Countermovement Jump Peak Power Changes with Age in Masters Weightlifters
Abstract
1. Introduction
2. Materials and Methods
2.1. Study Design
2.2. Countermovement Jump Testing
2.3. Data Collection and Reduction
2.4. Statistical Analysis
3. Results
3.1. Comparison of Female and Male Weightlifters
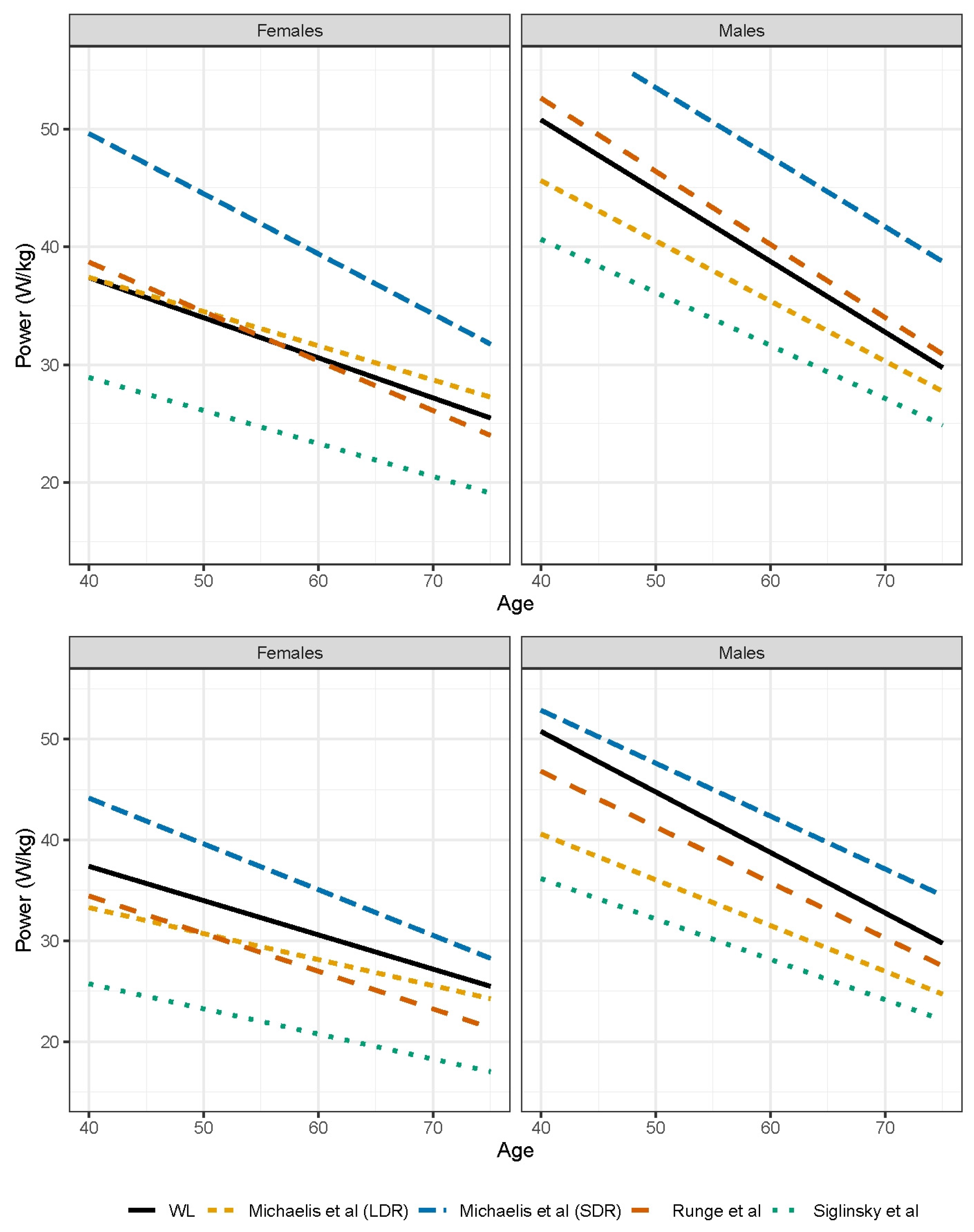
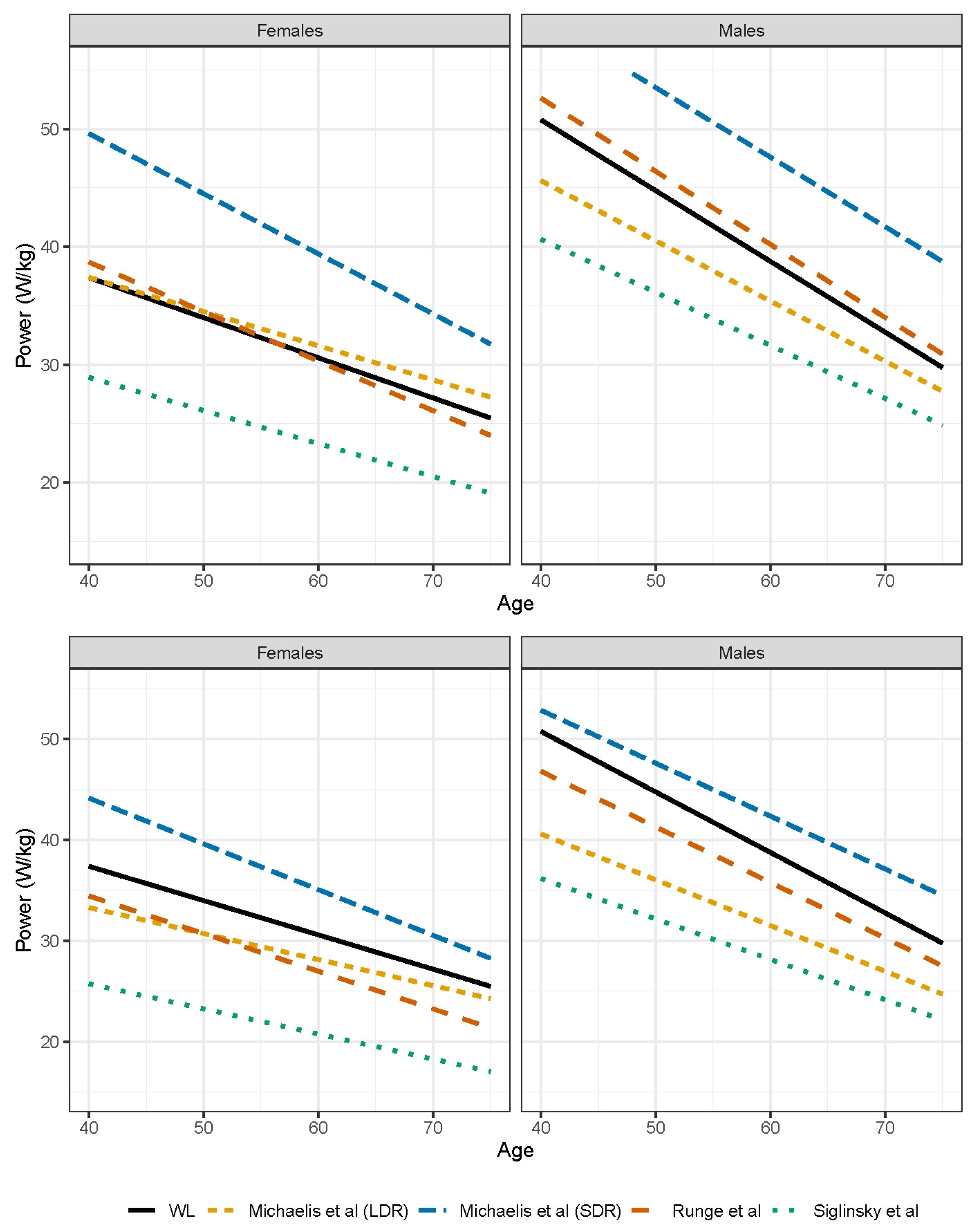
3.2. Comparison of Weightlifters to Community Normative Data
3.3. Comparison of Weightlifters to Masters Athletes
4. Discussion
5. Conclusions
Author Contributions
Funding
Institutional Review Board Statement
Informed Consent Statement
Data Availability Statement
Conflicts of Interest
References
- Evans, W.J. What is sarcopenia? J. Gerontol. Biol. Sci. Med. Sci. 1995, 50, 5–8. [Google Scholar] [CrossRef] [PubMed]
- Tanaka, H.; Tarumi, T.; Rittweger, J. Aging and Physiological Lessons from Master Athletes. Compr. Physiol. 2019, 10, 261–296. [Google Scholar] [PubMed]
- Clark, B.C.; Manini, T.M. Sarcopenia ≠ dynapenia. J. Gerontol. Biol. Sci. Med. Sci. 2008, 63, 829–834. [Google Scholar] [CrossRef] [PubMed]
- Lauretani, F.; Russo, C.R.; Bandinelli, S.; Bartali, B.; Cavazzini, C.; Di Iorio, A.; Corsi, A.M.; Rantanen, T.; Guralnik, J.M.; Ferrucci, L. Age-associated changes in skeletal muscles and their effect on mobility: An operational diagnosis of sarcopenia. J. Appl. Physiol. (1985) 2003, 95, 1851–1860. [Google Scholar] [CrossRef] [PubMed]
- Pearson, S.J.; Young, A.; Macaluso, A.; Devito, G.; Nimmo, M.A.; Cobbold, M.; Harridge, S.D. Muscle function in elite master weightlifters. Med. Sci. Sports Exerc. 2002, 34, 1199–1206. [Google Scholar] [CrossRef] [PubMed]
- Skelton, D.A.; Greig, C.A.; Davies, J.M.; Young, A. Strength, power and related functional ability of healthy people aged 65–89 years. Age Ageing 1994, 23, 371–377. [Google Scholar] [CrossRef]
- Bean, J.F.; Leveille, S.G.; Kiely, D.K.; Bandinelli, S.; Guralnik, J.M.; Ferrucci, L. A comparison of leg power and leg strength within the InCHIANTI study: Which influences mobility more? J. Gerontol. Biol. Sci. Med. Sci. 2003, 58, 728–733. [Google Scholar] [CrossRef]
- Foldvari, M.; Clark, M.; Laviolette, L.C.; Bernstein, M.A.; Kaliton, D.; Castaneda, C.; Pu, C.T.; Hausdorff, J.M.; Fielding, R.A.; Singh, M.A. Association of muscle power with functional status in community-dwelling elderly women. J. Gerontol. Biol. Sci. Med. Sci. 2000, 55, M192–M199. [Google Scholar] [CrossRef]
- Edwén, C.E.; Thorlund, J.B.; Magnusson, S.P.; Slinde, F.; Svantesson, U.; Hulthén, L.; Aagaard, P. Stretch-shortening cycle muscle power in women and men aged 18-81 years: Influence of age and gender. Scand. J. Med. Sci. Sports 2014, 24, 717–726. [Google Scholar] [CrossRef]
- Reid, K.F.; Fielding, R.A. Skeletal muscle power: A critical determinant of physical functioning in older adults. Exerc. Sport. Sci. Rev. 2012, 40, 4–12. [Google Scholar] [CrossRef]
- Buehring, B.; Krueger, D.; Fidler, E.; Gangnon, R.; Heiderscheit, B.; Binkley, N. Reproducibility of jumping mechanography and traditional measures of physical and muscle function in older adults. Osteoporos. Int. 2015, 26, 819–825. [Google Scholar] [CrossRef] [PubMed]
- Ditroilo, M.; Forte, R.; McKeown, D.; Boreham, C.; De Vito, G. Intra- and inter-session reliability of vertical jump performance in healthy middle-aged and older men and women. J. Sports Sci. 2011, 29, 1675–1682. [Google Scholar] [CrossRef] [PubMed]
- Farias, D.L.; Teixeira, T.G.; Madrid, B.; Pinho, D.; Boullosa, D.A.; Prestes, J. Reliability of vertical jump performance evaluated with contact mat in elderly women. Clin. Physiol. Funct. Imaging 2013, 33, 288–292. [Google Scholar] [CrossRef] [PubMed]
- Holsgaard Larsen, A.; Caserotti, P.; Puggaard, L.; Aagaard, P. Reproducibility and relationship of single-joint strength vs. multi-joint strength and power in aging individuals. Scand. J. Med. Sci. Sports 2007, 17, 43–53. [Google Scholar] [CrossRef] [PubMed]
- Matheson, L.A.; Duffy, S.; Maroof, A.; Gibbons, R.; Duffy, C.; Roth, J. Intra- and inter-rater reliability of jumping mechanography muscle function assessments. J. Musculoskelet. Neuronal Interact. 2013, 13, 480–486. [Google Scholar]
- Rittweger, J.; Schiessl, H.; Felsenberg, D.; Runge, M. Reproducibility of the jumping mechanography as a test of mechanical power output in physically competent adult and elderly subjects. J. Am. Geriatr. Soc. 2004, 52, 128–131. [Google Scholar] [CrossRef]
- Veilleux, L.N.; Rauch, F. Reproducibility of jumping mechanography in healthy children and adults. J. Musculoskelet. Neuronal Interact. 2010, 10, 256–266. [Google Scholar]
- Buehring, B.; Krueger, D.; Binkley, N. Jumping mechanography: A potential tool for sarcopenia evaluation in older individuals. J. Clin. Densitom. 2010, 13, 283–291. [Google Scholar] [CrossRef]
- Hannam, K.; Hartley, A.; Clark, E.M.; Aihie Sayer, A.; Tobias, J.H.; Gregson, C.L. Feasibility and acceptability of using jumping mechanography to detect early components of sarcopenia in community-dwelling older women. J. Musculoskelet. Neuronal Interact. 2017, 17, 246–257. [Google Scholar]
- Hong, N.; Siglinsky, E.; Krueger, D.; White, R.; Kim, C.O.; Kim, H.C.; Yeom, Y.; Binkley, N.; Rhee, Y.; Buehring, B. Defining an international cut-off of two-legged countermovement jump power for sarcopenia and dysmobility syndrome. Osteoporos. Int. 2021, 32, 483–493. [Google Scholar] [CrossRef]
- Santos, C.A.F.; Amirato, G.R.; Jacinto, A.F.; Pedrosa, A.V.; Caldo-Silva, A.; Sampaio, A.R.; Pimenta, N.; Santos, J.M.B.; Pochini, A.; Bachi, A.L.L. Vertical Jump Tests: A Safe Instrument to Improve the Accuracy of the Functional Capacity Assessment in Robust Older Women. Healthcare 2022, 10, 323. [Google Scholar] [CrossRef] [PubMed]
- Singh, H.; Kim, D.; Kim, E.; Bemben, M.G.; Anderson, M.; Seo, D.I.; Bemben, D.A. Jump test performance and sarcopenia status in men and women, 55 to 75 years of age. J. Geriatr. Phys. Ther. 2014, 37, 76–82. [Google Scholar] [CrossRef] [PubMed]
- Alvero-Cruz, J.R.; Brikis, M.; Chilibeck, P.; Frings-Meuthen, P.; Vico Guzmán, J.F.; Mittag, U.; Michely, S.; Mulder, E.; Tanaka, H.; Tank, J.; et al. Age-Related Decline in Vertical Jumping Performance in Masters Track and Field Athletes: Concomitant Influence of Body Composition. Front. Physiol. 2021, 12, 643649. [Google Scholar] [CrossRef] [PubMed]
- Caserotti, P.; Aagaard, P.; Simonsen, E.B.; Puggaard, L. Contraction-specific differences in maximal muscle power during stretch-shortening cycle movements in elderly males and females. Eur. J. Appl. Physiol. 2001, 84, 206–212. [Google Scholar] [CrossRef] [PubMed]
- Dietzel, R.; Gast, U.; Heine, T.; Felsenberg, D.; Armbrecht, G. Cross-sectional assessment of neuromuscular function using mechanography in women and men aged 20-85 years. J. Musculoskelet. Neuronal Interact. 2013, 13, 312–319. [Google Scholar]
- Runge, M.; Rittweger, J.; Russo, C.R.; Schiessl, H.; Felsenberg, D. Is muscle power output a key factor in the age-related decline in physical performance? A comparison of muscle cross section, chair-rising test and jumping power. Clin. Physiol. Funct. Imaging 2004, 24, 335–340. [Google Scholar] [CrossRef]
- Siglinsky, E.; Krueger, D.; Ward, R.E.; Caserotti, P.; Strotmeyer, E.S.; Harris, T.B.; Binkley, N.; Buehring, B. Effect of age and sex on jumping mechanography and other measures of muscle mass and function. J. Musculoskelet. Neuronal Interact. 2015, 15, 301–308. [Google Scholar]
- Tsubaki, A.; Kubo, M.; Kobayashi, R.; Jigami, H.; Takahashi, H.E. Normative values for maximum power during motor function assessment of jumping among physically active Japanese. J. Musculoskelet. Neuronal Interact. 2009, 9, 263–267. [Google Scholar]
- Winger, M.E.; Caserotti, P.; Cauley, J.A.; Boudreau, R.M.; Piva, S.R.; Cawthon, P.M.; Harris, T.B.; Barrett-Connor, E.; Fink, H.A.; Kado, D.M.; et al. Associations between novel jump test measures, grip strength, and physical performance: The Osteoporotic Fractures in Men (MrOS) Study. Aging Clin. Exp. Res. 2020, 32, 587–595. [Google Scholar] [CrossRef]
- Hoang, D.K.; Le, N.M.; Vo-Thi, U.P.; Nguyen, H.G.; Ho-Pham, L.T.; Nguyen, T.V. Mechanography assessment of fall risk in older adults: The Vietnam Osteoporosis Study. J. Cachexia Sarcopenia Muscle 2021, 12, 1161–1167. [Google Scholar] [CrossRef]
- Lee, E.Y.; Lee, S.J.; Kim, K.M.; Seo, D.H.; Lee, S.W.; Choi, H.S.; Kim, H.C.; Youm, Y.; Kim, C.O.; Rhee, Y. Lower Jump Power Rather Than Muscle Mass Itself is Associated with Vertebral Fracture in Community-Dwelling Elderly Korean Women. Calcif. Tissue Int. 2017, 100, 585–594. [Google Scholar] [CrossRef] [PubMed]
- Hong, N.; Kim, C.O.; Youm, Y.; Kim, H.C.; Rhee, Y. Low peak jump power is associated with elevated odds of dysmobility syndrome in community-dwelling elderly individuals: The Korean Urban Rural Elderly (KURE) study. Osteoporos. Int. 2018, 29, 1427–1436. [Google Scholar] [CrossRef] [PubMed]
- Grassi, B.; Cerretelli, P.; Narici, M.V.; Marconi, C. Peak anaerobic power in master athletes. Eur. J. Appl. Physiol. Occup. Physiol. 1991, 62, 394–399. [Google Scholar] [CrossRef] [PubMed]
- Hawkins, S.A.; Wiswell, R.A.; Marcell, T.J. Exercise and the master athlete—A model of successful aging? J. Gerontol. Biol. Sci. Med. Sci. 2003, 58, 1009–1011. [Google Scholar] [CrossRef] [PubMed]
- Michaelis, I.; Kwiet, A.; Gast, U.; Boshof, A.; Antvorskov, T.; Jung, T.; Rittweger, J.; Felsenberg, D. Decline of specific peak jumping power with age in master runners. J. Musculoskelet. Neuronal Interact. 2008, 8, 64–70. [Google Scholar]
- Bagley, L.; McPhee, J.S.; Ganse, B.; Müller, K.; Korhonen, M.T.; Rittweger, J.; Degens, H. Similar relative decline in aerobic and anaerobic power with age in endurance and power master athletes of both sexes. Scand. J. Med. Sci. Sports 2019, 29, 791–799. [Google Scholar] [CrossRef]
- Ireland, A.; Mittag, U.; Degens, H.; Felsenberg, D.; Heinonen, A.; Koltai, E.; Korhonen, M.T.; McPhee, J.S.; Mekjavic, I.; Pisot, R.; et al. Age-Related Declines in Lower Limb Muscle Function are Similar in Power and Endurance Athletes of Both Sexes: A Longitudinal Study of Master Athletes. Calcif. Tissue Int. 2022, 110, 196–203. [Google Scholar] [CrossRef]
- Gast, U.; Belavý, D.L.; Armbrecht, G.; Kusy, K.; Lexy, H.; Rawer, R.; Rittweger, J.; Winwood, K.; Zieliński, J.; Felsenberg, D. Bone density and neuromuscular function in older competitive athletes depend on running distance. Osteoporos. Int. 2013, 24, 2033–2042. [Google Scholar] [CrossRef][Green Version]
- Berton, R.; Lixandrão, M.E.; Pinto, E.S.C.M.; Tricoli, V. Effects of weightlifting exercise, traditional resistance and plyometric training on countermovement jump performance: A meta-analysis. J. Sports Sci. 2018, 36, 2038–2044. [Google Scholar] [CrossRef]
- Dietzel, R.; Felsenberg, D.; Armbrecht, G. Mechanography performance tests and their association with sarcopenia, falls and impairment in the activities of daily living—A pilot cross-sectional study in 293 older adults. J. Musculoskelet. Neuronal Interact. 2015, 15, 249–256. [Google Scholar]
- Elam, C.; Aagaard, P.; Slinde, F.; Svantesson, U.; Hulthén, L.; Magnusson, P.S.; Bunketorp-Käll, L. The effects of ageing on functional capacity and stretch-shortening cycle muscle power. J. Phys. Ther. Sci. 2021, 33, 250–260. [Google Scholar] [CrossRef] [PubMed]
- Gathercole, R.; Sporer, B.; Stellingwerff, T.; Sleivert, G. Alternative countermovement-jump analysis to quantify acute neuromuscular fatigue. Int. J. Sports Physiol. Perform. 2015, 10, 84–92. [Google Scholar] [CrossRef] [PubMed]
- Riemann, B.; Johnson, M.; Davies, G.; Flatt, A. Residual effects of same day lower extremity strength training on countermovement jump performance in collegiate women athletes. J. Hum. Kinet. 2024, 92, 213–225. [Google Scholar] [CrossRef] [PubMed]
- Piasecki, J.; McPhee, J.S.; Hannam, K.; Deere, K.C.; Elhakeem, A.; Piasecki, M.; Degens, H.; Tobias, J.H.; Ireland, A. Hip and spine bone mineral density are greater in master sprinters, but not endurance runners compared with non-athletic controls. Arch. Osteoporos. 2018, 13, 72. [Google Scholar] [CrossRef]
- Rigby, R.A.; Stasinopoulos, D.M. Generalized Additive Models for Location, Scale and Shape. J. R. Stat. Soc. Ser. Appl. Stat. 2005, 54, 507–554. [Google Scholar] [CrossRef]
- Cole, T.J.; Stanojevic, S.; Stocks, J.; Coates, A.L.; Hankinson, J.L.; Wade, A.M. Age- and size-related reference ranges: A case study of spirometry through childhood and adulthood. Stat. Med. 2009, 28, 880–898. [Google Scholar] [CrossRef]
- R Development Core Team. R: A Language and Environment for Statistical Computing; R Foundation for Statistical Computing: Vienna, Austria, 2023. [Google Scholar]
- Feltner, M.E.; Bishop, E.J.; Perez, C.M. Segmental and kinetic contributions in vertical jumps performed with and without an arm swing. Res. Q. Exerc. Sport. 2004, 75, 216–230. [Google Scholar] [CrossRef]
- Gerodimos, V.; Zafeiridis, A.; Perkos, S.; Dipla, K.; Manou, V.; Kellis, S. The contribution of stretch-shortening cycle and arm-swing to vertical jumping performance in children, adolescents, and adult basketball players. Pediatr. Exerc. Sci. 2008, 20, 379–389. [Google Scholar] [CrossRef]
- Hara, M.; Shibayama, A.; Takeshita, D.; Fukashiro, S. The effect of arm swing on lower extremities in vertical jumping. J. Biomech. 2006, 39, 2503–2511. [Google Scholar] [CrossRef]
- Lees, A.; Vanrenterghem, J.; Clercq, D.D. Understanding how an arm swing enhances performance in the vertical jump. J. Biomech. 2004, 37, 1929–1940. [Google Scholar] [CrossRef]
- Mosier, E.M.; Fry, A.C.; Lane, M.T. Kinetic Contributions of The Upper Limbs During Counter-Movement Verical Jumps with and Without Arm Swing. J. Strength. Cond. Res. 2019, 33, 2066–2073. [Google Scholar] [CrossRef] [PubMed]
- Vaverka, F.; Jandačka, D.; Zahradník, D.; Uchytil, J.; Farana, R.; Supej, M.; Vodičar, J. Effect of an Arm Swing on Countermovement Vertical Jump Performance in Elite Volleyball Players. J. Hum. Kinet. 2016, 53, 41–50. [Google Scholar] [CrossRef]
- Walsh, M.S.; Böhm, H.; Butterfield, M.M.; Santhosam, J. Gender bias in the effects of arms and countermovement on jumping performance. J. Strength. Cond. Res. 2007, 21, 362–366. [Google Scholar] [PubMed]
- Weyand, P.G.; Sternlight, D.B.; Bellizzi, M.J.; Wright, S. Faster top running speeds are achieved with greater ground forces not more rapid leg movements. J. Appl. Physiol. 2000, 89, 1991–1999. [Google Scholar] [CrossRef] [PubMed]
- Slawinski, J.; Bonnefoy, A.; Ontanon, G.; Leveque, J.M.; Miller, C.; Riquet, A.; Chèze, L.; Dumas, R. Segment-interaction in sprint start: Analysis of 3D angular velocity and kinetic energy in elite sprinters. J. Biomech. 2010, 43, 1494–1502. [Google Scholar] [CrossRef]
- Suetta, C.; Haddock, B.; Alcazar, J.; Noerst, T.; Hansen, O.M.; Ludvig, H.; Kamper, R.S.; Schnohr, P.; Prescott, E.; Andersen, L.L.; et al. The Copenhagen Sarcopenia Study: Lean mass, strength, power, and physical function in a Danish cohort aged 20–93 years. J. Cachexia Sarcopenia Muscle 2019, 10, 1316–1329. [Google Scholar] [CrossRef]
- Nilwik, R.; Snijders, T.; Leenders, M.; Groen, B.B.; van Kranenburg, J.; Verdijk, L.B.; van Loon, L.J. The decline in skeletal muscle mass with aging is mainly attributed to a reduction in type II muscle fiber size. Exp. Gerontol. 2013, 48, 492–498. [Google Scholar] [CrossRef]
- Trevino, M.A.; Sterczala, A.J.; Miller, J.D.; Wray, M.E.; Dimmick, H.L.; Ciccone, A.B.; Weir, J.P.; Gallagher, P.M.; Fry, A.C.; Herda, T.J. Sex-related differences in muscle size explained by amplitudes of higher-threshold motor unit action potentials and muscle fibre typing. Acta Physiol. 2019, 225, e13151. [Google Scholar] [CrossRef]
- Wu, F.C.; Tajar, A.; Beynon, J.M.; Pye, S.R.; Silman, A.J.; Finn, J.D.; O’Neill, T.W.; Bartfai, G.; Casanueva, F.F.; Forti, G.; et al. Identification of late-onset hypogonadism in middle-aged and elderly men. N. Engl. J. Med. 2010, 363, 123–135. [Google Scholar] [CrossRef]
- Baumgartner, R.N.; Waters, D.L.; Gallagher, D.; Morley, J.E.; Garry, P.J. Predictors of skeletal muscle mass in elderly men and women. Mech. Ageing Dev. 1999, 107, 123–136. [Google Scholar] [CrossRef]
- Phillips, S.K.; Rook, K.M.; Siddle, N.C.; Bruce, S.A.; Woledge, R.C. Muscle weakness in women occurs at an earlier age than in men, but strength is preserved by hormone replacement therapy. Clin. Sci. 1993, 84, 95–98. [Google Scholar] [CrossRef] [PubMed]
- Enns, D.L.; Tiidus, P.M. The influence of estrogen on skeletal muscle: Sex matters. Sports Med. 2010, 40, 41–58. [Google Scholar] [CrossRef] [PubMed]
- Morris, S.J.; Oliver, J.L.; Pedley, J.S.; Haff, G.G.; Lloyd, R.S. Comparison of Weightlifting, Traditional Resistance Training and Plyometrics on Strength, Power and Speed: A Systematic Review with Meta-Analysis. Sports Med. 2022, 52, 1533–1554. [Google Scholar] [CrossRef] [PubMed]
- Petermann-Rocha, F.; Balntzi, V.; Gray, S.R.; Lara, J.; Ho, F.K.; Pell, J.P.; Celis-Morales, C. Global prevalence of sarcopenia and severe sarcopenia: A systematic review and meta-analysis. J. Cachexia Sarcopenia Muscle 2022, 13, 86–99. [Google Scholar] [CrossRef]
- Mandic, R.; Jakovljevic, S.; Jaric, S. Effects of countermovement depth on kinematic and kinetic patterns of maximum vertical jumps. J. Electromyogr. Kinesiol. 2015, 25, 265–272. [Google Scholar] [CrossRef]
- Pérez-Castilla, A.; Rojas, F.J.; Gómez-Martínez, F.; García-Ramos, A. Vertical jump performance is affected by the velocity and depth of the countermovement. Sports Biomech. 2019, 20, 1015–1030. [Google Scholar] [CrossRef]
- Sánchez-Sixto, A.; Harrison, A.J.; Floría, P. Larger Countermovement Increases the Jump Height of Countermovement Jump. Sports 2018, 6, 131. [Google Scholar] [CrossRef]



| N | Females (N = 63) | Males (N = 39) | Test Statistic p Value | |
|---|---|---|---|---|
| Age (yrs) | 102 | 56.0 (50.0, 63.0) | 59.0 (51.0, 65.5) | p = 0.257 |
| 35 to 39 | 1 | 2 | ||
| 40 to 49 | 14 | 7 | ||
| 50 to 59 | 25 | 11 | ||
| 60 to 69 | 22 | 12 | ||
| 70 to 79 | 1 | 5 | ||
| 80 to 89 | 0 | 2 | ||
| Height (m) | 102 | 1.60 (1.56, 1.67) | 1.72 (1.63, 1.74) | p < 0.001 |
| Mass (kg) | 102 | 59.5 (52.6,70.0) | 74.4 (66.8, 87.2) | p < 0.001 |
| WL start age (yrs) | 96 | 48.5 (42.2, 55.0) | 25.5 (15.0, 47.5) | p < 0.001 |
| WL experience (yrs) | 96 | 6.5 (4.0, 9.0) | 25.0 (6.0, 42.7) | p < 0.001 |
| EX per week (hrs) | 95 | 7.0 (6.0, 9.0) | 8.0 (7.0, 9.0) | p = 0.816 |
| >3 same day caffeine servings | 102 | 2 | 2 |
| Estimate (SE) | p Value | |
|---|---|---|
| Mu link function: identity | ||
| intercept | 50.98 (3.51) | <0.001 |
| age | −0.34 (0.06) | <0.001 |
| sex | 23.78 (4.31) | <0.001 |
| age × sex | −0.26 (0.07) | 0.0003 |
| Sigma link function: log | ||
| intercept | −1.44 (0.78) | 0.071 |
| age | −0.01 (0.01) | 0.505 |
| Nu link function: identity | ||
| intercept | −21.50 (8.00) | 0.008 |
| age | 0.40 (0.14) | 0.005 |
Disclaimer/Publisher’s Note: The statements, opinions and data contained in all publications are solely those of the individual author(s) and contributor(s) and not of MDPI and/or the editor(s). MDPI and/or the editor(s) disclaim responsibility for any injury to people or property resulting from any ideas, methods, instructions or products referred to in the content. |
© 2024 by the authors. Licensee MDPI, Basel, Switzerland. This article is an open access article distributed under the terms and conditions of the Creative Commons Attribution (CC BY) license (https://creativecommons.org/licenses/by/4.0/).
Share and Cite
Riemann, B.L.; Johnson, M.; Helms, M.K.; Hatchett, A.; Vondrasek, J.D.; Watts, C.Q.; Huebner, M. Countermovement Jump Peak Power Changes with Age in Masters Weightlifters. Sports 2024, 12, 259. https://doi.org/10.3390/sports12090259
Riemann BL, Johnson M, Helms MK, Hatchett A, Vondrasek JD, Watts CQ, Huebner M. Countermovement Jump Peak Power Changes with Age in Masters Weightlifters. Sports. 2024; 12(9):259. https://doi.org/10.3390/sports12090259
Chicago/Turabian StyleRiemann, Bryan L., Matthew Johnson, Matthew K. Helms, Andrew Hatchett, Joseph D. Vondrasek, Cullun Q. Watts, and Marianne Huebner. 2024. "Countermovement Jump Peak Power Changes with Age in Masters Weightlifters" Sports 12, no. 9: 259. https://doi.org/10.3390/sports12090259
APA StyleRiemann, B. L., Johnson, M., Helms, M. K., Hatchett, A., Vondrasek, J. D., Watts, C. Q., & Huebner, M. (2024). Countermovement Jump Peak Power Changes with Age in Masters Weightlifters. Sports, 12(9), 259. https://doi.org/10.3390/sports12090259

