Effects of a 16-Week Training Program with a Pyramidal Intensity Distribution on Recreational Male Cyclists
Abstract
1. Introduction
2. Materials and Methods
2.1. Research Design and Training Intervention
2.2. Participants
2.3. Data Collection of Somatic Characteristics and Body Composition
2.4. Data Collection of Power at 4 mMol·L−1 of Blood Lactate Concentration (P4)
2.5. Statistical Analysis
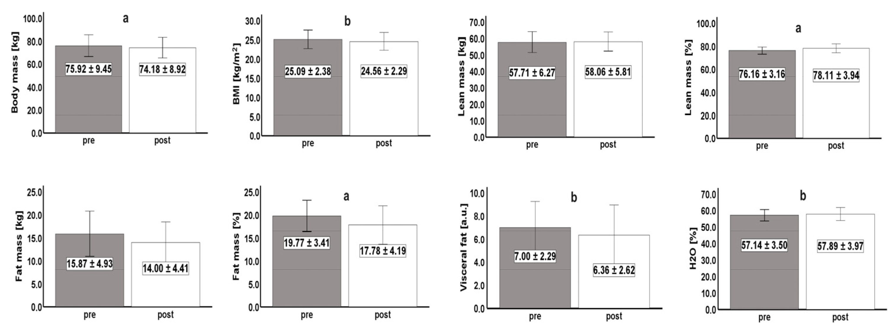
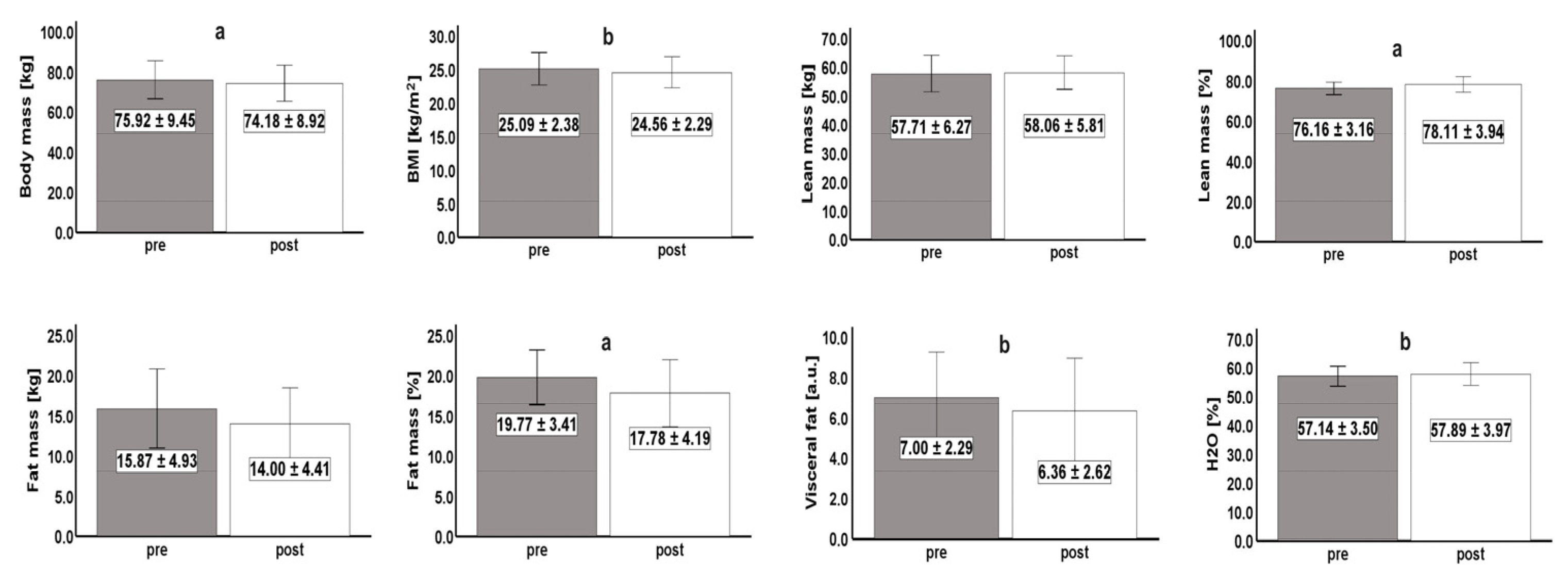
3. Results
4. Discussion
4.1. Main Findings
4.2. Somatic Findings
4.3. Power Findings
4.4. Strengths and Limitations
5. Conclusions
Author Contributions
Funding
Institutional Review Board Statement
Informed Consent Statement
Data Availability Statement
Acknowledgments
Conflicts of Interest
References
- Priego Quesada, J.I.; Kerr, Z.Y.; Bertucci, W.M.; Carpes, F.P. The Categorization of Amateur Cyclists as Research Participants: Findings from an Observational Study. J. Sports Sci. 2018, 36, 2018–2024. [Google Scholar] [CrossRef] [PubMed]
- Lucía, A.; Hoyos, J.; Chicharro, J.L. Physiology of Professional Road Cycling. Sports Med. 2001, 31, 325–337. [Google Scholar] [CrossRef] [PubMed]
- Rosenblat, M.A.; Perrotta, A.S.; Vicenzino, B. Polarized vs. Threshold Training Intensity Distribution on Endurance Sport Performance: A Systematic Review and Meta-Analysis of Randomized Controlled Trials. J. Strength Cond. Res. 2019, 33, 3491–3500. [Google Scholar] [CrossRef] [PubMed]
- Faude, O.; Kindermann, W.; Meyer, T. Lactate Threshold Concepts: How Valid Are They? Sports Med. 2009, 39, 469–490. [Google Scholar] [CrossRef] [PubMed]
- Mader, A. Zur Beurteilung Der Sportartspezifischen Ausdauerleistungsfahigkeit. Sport. Sport. 1976, 27, 80–88. [Google Scholar]
- Seiler, K.S.; Kjerland, G.Ø. Quantifying Training Intensity Distribution in Elite Endurance Athletes: Is There Evidence for an “Optimal” Distribution? Scand. J. Med. Sci. Sports 2006, 16, 49–56. [Google Scholar] [CrossRef]
- Stöggl, T.; Sperlich, B. Polarized Training Has Greater Impact on Key Endurance Variables than Threshold, High Intensity, or High Volume Training. Front. Physiol. 2014, 5, 33. [Google Scholar] [CrossRef]
- Neal, C.M.; Hunter, A.M.; Brennan, L.; O’Sullivan, A.; Hamilton, D.L.; DeVito, G.; Galloway, S.D. Six Weeks of a Polarized Training-Intensity Distribution Leads to Greater Physiological and Performance Adaptations than a Threshold Model in Trained Cyclists. J. Appl. Physiol. 2013, 114, 461–471. [Google Scholar] [CrossRef]
- Treff, G.; Winkert, K.; Sareban, M.; Steinacker, J.M.; Becker, M.; Sperlich, B. Eleven-Week Preparation Involving Polarized Intensity Distribution Is Not Superior to Pyramidal Distribution in National Elite Rowers. Front. Physiol. 2017, 8, 515. [Google Scholar] [CrossRef]
- Burnley, M.; Bearden, S.E.; Jones, A.M. Polarized Training Is Not Optimal for Endurance Athletes. Med. Sci. Sports Exerc. 2022, 54, 1032–1034. [Google Scholar] [CrossRef]
- Donovan, C.M.; Brooks, G.A. Endurance Training Affects Lactate Clearance, Not Lactate Production. Am. J. Physiol.-Endocrinol. Metab. 1983, 244, E83–E92. [Google Scholar] [CrossRef] [PubMed]
- Foster, C.; Casado, A.; Esteve-Lanao, J.; Haugen, T.; Seiler, S. Polarized Training Is Optimal for Endurance Athletes. Med. Sci. Sports Exerc. 2022, 54, 1028–1031. [Google Scholar] [CrossRef] [PubMed]
- Spaulding, H.R.; Yan, Z. AMPK and the Adaptation to Exercise. Annu. Rev. Physiol. 2022, 84, 209–227. [Google Scholar] [CrossRef] [PubMed]
- San-Millán, I.; Brooks, G.A. Assessment of Metabolic Flexibility by Means of Measuring Blood Lactate, Fat, and Carbohydrate Oxidation Responses to Exercise in Professional Endurance Athletes and Less-Fit Individuals. Sports Med. 2018, 48, 467–479. [Google Scholar] [CrossRef] [PubMed]
- Selles-Perez, S.; Fernández-Sáez, J.; Cejuela, R. Polarized and Pyramidal Training Intensity Distribution: Relationship with a Half-Ironman Distance Triathlon Competition. J. Sports Sci. Med. 2019, 18, 708. [Google Scholar] [PubMed]
- Mayr, S.; Erdfelder, E.; Buchner, A.; Faul, F. A Short Tutorial of GPower. Tutor. Quant. Methods Psychol. 2007, 3, 51–59. [Google Scholar] [CrossRef]
- Filipas, L.; Bonato, M.; Gallo, G.; Codella, R. Effects of 16 Weeks of Pyramidal and Polarized Training Intensity Distributions in Well-trained Endurance Runners. Scand. J. Med. Sci. Sports 2022, 32, 498–511. [Google Scholar] [CrossRef]
- Seiler, S.; Tønnessen, E. Intervals, Thresholds, and Long Slow Distance: The Role of Intensity and Duration in Endurance Training. Sportscience 2009, 13, 32–53. [Google Scholar]
- McKay, A.; Stellingwerff, T.; Smith, E.; Martin, D.; Mujika, I.; Goosey-Tolfrey, V.; Sheppard, J.; Burke, L. Defining Training and Performance Caliber: A Participant Classification Framework. Int. J. Sports Physiol. Perform. 2021, 17, 317–331. [Google Scholar] [CrossRef]
- Hopkins, W. A Scale of Magnitudes for Effect Statistics. A New View of Statistics. 2002. Internet Httpsportsci Orgresourcestatseffectmag Html 10 Oct. 2013. 2019. Available online: http://www.sportsci.org/resource/stats/effectmag.html (accessed on 15 October 2023).
- Bouchard, C.; Tremblay, A.; Nadeau, A.; Dussault, J.; Despres, J.; Theriault, G.; Lupien, P.; Serresse, O.; Boulay, M.; Fournier, G. Long-Term Exercise Training with Constant Energy Intake. 1: Effect on Body Composition and Selected Metabolic Variables. Int. J. Obes. 1990, 14, 57–73. [Google Scholar]
- Ziemann, E.; Grzywacz, T.; Luszczyk, M.; Laskowski, R.; Olek, R.A.; Gibson, A.L. Aerobic and Anaerobic Changes with High-Intensity Interval Training in Active College-Aged Men. J. Strength Cond. Res. 2011, 25, 1104–1112. [Google Scholar] [CrossRef] [PubMed]
- Stavrinou, P.S.; Bogdanis, G.C.; Giannaki, C.D.; Terzis, G.; Hadjicharalambous, M. High-Intensity Interval Training Frequency: Cardiometabolic Effects and Quality of Life. Int. J. Sports Med. 2018, 39, 210–217. [Google Scholar] [CrossRef] [PubMed]
- Khodadadi, F.; Bagheri, R.; Negaresh, R.; Moradi, S.; Nordvall, M.; Camera, D.M.; Wong, A.; Suzuki, K. The Effect of High-Intensity Interval Training Type on Body Fat Percentage, Fat and Fat-Free Mass: A Systematic Review and Meta-Analysis of Randomized Clinical Trials. J. Clin. Med. 2023, 12, 2291. [Google Scholar] [CrossRef]
- Ozaki, H.; Loenneke, J.; Thiebaud, R.; Abe, T. Cycle Training Induces Muscle Hypertrophy and Strength Gain: Strategies and Mechanisms. Acta Physiol. Hung. 2015, 102, 1–22. [Google Scholar] [CrossRef] [PubMed]
- Seiler, S. What Is Best Practice for Training Intensity and Duration Distribution in Endurance Athletes? Int. J. Sports Physiol. Perform. 2010, 5, 276–291. [Google Scholar] [CrossRef] [PubMed]
- Hawley, J.A.; Stepto, N.K. Adaptations to Training in Endurance Cyclists: Implications for Performance. Sports Med. 2001, 31, 511–520. [Google Scholar] [CrossRef]
- Rissel, C.; Watkins, G. Impact on Cycling Behavior and Weight Loss of a National Cycling Skills Program (AustCycle) in Australia 2010–2013. J. Transp. Health 2014, 1, 134–140. [Google Scholar] [CrossRef]
- Nordengen, S.; Andersen, L.B.; Solbraa, A.K.; Riiser, A. Cycling Is Associated with a Lower Incidence of Cardiovascular Diseases and Death: Part 1–Systematic Review of Cohort Studies with Meta-Analysis. Br. J. Sports Med. 2019, 53, 870–878. [Google Scholar] [CrossRef]
- Mojock, C.D.; Ormsbee, M.J.; Kim, J.-S.; Arjmandi, B.H.; Louw, G.A.; Contreras, R.J.; Panton, L.B. Comparisons of Bone Mineral Density between Recreational and Trained Male Road Cyclists. Clin. J. Sport Med. 2016, 26, 152–156. [Google Scholar] [CrossRef]
- Nagle, K.B.; Brooks, M.A. A Systematic Review of Bone Health in Cyclists. Sports Health 2011, 3, 235–243. [Google Scholar] [CrossRef]
- Sagayama, H.; Kondo, E.; Tanabe, Y.; Ohnishi, T.; Yamada, Y.; Takahashi, H. Bone Mineral Density in Male Weight-Classified Athletes Is Higher than That in Male Endurance-Athletes and Non-Athletes. Clin. Nutr. ESPEN 2020, 36, 106–110. [Google Scholar] [CrossRef] [PubMed]
- Rønnestad, B.R.; Hansen, J.; Nygaard, H.; Lundby, C. Superior Performance Improvements in Elite Cyclists Following Short-interval vs Effort-matched Long-interval Training. Scand. J. Med. Sci. Sports 2020, 30, 849–857. [Google Scholar] [CrossRef] [PubMed]
- Alkhatib, A. Maximal Fat Metabolism Explained by Lactate-Carbohydrate Model. Physiologia 2022, 2, 121–131. [Google Scholar] [CrossRef]
- Lucía Mulas, A.; Pardo Gil, F.J.; Durántez, A.; Hoyos, J.; López Chicharro, J. Physiological Differences between Professional and Elite Road Cyclists. Int. J. Sports Med. 1998, 19, 342–348. [Google Scholar] [CrossRef]
- Knechtle, B.; Müller, G.; Knecht, H. Optimal Exercise Intensities for Fat Metabolism in Handbike Cycling and Cycling. Spinal Cord 2004, 42, 564–572. [Google Scholar] [CrossRef]




| Intensity Zone | HRmax [%max] | Lactate [mMol·L−1] |
|---|---|---|
| 1 | 55–75 | 0.8–1.5 |
| 2 | 75–85 | 1.5–2.5 |
| 3 | 85–90 | 2.5–4 |
| 4 | 90–95 | 4–6 |
| 5 | 95–100 | 6–10 |
| Mean | SD | CV [%] | Partial Contribution [%] | |
|---|---|---|---|---|
| Workouts [units] | 90.14 | 37.36 | 41.45 | |
| Distance [km] | 3701.36 | 1181.62 | 31.92 | |
| TSS [a.u.] | 8605.50 | 4012.67 | 46.63 | |
| Time [minutes] | 9347.14 | 3151.67 | 33.72 | |
| Zone 1 [minutes] | 4350.80 | 1673.38 | 38.46 | 56.77 |
| Zone 2 [minutes] | 2358.20 | 1132.46 | 48.02 | 30.77 |
| Zone 3 [minutes] | 954.80 | 495.81 | 51.93 | 12.46 |
| t-Test | p-Value | MD | 95CI | d [Descriptor] | |
|---|---|---|---|---|---|
| Body mass [kg] a | 3.92 | <0.001 | 1.74 | 0.78 to 2.70 | 0.19 [trivial] |
| BMI [kg/m2] b | 3.64 | 0.002 | 0.53 | 0.21 to 0.84 | 0.23 [small] |
| Fat mass [kg] | 1.68 | 0.059 | 1.87 | −0.53 to 4.28 | 0.40 [small] |
| Fat mass [%] a | 4.07 | <0.001 | 1.99 | 0.93 to 3.05 | 0.52 [small] |
| Lean mass [kg] | −0.89 | 0.195 | −0.35 | −1.20 to 0.50 | 0.06 [trivial] |
| Lean mass [%] a | −3.86 | <0.001 | −1.95 | −3.04 to −0.86 | 0.55 [small] |
| Visceral fat [a.u.] b | 3.23 | 0.003 | 0.64 | 1.07 to 3.23 | 0.26 [small] |
| H2O [%] b | −2.41 | 0.016 | −0.75 | −1.41 to −0.08 | 0.20 [small] |
| P4 [W] a | −8.21 | <0.001 | −37.71 | −47.64 to −27.79 | 1.21 [large] |
| P/W P4 [W/kg] a | −6.79 | <0.001 | −0.51 | −0.34 to −6.79 | 1.54 [large] |
| HR P4 [bpm] | −1.00 | 0.167 | −2.36 | −7.44 to 2.73 | 0.20 [small] |
Disclaimer/Publisher’s Note: The statements, opinions and data contained in all publications are solely those of the individual author(s) and contributor(s) and not of MDPI and/or the editor(s). MDPI and/or the editor(s) disclaim responsibility for any injury to people or property resulting from any ideas, methods, instructions or products referred to in the content. |
© 2024 by the authors. Licensee MDPI, Basel, Switzerland. This article is an open access article distributed under the terms and conditions of the Creative Commons Attribution (CC BY) license (https://creativecommons.org/licenses/by/4.0/).
Share and Cite
Magalhães, P.M.; Cipriano, F.; Morais, J.E.; Bragada, J.A. Effects of a 16-Week Training Program with a Pyramidal Intensity Distribution on Recreational Male Cyclists. Sports 2024, 12, 17. https://doi.org/10.3390/sports12010017
Magalhães PM, Cipriano F, Morais JE, Bragada JA. Effects of a 16-Week Training Program with a Pyramidal Intensity Distribution on Recreational Male Cyclists. Sports. 2024; 12(1):17. https://doi.org/10.3390/sports12010017
Chicago/Turabian StyleMagalhães, Pedro M., Flávio Cipriano, Jorge E. Morais, and José A. Bragada. 2024. "Effects of a 16-Week Training Program with a Pyramidal Intensity Distribution on Recreational Male Cyclists" Sports 12, no. 1: 17. https://doi.org/10.3390/sports12010017
APA StyleMagalhães, P. M., Cipriano, F., Morais, J. E., & Bragada, J. A. (2024). Effects of a 16-Week Training Program with a Pyramidal Intensity Distribution on Recreational Male Cyclists. Sports, 12(1), 17. https://doi.org/10.3390/sports12010017

