 0.090 | 0.716 | 0.997 | - | |
| (0.911) †† | (0.699) †† | (0.527) †† | (0.155) | (0.936) †† | (0.506) †† | (0.239) | (0.057) | ||||
| Sagittal | Class 2 | 0.316 | - | - | - | - | 0.029 * | - | - | - | - |
| (0.511) †† | (0.652) †† | ||||||||||
| Class 3 | 0.080 | 0.737 | - | - | - | 0.010 * | 0.977 | - | - | - | |
| (0.765) †† | (0.356) † | (0.830) †† | (0.196) | ||||||||
| Class 4 | 0.009 | 0.300 | 0.066 | - | - | 0.000 * | 0.402 | 0.855 | - | - | |
| (0.871) †† | (0.503) †† | (0.186) | (0.914) †† | (0.314) † | (0.061) | ||||||
| AP | 0.000 * | 0.031 * | 0.048 * | 1.000 | - | 0.000 * | 0.582 | 0.968 | 0.968 | - | |
| (0.911) †† | (0.611) †† | (0.333) † | (0.024) | (0.911) †† | (0.251) | (0.122) | (0.032) | ||||
| Frontal | Class 2 | 0.586 | - | - | - | - | 0.043 * | - | - | - | - |
| (0.380) † | (0.820) †† | ||||||||||
| Class 3 | 0.177 | 0.582 | - | - | - | 0.051 | 0.999 | - | - | - | |
| (0.380) † | (0.436) † | (0.830) †† | (0.040) | ||||||||
| Class 4 | 0.005 * | 0.023 * | 0.066 | - | - | 0.007 * | 0.990 | 1.000 | - | - | |
| (0.955) †† | (0.880) †† | (0.768) †† | (0.914) †† | (0.103) | (0.021) | ||||||
| AP | 0.000 * | 0.009 * | 0.048 * | 0.993 | - | 0.000 * | 0.905 | 0.985 | 0.847 | - | |
| (0.911) †† | (0.754) †† | (0.597) †† | (0.073) | (0.936) †† | (0.162) | (0.093) | (0.179) | ||||
| Frontal | Class 2 | 0.687 | - | - | - | - | 0.060 | - | - | - | - |
| in 6 groups | (0.380) † | (0.820) †† | |||||||||
| Class 3 | 0.234 | 0.684 | - | - | - | 0.072 | 1.000 | - | - | - | |
| (0.633) †† | (0.436) | (0.830) †† | (0.040) | ||||||||
| Class 4.0 | 0.140 | 0.221 | 0.276 | - | - | 0.217 | 0.998 | 0.897 | - | - | |
| (0.756) †† | (0.743) †† | (0.597) †† | (0.679) †† | (0.096) | (0.318) † | ||||||
| Class 4.5 | 0.024 * | 0.068 | 0.176 | 1.000 | - | 0.024 * | 0.943 | 0.998 | 0.790 | - | |
| (0.910) †† | (0.860) †† | (0.820) †† | (0.200) | (0.910) †† | (0.239) | (0.096) | (0.374) † | ||||
| AP | 0.001 * | 0.013 * | 0.067 | 0.999 | 1.000 | 0.001 * | 0.952 | 0.995 | 0.755 | 0.999 | |
| (0.911) †† | (0.754) †† | (0.597) †† | (0.279) | (0.071) | (0.936) †† | (0.162) | (0.093) | (0.261) | (0.071) | ||
Disclaimer/Publisher’s Note: The statements, opinions and data contained in all publications are solely those of the individual author(s) and contributor(s) and not of MDPI and/or the editor(s). MDPI and/or the editor(s) disclaim responsibility for any injury to people or property resulting from any ideas, methods, instructions or products referred to in the content. |
© 2025 by the authors. Licensee MDPI, Basel, Switzerland. This article is an open access article distributed under the terms and conditions of the Creative Commons Attribution (CC BY) license (https://creativecommons.org/licenses/by/4.0/).
Share and Cite
Shimoyama, Y.; Kasai, S.; Wagatsuma, H.; Ibusuki, T.; Tsukada, T.; Tachibana, K. Objective Evaluation of Out-of-Competition Volume of Action in Wheelchair Basketball Classification. Sports 2025, 13, 48. https://doi.org/10.3390/sports13020048
Shimoyama Y, Kasai S, Wagatsuma H, Ibusuki T, Tsukada T, Tachibana K. Objective Evaluation of Out-of-Competition Volume of Action in Wheelchair Basketball Classification. Sports. 2025; 13(2):48. https://doi.org/10.3390/sports13020048
Chicago/Turabian StyleShimoyama, Yuki, Shintaro Kasai, Hiroaki Wagatsuma, Tatsuru Ibusuki, Takumi Tsukada, and Kaori Tachibana. 2025. "Objective Evaluation of Out-of-Competition Volume of Action in Wheelchair Basketball Classification" Sports 13, no. 2: 48. https://doi.org/10.3390/sports13020048
APA StyleShimoyama, Y., Kasai, S., Wagatsuma, H., Ibusuki, T., Tsukada, T., & Tachibana, K. (2025). Objective Evaluation of Out-of-Competition Volume of Action in Wheelchair Basketball Classification. Sports, 13(2), 48. https://doi.org/10.3390/sports13020048

