Stress-Related Hormonal and Psychological Changes to Simulated and Official Judo Black Belt Examination in Older Tori and Adult Uke: An Exploratory Observational Study
Abstract
1. Introduction
- Due to evaluation-related pressure in a formal and demanding context, older judo-ka would experience higher stress levels during an official examination compared to simulated and resting conditions;
- Due to differences in experience and physical capacity between groups, older judoka would face higher stress during an official examination compared to skillful black belt adult Uke.
2. Materials and Methods
2.1. Study Design
2.2. Participants
2.3. Procedures
2.3.1. Judo Black Belt Examination
2.3.2. Measurements
Psychological Assessments
Saliva Sampling
2.4. Statistical Analysis
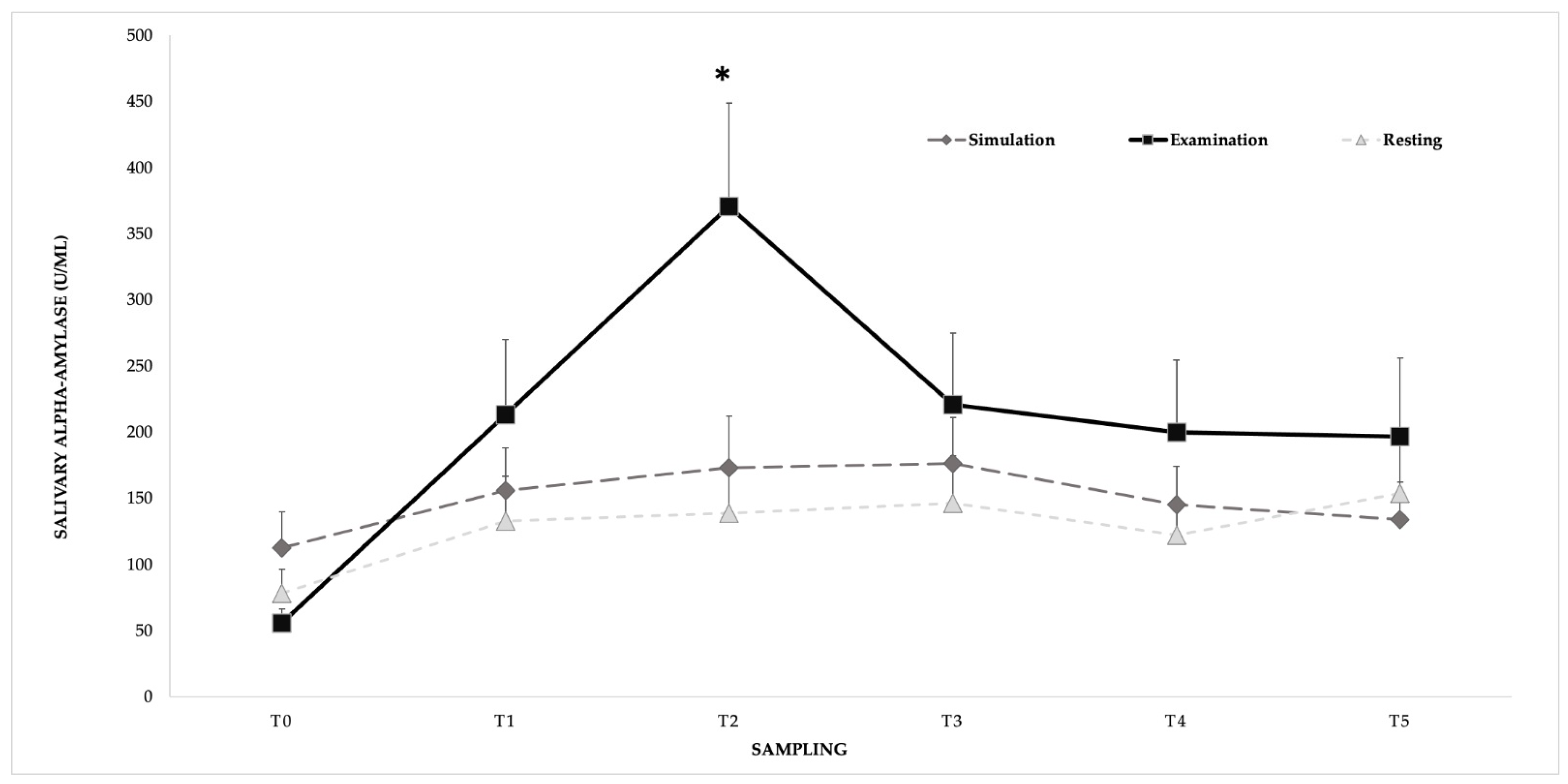
3. Results
4. Discussion
5. Limitations, Practical Implications, and Future Directions
6. Conclusions
Author Contributions
Funding

Institutional Review Board Statement
Informed Consent Statement
Data Availability Statement
Acknowledgments
Conflicts of Interest
References
- Kano, J. Kodokan Judo: The Essential Guide to Judo by Its Founder Jigoro Kano; Kodansha International: New York, NY, USA, 2013. [Google Scholar]
- Rossi, C.; Roklicer, R.; Tubic, T.; Bianco, A.; Gentile, A.; Manojlovic, M.; Maksimovic, N.; Trivic, T.; Drid, P. The Role of Psychological Factors in Judo: A Systematic Review. Int. J. Environ. Res. Public Health 2022, 19, 2093. [Google Scholar] [CrossRef] [PubMed]
- Filaire, E.; Maso, F.; Sagnol, M.; Ferrand, C.; Lac, G. Anxiety, hormonal responses, and coping during a judo competition. Aggress. Behav. 2001, 27, 55–63. [Google Scholar] [CrossRef]
- Neves, R.S.; da Silva, M.A.R.; de Rezende, M.A.C.; Caldo-Silva, A.; Pinheiro, J.; Santos, A.M.C. Salivary Markers Responses in the Post-Exercise and Recovery Period: A Systematic Review. Sports 2023, 11, 137. [Google Scholar] [CrossRef] [PubMed]
- Papacosta, E.; Nassis, G.P.; Gleeson, M. Salivary hormones and anxiety in winners and losers of an international judo competition. J. Sports Sci. 2016, 34, 1281–1287. [Google Scholar] [CrossRef]
- Casto, K.V.; Edwards, D.A. Testosterone, cortisol, and human competition. Horm. Behav. 2016, 82, 21–37. [Google Scholar] [CrossRef]
- Van Paridon, K.N.; Timmis, M.A.; Nevison, C.M.; Bristow, M. The anticipatory stress response to sport competition; A systematic review with meta-analysis of cortisol reactivity. BMJ Open Sport. Exerc. Med. 2017, 3, e000261. [Google Scholar] [CrossRef]
- Spirduso, W.; Francis, K.; MacRae, P.G. Pshysical Dimensions of Aging, 2nd ed.; Human Kinetics: Champaign, IL, USA, 2005; pp. 177–207. ISBN 978-0736033152. [Google Scholar]
- da Silva Batista, M.A.; Castuera, R.J.; Román, M.L.; Muñoz, S.L.; Carrón, M.I.A. Transcontextual model application in the prediction of veteran judo athletes’ life satisfaction. Arch. Budo 2018, 14, 1–12. [Google Scholar]
- Geard, D.; Rebar, A.L.; Dionigi, R.A.; Reaburn, P.R.J. Testing a Model of Successful Aging on Masters Athletes and Non-Sporting Adults. Res. Q. Exerc. Sport 2021, 92, 11–20. [Google Scholar] [CrossRef]
- Jenkin, C.R.; Eime, R.M.; Westerbeek, H.; O’Sullivan, G.; Van Uffelen, J.G.Z. Sport and ageing: A systematic review of the determinants and trends of participation in sport for older adults. BMC Public Health 2017, 17, 976. [Google Scholar] [CrossRef]
- Kim, A.C.H.; Park, S.H.; Kim, S.; Fontes-Comber, A. Psychological and social outcomes of sport participation for older adults: A systematic review. Ageing Soc. 2020, 40, 1529–1549. [Google Scholar] [CrossRef]
- Arkkukangas, M.; Strömqvist Bååthe, K.; Ekholm, A.; Tonkonogi, M. Health promotion and prevention: The impact of specifically adapted judo-inspired training program on risk factors for falls among adults. Prev. Med. Rep. 2020, 19, 101126. [Google Scholar] [CrossRef] [PubMed]
- Arkkukangas, M.; Strömqvist Bååthe, K.; Hamilton, J.; Ekholm, A.; Tonkonogi, M. Feasibility of a novel Judo4Balance—Fall preventive exercise programme targeting community-dwelling older adults. J. Frailty Sarcopenia Falls 2020, 5, 47. [Google Scholar] [CrossRef] [PubMed]
- Chan, U.; Ayliffe, L.; Visvanathan, R.; Headland, M.; Verma, M.; Jadczak, A.D. Judo-based exercise programs to improve health outcomes in middle-aged and older adults with no judo experience: A scoping review. Geriatr. Gerontol. Int. 2023, 23, 163–178. [Google Scholar] [CrossRef] [PubMed]
- Ciaccioni, S.; Castro, O.; Bahrami, F.; Tomporowski, P.D.; Capranica, L.; Biddle, S.J.H.; Vergeer, I.; Pesce, C. Martial arts, combat sports, and mental health in adults: A systematic review. Psychol. Sport Exerc. 2024, 70, 102556. [Google Scholar] [CrossRef]
- Palumbo, F.; Ciaccioni, S.; Guidotti, F.; Forte, R.; Galea, E.; Sacripanti, A.; Lampe, N.; Lampe, Š.; Jelušić, T.; Bradić, S.; et al. Educational Needs for Coaching Judo in Older Adults: The EdJCO Focus Groups. Sports 2023, 11, 143. [Google Scholar] [CrossRef]
- Palumbo, F.; Ciaccioni, S.; Guidotti, F.; Forte, R.; Sacripanti, A.; Capranica, L.; Tessitore, A. Risks and Benefits of Judo Training for Middle-Aged and Older People: A Systematic Review. Sports 2023, 11, 68. [Google Scholar] [CrossRef]
- Valdés-Badilla, P.; Herrera-Valenzuela, T.; Ramirez-Campillo, R.; Aedo-Muñoz, E.; Báez-San Martín, E.; Ojeda-Aravena, A.; Branco, B.H.M. Effects of olympic combat sports on older adults’ health status: A systematic review. Int. J. Environ. Res. Public Health 2021, 18, 7381. [Google Scholar] [CrossRef]
- Ciaccioni, S.; Guidotti, F.; Palumbo, F.; Forte, R.; Galea, E.; Sacripanti, A.; Lampe, N.; Lampe, Š.; Jelušić, T.; Bradić, S.; et al. Development of a Sustainable Educational Programme for Judo Coaches of Older Practitioners: A Transnational European Partnership Endeavor. Sustainability 2024, 16, 1115. [Google Scholar] [CrossRef]
- Ciaccioni, S.; Guidotti, F.; Palumbo, F.; Forte, R.; Galea, E.; Sacripanti, A.; Lampe, N.; Lampe, Š.; Jelušić, T.; Bradić, S.; et al. Judo for older adults: The coaches’ knowledge and needs of education. Front. Sports Act. Living 2024, 6, 1375814. [Google Scholar] [CrossRef]
- Fernández, M.M.; Brito, C.J.; Miarka, B.; Díaz-de-Durana, A.L. Anxiety and Emotional Intelligence: Comparisons Between Combat Sports, Gender and Levels Using the Trait Meta-Mood Scale and the Inventory of Situations and Anxiety Response. Front. Psychol. 2020, 11, 130. [Google Scholar]
- Spielberger, C.D.; Gorsuch, R.L.; Lushene, R.; Vagg, P.R.; Jacobs, G.A. Manual for the State-Trait Anxiety Inventory; Consulting Psychologists Press: Palo Alto, CA, USA, 1983. [Google Scholar]
- von der Embse, N.; Jester, D.; Roy, D.; Post, J. Test anxiety effects, predictors, and correlates: A 30-year meta-analytic review. J. Affect. Disord. 2018, 227, 483–493. [Google Scholar] [CrossRef] [PubMed]
- Dorenkamp, M.A.; Irrgang, M.; Vik, P. Assessment-related anxiety among older adults: Associations with neuropsychological test performance. Aging Neuropsychol. Cogn. 2023, 30, 256–271. [Google Scholar] [CrossRef] [PubMed]
- Kazeminia, M.; Salari, N.; Vaisi-Raygani, A.; Jalali, R.; Abdi, A.; Mohammadi, M.; Daneshkhah, A.; Hosseinian-Far, M.; Shohaimi, S. The effect of exercise on anxiety in the elderly worldwide: A systematic review and meta-analysis. Health Qual. Life Outcomes 2020, 18, 1–8. [Google Scholar] [CrossRef] [PubMed]
- Osness, W.H. Functional Fitness Assessment for Adults over 60 Years; American Alliance for Health, Physical Education, Recreation and Dance: Reston, VA, USA, 1990. [Google Scholar]
- Ciaccioni, S.; Capranica, L.; Forte, R.; Pesce, C.; Condello, G. Effects of a 4-month judo program on gait performance in older adults. J. Sports Med. Phys. Fit. 2020, 60, 685–692. [Google Scholar] [CrossRef]
- Faul, F.; Erdfelder, E.; Lang, A.-G.; Buchner, A. G*Power 3: A flexible statistical power analysis program for the social, behavioral, and biomedical sciences. Behav. Res. Methods 2007, 39, 175–191. [Google Scholar] [CrossRef]
- Borg, G. Borg’s Perceived Exertion and Pain Scales; Human Kinetics: Champaign, IL, USA, 1998; ISBN 978-0880116237. [Google Scholar]
- Tinetti, M.E.; Richman, D.; Powell, L. Falls efficacy as a measure of fear of falling. J. Gerontol. 1990, 45, P239–P243. [Google Scholar] [CrossRef]
- Ciaccioni, S.; Pesce, C.; Capranica, L.; Condello, G. Effects of a judo training program on falling performance, fear of falling and exercise motivation in older novice judoka. Ido Mov. Cult. 2021, 21, 9–17. [Google Scholar]
- Pedrabissi, L.; Santinello, M. Inventario per L’ansia di Stato e di Tratto: Nuova Versione Italiana Dello STAI, Forma Y: Manuale; Organizzazioni speciali: Firenze, Italy, 1989. [Google Scholar]
- Ilardi, C.R.; Gamboz, N.; Iavarone, A.; Chieffi, S.; Brandimonte, M.A. Psychometric properties of the STAI-Y scales and normative data in an Italian elderly population. Aging Clin. Exp. Res. 2021, 33, 2759–2766. [Google Scholar] [CrossRef]
- Foster, C.; Florhaug, J.A.; Franklin, J.; Gottschall, L.; Hrovatin, L.A.; Parker, S.; Doleshal, P.; Dodge, C. A New Approach to Monitoring Exercise Training. J. Strength. Cond. Res. 2001, 15, 109–115. [Google Scholar]
- Hagberg, L.A.; Lindahl, B.; Nyberg, L.; Hellénius, M.L. Importance of enjoyment when promoting physical exercise. Scand. J. Med. Sci. Sports 2009, 19, 740–747. [Google Scholar] [CrossRef]
- Scheffer, A.C.; Schuurmans, M.J.; Vandijk, N.; Van Der Hooft, T.; De Rooij, S.E. Reliability and validity of the visual analogue scale for fear of falling in older persons. J. Am. Geriatr. Soc. 2010, 58, 2228–2230. [Google Scholar] [CrossRef] [PubMed]
- Lopes, P.B.; Cabral, L.L.; Robertson, R.J.; Franco, A.H.; Pereira, G. A systematic review of validity and reliability of perceived exertion scales to older adults. Rev. Psicol. Deporte 2020, 29, 74–89. [Google Scholar]
- Marques-Vieira, C.M.A.; Sousa, L.M.M.; Severino, S.; Sousa, L.; Caldeira, S. Cross-cultural validation of the falls efficacy scale international in elderly: Systematic literature review. J. Clin. Gerontol. Geriatr. 2016, 7, 72–76. [Google Scholar] [CrossRef]
- Filaire, E.; Sagnol, M.; Ferrand, C.; Maso, F.; Lac, G. Psychophysiological stress in judo athletes during competitions. J. Sports Med. Phys. Fit. 2001, 41, 263–268. [Google Scholar]
- Chiodo, S.; Tessitore, A.; Cortis, C.; Cibelli, G.; Lupo, C.; Ammendolia, A.; De Rosas, M.; Capranica, L. Stress-related hormonal and psychological changes to official youth Taekwondo competitions. Scand. J. Med. Sci. Sports 2011, 21, 111–119. [Google Scholar]
- Strahler, J.; Skoluda, N.; Kappert, M.B.; Nater, U.M. Simultaneous measurement of salivary cortisol and alpha-amylase: Application and recommendations. Neurosci. Biobehav. Rev. 2017, 83, 657–677. [Google Scholar] [CrossRef]
- Cavuoto, M.G.; Franzese, S.; Kinsella, G.J. Pre-Test Experience and Memory Performance in Older Adults: The Impact of Test Anxiety and Self-Efficacy. Arch. Clin. Neuropsychol. 2021, 36, 791–800. [Google Scholar] [CrossRef]
- Beck, K.L.; Weeks, L.E.; Montelpare, W.J.; MacDonald, D.J. Identifying important factors for older adults’ physical activity participation across individual/group, structured/unstructured contexts. Eur. J. Ageing 2016, 13, 209–218. [Google Scholar] [CrossRef]
- Norris, L.A.; Didymus, F.F.; Kaiseler, M. Stressors, coping, and well-being among sports coaches: A systematic review. Psychol. Sport. Exerc. 2017, 33, 93–112. [Google Scholar] [CrossRef]
- Cruz, A.B.; Kim, H.D. A bibliometric review of coach leadership studies. Front. Psychol. 2023, 14, 1135243. [Google Scholar] [CrossRef]
- Agostinho, M.F.; Moreira, A.; Julio, U.F.; Marcolino, G.S.; Antunes, B.M.M.; Lira, F.S.; Franchini, E. Monitoring internal training load and salivary immune-endocrine responses during an annual judo training periodization. J. Exerc. Rehabil. 2017, 13, 68. [Google Scholar] [CrossRef] [PubMed]
- Rohleder, N.; Nater, U.M. Determinants of salivary α-amylase in humans and methodological considerations. Psychoneuroendocrinology 2009, 34, 469–485. [Google Scholar] [CrossRef] [PubMed]
- Hidalgo, V.; Pulopulos, M.M.; Puig-Perez, S.; Montoliu, T.; Salvador, A. Diurnal cortisol secretion and health-related quality of life in healthy older people. Int. J. Psychophysiol. 2021, 166, 127–133. [Google Scholar] [CrossRef] [PubMed]
- Heaney, J.L.J.; Phillips, A.C.; Carroll, D. Aging, health behaviors, and the diurnal rhythm and awakening response of salivary cortisol. Exp. Aging Res. 2012, 38, 295–314. [Google Scholar] [CrossRef]
- Piazza, J.R.; Dmitrieva, N.O.; Charles, S.T.; Almeida, D.M.; Orona, G.A. Diurnal cortisol profiles, inflammation, and functional limitations in aging: Findings from the MIDUS study. Health Psychol. 2018, 37, 839–849. [Google Scholar] [CrossRef]
- Ice, G.H.; Katz-Stein, A.; Himes, J.; Kane, R.L. Diurnal cycles of salivary cortisol in older adults. Psychoneuroendocrinology 2004, 29, 355–370. [Google Scholar] [CrossRef]
- Pauly, T.; Drewelies, J.; Kolodziejczak, K.; Katzorreck, M.; Lücke, A.J.; Schilling, O.K.; Kunzmann, U.; Wahl, H.-W.; Ditzen, B.; Ram, N.; et al. Positive and negative affect are associated with salivary cortisol in the everyday life of older adults: A quantitative synthesis of four aging studies. Psychoneuroendocrinology 2021, 133, 105403. [Google Scholar] [CrossRef]
- Gaffey, A.E.; Bergeman, C.S.; Clark, L.A.; Wirth, M.M. Aging and the HPA axis: Stress and resilience in older adults. Neurosci. Biobehav. Rev. 2016, 68, 928–945. [Google Scholar] [CrossRef]
- Ciaccioni, S.; Perazzetti, A.; Magnanini, A.; Kozsla, T.; Capranica, L.; Doupona, M. Intergenerational Judo: Synthesising Evidence- and Eminence-Based Knowledge on Judo across Ages. Sports 2024, 12, 177. [Google Scholar] [CrossRef]
- Ouergui, I.; Ardigò, L.P.; Selmi, O.; Levitt, D.E.; Chtourou, H.; Bouassida, A.; Bouhlel, E.; Franchini, E. Changes in Perceived Exertion, Well-Being, and Recovery During Specific Judo Training: Impact of Training Period and Exercise Modality. Front. Physiol. 2020, 11, 931. [Google Scholar] [CrossRef]




| Theory | |||||||||||
|---|---|---|---|---|---|---|---|---|---|---|---|
| Philosophy and history of judo | Federal organization | Refereeing: terms and gestures | Techniques names | ||||||||
| Practice | |||||||||||
| Fundamentals | |||||||||||
| Shisei-Positions | Kumi kata-Grips | (In)balance methods-Kuzushi | Moves-shintai and tai-sabaki | ||||||||
| Breakfall techniques-Ukemi waza | |||||||||||
| Ushiro-Backwards | Mae-Forwards | Yoko-Lateral | |||||||||
| Nage-no-kata | |||||||||||
| Te-waza-Hand techniques | Koshi-waza-Hip techniques | Ashi-waza-Foot/Leg techniques | |||||||||
| Ju-no-kata | |||||||||||
| Ikkyō (1st group): Tsukidashi; Kata-oshi; Ryōte-dori; Kata-mawashi; Ago-oshi | |||||||||||
| Seiryoku Zen’yo Kokumin Taiiku | |||||||||||
| Tandoku-renshu (solo practice): 1st group—Kagami-migaki—2nd group | |||||||||||
| Additional techniques | |||||||||||
| Tachi-waza (standing techniques) | |||||||||||
| Te-waza: Seoi Nage (ippon/morote/eri); Tai Otoshi | |||||||||||
| Koshi-waza: Uki Goshi; O Goshi; Uchi Mata; Harai Goshi; Koshi Guruma; Tsurikomi Goshi | |||||||||||
| Ashi-waza: De Ashi Barai; Okuri Ashi Barai; O Soto Gari; O Uchi Gari; Sasae Tsurikomi Ashi; Hiza Guruma; Uchi Mata; Ko Soto Gari; Ko Uchi Gari | |||||||||||
| Ne-waza (ground techniques) | |||||||||||
| Osae-komi-waza (pinning techniques): Kesa Gatame; Yoko Shiho Gatame; Kami Shiho Gatame; Tate Shiho Gatame | |||||||||||
| Shime Waza (choking techniques): Kata Juji Jime; Nami Juji Jime; Gyaku Juji Jime; Hadaka Jime; Okuri Eri Jime | |||||||||||
| Kansetsu-waza (joint lock techniques): Ude Garami; Ude Ishigi Juji Gatame; Ude Gatame; Waki Gatame | |||||||||||
| STAY-Y2 (pt) | STAI-Y1 (pt) | |||||||||
|---|---|---|---|---|---|---|---|---|---|---|
| Rest | Simulation | Examination | ||||||||
| PRE | POST | PRE | POST | |||||||
| Tori | Uke | Tori | Uke | Tori | Uke | Tori | Uke | Tori | Uke | |
| Mean | 34.8 | 35.8 | 43.2 | 48.2 | 45.7 | 45.8 | 51.5 | 55.2 | 37.4 | 47.2 |
| SD | 7.8 | 11.2 | 6.9 | 7.6 | 11.6 | 8.8 | 11.1 | 7.8 | 9.0 | 11.1 |
| FoF (pt) | RPE (pt) | ENJ (pt) | ||||||||||
|---|---|---|---|---|---|---|---|---|---|---|---|---|
| Simulation | Examination | Simulation | Examination | Simulation | Examination | |||||||
| Tori | Uke | Tori | Uke | Tori | Uke | Tori | Uke | Tori | Uke | Tori | Uke | |
| Mean | 1.7 | 1.8 | 1.5 | 1.3 | 4.5 | 6.0 | 2.7 | 6.3 | 9.7 | 8.8 | 9.0 | 7.2 |
| SD | 1.0 | 0.8 | 0.8 | 0.5 | 2.7 | 2.4 | 1.6 | 2.7 | 0.8 | 0.4 | 0.9 | 1.7 |
Disclaimer/Publisher’s Note: The statements, opinions and data contained in all publications are solely those of the individual author(s) and contributor(s) and not of MDPI and/or the editor(s). MDPI and/or the editor(s) disclaim responsibility for any injury to people or property resulting from any ideas, methods, instructions or products referred to in the content. |
© 2024 by the authors. Licensee MDPI, Basel, Switzerland. This article is an open access article distributed under the terms and conditions of the Creative Commons Attribution (CC BY) license (https://creativecommons.org/licenses/by/4.0/).
Share and Cite
Ciaccioni, S.; Martusciello, F.; Di Credico, A.; Guidotti, F.; Conte, D.; Palumbo, F.; Capranica, L.; Di Baldassarre, A. Stress-Related Hormonal and Psychological Changes to Simulated and Official Judo Black Belt Examination in Older Tori and Adult Uke: An Exploratory Observational Study. Sports 2024, 12, 310. https://doi.org/10.3390/sports12110310
Ciaccioni S, Martusciello F, Di Credico A, Guidotti F, Conte D, Palumbo F, Capranica L, Di Baldassarre A. Stress-Related Hormonal and Psychological Changes to Simulated and Official Judo Black Belt Examination in Older Tori and Adult Uke: An Exploratory Observational Study. Sports. 2024; 12(11):310. https://doi.org/10.3390/sports12110310
Chicago/Turabian StyleCiaccioni, Simone, Francesca Martusciello, Andrea Di Credico, Flavia Guidotti, Daniele Conte, Federico Palumbo, Laura Capranica, and Angela Di Baldassarre. 2024. "Stress-Related Hormonal and Psychological Changes to Simulated and Official Judo Black Belt Examination in Older Tori and Adult Uke: An Exploratory Observational Study" Sports 12, no. 11: 310. https://doi.org/10.3390/sports12110310
APA StyleCiaccioni, S., Martusciello, F., Di Credico, A., Guidotti, F., Conte, D., Palumbo, F., Capranica, L., & Di Baldassarre, A. (2024). Stress-Related Hormonal and Psychological Changes to Simulated and Official Judo Black Belt Examination in Older Tori and Adult Uke: An Exploratory Observational Study. Sports, 12(11), 310. https://doi.org/10.3390/sports12110310

