A 6-Week Badminton-Based Movement Intervention Enhances Fundamental Movement Skills and Physical Fitness in Saudi Boys and Girls
Abstract
1. Introduction
2. Materials and Methods
2.1. Design
2.2. Participants
2.3. Measures
2.4. FMS
2.5. Physical Fitness
2.6. Cardiorespiratory Endurance
2.7. Shuttle Time Intervention
2.8. Statistical Analysis
3. Results
3.1. FMS
3.2. Physical Fitness
4. Discussion
Limitations and Direction for Future Research
5. Conclusions
Author Contributions
Funding
Institutional Review Board Statement
Informed Consent Statement
Data Availability Statement
Conflicts of Interest
References
- World Health Organization (WHO). Global Recommendations on Physical Activity for Health; World Health Organization: Geneva, Switzerland, 2018; Available online: https://www.who.int/dietphysicalactivity/factsheet_recommendations/en/ (accessed on 20 January 2021).
- Guthold, R.; Stevens, G.A.; Riley, L.M.; Bull, F.C. Global trends in insufficient physical activity among adolescents: A pooled analysis of 298 population-based surveys with 1·6 million participants. Lancet Child Adolesc. Health 2020, 4, 23–35. [Google Scholar] [CrossRef] [PubMed]
- Telama, R.; Yang, X.; Leskinen, E.; Kankaanpaa, A.; Hirvensala, M.; Tammelin, T.; Viikari, J.S.; Raitakari, O.T. Tracking of physical activity from early childhood through young into adulthood. Med. Sci. Sports Exerc. 2014, 46, 955–962. [Google Scholar] [CrossRef] [PubMed]
- Alqahtania, B.; Alenazia, A.; Alhowimela, A.; Elnaggar, R. The descriptive pattern of physical activity in Saudi Arabia: Analysis of national survey data. Int. Health 2020, 13, 232–239. [Google Scholar] [CrossRef]
- World Health Organization. Guidelines on Physical Activity and Sedentary Behaviour; World Health Organization: Geneva, Switzerland, 2020. [Google Scholar]
- Vision 2030 Kingdom of Saudi Arabia. 2020. Available online: https://www.vision2030.gov.sa/en (accessed on 28 January 2023).
- Al-Hazzaa, H.M. Physical activity in Saudi Arabia revisited: A systematic review of inactivity prevalence and perceived barriers to active living. Int. J. Health Sci. 2018, 12, 50–64. [Google Scholar]
- Al-Hazzaa, H.M.; Abahussain, N.A.; Al-Sobayel, H.I.; Qahwaji, D.M.; Musaiger, A.O. Lifestyle factors associated with overweight and obesity among Saudi adolescents. BMC Public Health 2012, 12, 354. [Google Scholar] [CrossRef]
- Al-Hazzaa, H.M.; Musaiger, A.O.; ATLS Research Group. Arab teen’s lifestyle study (ATLS): Objectives, design, methodology and implications. Diab. Metab. Synd. Obes. 2011, 4, 417–426. [Google Scholar] [CrossRef]
- Aljuhani, O.; Sandercock, G. Contribution of Physical Education to the Daily Physical Activity of Schoolchildren in Saudi Arabia. Int. J. Environ. Res. Public Health 2019, 16, 2397. [Google Scholar] [CrossRef]
- AlQuaiz, A.M.; Tayel, S.A. Barriers to a healthy lifestyle among patients attending primary care clinics at a university hospital in Riyadh. Ann. Saudi Med. 2009, 29, 30–35. [Google Scholar] [CrossRef] [PubMed]
- Awadalla, N.J.; Aboelyazed, A.E.; Hassanein, M.A.; Khalil, S.N.; Aftab, R.; Gaballa, I.I.; Mahfouz, A.A. Assessment of physical inactivity and perceived barriers to physical activity among health college students, South- Western Saudi Arabia. East Med. Health J 2014, 20, 596–604. [Google Scholar] [CrossRef]
- Duncan, M.J.; Roscoe, C.; Noon, M.; Clark, C.C.T.; O’Brien, W.; Eyre, E.L.J. Run, jump, throw and catch: How proficient are children attending English schools at the fundamental movement skills identified as key within the school curriculum? Eur. Phys. Ed. Rev. 2020, 26, 814–826. [Google Scholar] [CrossRef]
- Foulkes, J.D.; Knowles, Z.; Fairclough, S.J.; Stratton, G.; O’Dwyer, M.; Ridgers, N.D.; Foweather, L. Fundamental movement skills of preschool children in northwest England. Percep. Mot. Ski. 2015, 121, 260–283. [Google Scholar] [CrossRef]
- Bryant, E.S.; Duncan, M.J.; Birch, S.L.; James, R.S. Can fundamental movement skill mastery be increased via a six week physical activity intervention to have positive effects on physical activity and physical self perception? Sports 2016, 4, 10. [Google Scholar] [CrossRef] [PubMed]
- Morley, D.; Till, K.; Ogilvie, P.; Turner, G. Influences of gender and socioeconomic status on the motor proficiency of children in the UK. Hum. Mov. Sci. 2015, 44, 150–156. [Google Scholar] [CrossRef] [PubMed]
- O’Brien, W.; Belton, S.; Issartel, J. Fundamental movement skill proficiency amongst adolescent youth. Phys. Educ. Sport Pedagog. 2016, 21, 557–571. [Google Scholar] [CrossRef]
- Okely, A.D.; Booth, M.L. Mastery of Fundamental Movement Skills among Children in New South Wales: Prevalence and Sociodemographic Distribution. J. Sci. Med. Sport 2004, 7, 358–372. [Google Scholar] [CrossRef] [PubMed]
- Jaakola, T.; Hillman, C.; Kalaja, S.; Liukonen, J. The associations among fundamental movement skills, self-reported physical activity and academic performance during junior high school in Finland. J. Sports Sci. 2015, 33, 1719–1729. [Google Scholar] [CrossRef]
- Lubans, D.R.; Morgan, P.J.; Cliff, D.P.; Barnett, L.M.; Okely, A.D. Fundamental movement skills in children and adolescents: Review of associated health benefits. Sports Med. 2010, 40, 1019–1035. [Google Scholar] [CrossRef]
- Gallahue, D.; Ozmun, J.C. Understanding Motor Development: Infants, Children, Adolescents, Adults, 7th ed.; McGraw-Hill: Boston, MA, USA, 2011. [Google Scholar]
- Clark, J.E.; Metcalfe, J.S. The mountain of motor development. In Motor Development Research and Reviews; National Association of Sport and Physical Education: Reston, VA, USA, 2002; Volume 2, pp. 163–190. [Google Scholar]
- Stodden, D.F.; Goodway, J.D.; Langendorfer, S.J.; Roberton, M.A.; Rudisill, M.E.; Garcia, C. A Developmental Perspective on the Role of Motor Skill Competence in Physical Activity: An Emergent Relationship. Quest 2008, 60, 290–306. [Google Scholar] [CrossRef]
- Hardy, L.L.; King, L.; Farrell, L.; Macniven, R.; Howlett, S. Fundamental Movement Skills among Australian Preschool Children. J. Sci. Med. Sport 2010, 13, 503–508. [Google Scholar] [CrossRef]
- Logan, S.W.; Webster, E.K.; Robinson, L.E.; Getchell, N.; Pfieffer, K.A. The relationship between motor competence and physical activity engagement during childhood: A systematic review. Kinesiol. Rev. 2015, 4, 416–426. [Google Scholar] [CrossRef]
- Morgan, P.J.; Barnett, L.M.; Cliff, D.P.; Okely, A.D.; Scott, H.A.; Cohen, K.E.; Lubans, D.R. Fundamental movement skill interventions in youth: A systematic review and meta-analysis. Pediatrics 2013, 132, e1361–e1383. [Google Scholar] [CrossRef] [PubMed]
- Wick, K.; Leeger-Aschmann, C.S.; Monn, N.D.; Radtke, T.; Ott, L.V.; Rebholz, C.E.; Cruz, S.; Gerber, N.; Schmutz, E.A.; Puder, J.J.; et al. Interventions to Promote Fundamental Movement Skills in Childcare and Kindergarten: A Systematic Review and Meta-Analysis. Sports Med. 2017, 47, 2045. [Google Scholar] [CrossRef] [PubMed]
- Patterson, S.; Pattison, J.; Legg, H.; Gibson, A.M.; Brown, N. The impact of badminton on health markers in untrained females. J. Sports Sci. 2017, 35, 1098–1106. [Google Scholar] [CrossRef]
- Duncan, M.J.; Noon, M.; Lawson, C.; Hurst, J.; Eyre, E.L.J. The Effectiveness of a primary school based badminton intervention on children’s fundamental movement skills, perceived motor competence and motor fitness. Sports 2020, 8, 11. [Google Scholar] [CrossRef]
- Badminton World Federation. Shuttle Time Teachers Manual; Badminton World Federation: Kuala Lumpur, Malaysia, 2011. [Google Scholar]
- Cole, T.J.; Bellizzi, M.C.; Flegal, K.M.; Dietz, W.H. Establishing a standard definition for child overweight and obesity worldwide: International survey. BMJ 2000, 320, 1240–1243. [Google Scholar] [CrossRef]
- Burton, A.W.; Miller, D.E. Movement Skill Assessment; Human Kinetics: Champaign, IL, USA, 1998. [Google Scholar]
- Logan, S.W.; Barnett, L.M.; Goodway, J.D.; Stodden, D.F. Comparison of performance on process and product-oriented assessments of fundamental motor skills across childhood. J. Sports Sci. 2017, 35, 6341–6346. [Google Scholar] [CrossRef]
- Ulrich, D.A. Test of Gross Motor Development, 3rd ed.; Pro-Ed: Austin, TX, USA, 2016; Available online: http://www.kines.umich.edu/tgmd3 (accessed on 20 March 2023).
- Barnett, L.M.; Ridgers, N.D.; Zask, A.; Salmon, J. Face validity and reliability of a pictorial instrument for assessing fundamental movement skill perceived competence in young children. J. Sci. Med. Sport 2015, 18, 98–102. [Google Scholar] [CrossRef] [PubMed]
- Jones, R.A.; Okely, A.D.; Caputi, P.; Cliff, D.P. Perceived and Actual Competence among Overweight and Non-Overweight Children. J. Sci. Med. Sport 2010, 13, 5895–5896. [Google Scholar] [CrossRef]
- Duncan, M.J.; Eyre, E.L.J.; Oxford, S.W. The effects of 10 weeks integrated neuromuscular training on fundamental movement skills and physical self-efficacy in 6–7 year old children. J. Strength Cond. Res. 2017, 32, 3348–3356. [Google Scholar] [CrossRef] [PubMed]
- Davis, K.L.; Kang, M.; Boswell, B.B.; DuBose, K.D.; Altman, S.R.; Binkley, H.M. Validity and reliability of the medicine ball throw for kindergarten children. J. Strength Cond. Res. 2008, 22, 1958–1963. [Google Scholar] [CrossRef]
- Ulrich, S.; Hildenbrand, F.F.; Treder, U.; Fischler, M.; Keusch, S.; Speich, R.; Fasnacht, M. Reference values for the 6-minute walk test in healthy children and adolescents in Switzerland. BMC Pulm. Med. 2013, 13, 49. [Google Scholar] [CrossRef] [PubMed]
- Faigenbaum, A.D.; Farrell, A.; Fabiano, M.; Radler, T.; Naclerio, F.; Ratamess, N.A.; Kang, J.; Myer, G.D. Effects of integrative neuromuscular training on fitness performance in children. Ped. Exerc. Sci. 2011, 23, 573–584. [Google Scholar] [CrossRef] [PubMed]
- Moore, S.A.; McKay, H.A.; Macdonald, H.; Nettlefold, L.; Baxter-Jones, A.D.; Cameron, N.; Brasher, P.M. Enhancing a Somatic Maturity Prediction Model. Med. Sci. Sports Exerc. 2015, 47, 1755–1764. [Google Scholar] [CrossRef] [PubMed]
- Newell, K.M. Constraints on the development of coordination. In Motor Development in Children: Aspects of Coordination and Control; Wade, M.G., Whiting, H.T.A., Eds.; Martinus Nijhoff: Dordrecht, The Netherlands, 1986; pp. 341–360. [Google Scholar]
- Chow, J.Y.; Davids, C.K.; Button, I.; Renshaw, I. Nonlinear Pedagogy in Skill Acquisition; Routledge: London, UK, 2016. [Google Scholar]







| Boys (n = 40) | Girls (n = 32) | p-Value | |
|---|---|---|---|
| Age (y) | 10.2 ± 0.8 | 10.1 ± 1.0 | 0.74 |
| Height (cm) | 142.6 ± 9.3 | 146.5 ± 8.5 | 0.07 |
| Body Mass (kg) | 42.5 ± 15.1 | 42.6 ± 11.2 | 0.96 |
| Waist Circumference (cm) | 64.7 ± 10.7 | 65.7 ± 13.4 | 0.37 |
| Week 1 | Week 2 | Week 3 | Week 4 | Week 5 | Week 6 |
|---|---|---|---|---|---|
| Warm-Up (10-min) | |||||
| Balance Exercises | Balance Exercises | Balance Exercises | Balance Exercises | Dynamic Balance | Dynamic Balance |
| Mobility Exercises #1,2 and 4 | Mobility Exercises #1,2 and 4 | Mobility Exercises #1,2 and 4 | Mobility Exercises #1,2 and 4 | Mobility Exercises #1,2 and 4 | Mobility Exercises #1,2 and 4 |
| Having a Lunge | Having a Lunge | Having a Lunge | Having a Lunge | Having a Lunge | Having a Lunge |
| Balance and Throw | Balance and Throw | Balance and Throw | Balance and Throw | Balance and Throw | |
| Main Body (40-min) | |||||
| Balloon tap | Balloon tap relay
| Mirror Chase with Throw and Catch | Mirror Chase with Throw and Catch | Mirror Chase with Throw and Catch | Mirror Chase with Throw and Catch |
| Balloon tap relay | Mirror Chase with Throw and Catch | Grip Change with Shuttle | Grip Change with Shuttle | Shuttle Chase | Shuttle Chase |
| Mirror Chase | Grip Change with Shuttle | Balance the Racquet | Throwing Game 1 | Forehand and Backhand Lift Merry go Round | Forehand and Backhand Lift Merry go Round |
| Mirror Chase with Throw and Catch | Balance the Racquet | Throwing Game 1 | Backhand Short Serve | Backhand Short Serve | Backhand Short Serve |
| Balancing Shuttles | Keep your Court Free | Chase and Hit
| Chase and Hit
| Flat Play | Flat Play |
| Balancing Shuttles | Balancing Shuttles | Balancing Shuttles | Balancing Shuttles | Balancing Shuttles | |
| Variables | Sex | Pre-Intervention [95%CI] | Post-Intervention [95%CI] | 10-Weeks-Post-Intervention [95%CI] | ANOVA p-Value | ||
|---|---|---|---|---|---|---|---|
| Time | Sex | Sex × Time | |||||
| Total FMS (0–100) | Boys | 77.8 ± 6.1 [75.9–79.8] | 82.9 ± 4.0 [81.6–84.2] | 92.4 ± 1.7 [91.8–92.9] | 0.0001 | 0.233 | 0.037 |
| Girls | 77.8 ± 4.1 [76.2–79.2] | 85.2 ± 4.1 [83.7–86.7] | 93.0 ± 1.8 [92.3–93.6] | ||||
| Locomotor Skills (0–46) | Boys | 41.6 ± 3.4 [40.5–42.7] | 41.3 ± 3.3 [40.7–41.8] | 44.9 ± 1.6 [44.7–45.2] | 0.0001 | 0.047 | 0.01 |
| Girls | 42.4 ± 2.4 [41.5–43.3] | 42.8 ± 1.5 [42.3–43.4] | 44.8 ± 1.2 [44.4–45.3] | ||||
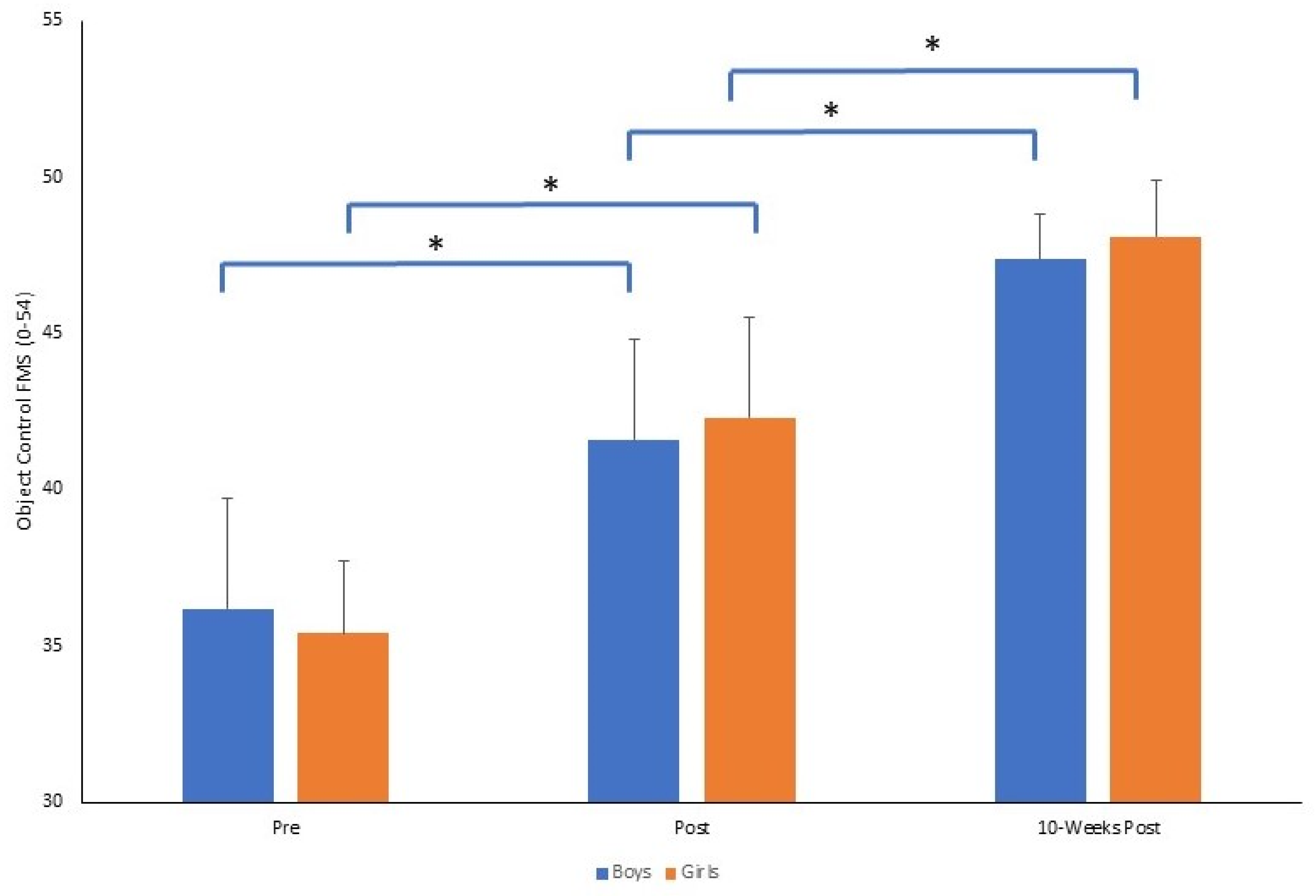
| Object Control Skills (0–54) | Boys | 36.2 ± 3.5 [41.3–43.2] | 41.6 ± 3.2 [40.5–42.6] | 47.4 ± 1.4 [46.9–57.9] | 0.0001 | 0.739 | 0.017 |
| Girls | 35.4 ± 2.3 [34.5–36.2] | 42.3 ± 3.2 [41.1–43.5] | 48.1 ± 1.8 [47.6–48.5] | ||||
| 10-m Sprint Time (s) | Boys | 2.9 ± 0.40 [2.8–3.1] | 3.2 ± 0.33 [3.1–3.3] | 2.6 ± 0.31 [2.5–2.7] | 0.001 | 0.001 | 0.001 |
| Girls | 3.5 ± 0.28 [3.4–3.6] | 3.4 ± 0.27 [3.3–3.5] | 3.0 ± 0.21 [2.9–3.1] | ||||
| Standing Long Jump (cm) | Boys | 147.6 ± 9.1 [140.7–154.6] | 147.3 ± 8.2 [140.6–154.0] | 159.3 ± 7.6 [152.7–165.8] | 0.001 | 0.001 | 0.001 |
| Girls | 124.3 ± 4.6 [116.5–132.1] | 125.7 ± 3.9 [118.2–133.2] | 128.6 ± 3.7 [121.3–133.2] | ||||
| 1 kg Seated Medicine Ball Throw (cm) | Boys | 309.3 ± 92.2 [286.8–331.7] | 311.9 ± 89.7 [290.1–333.8] | 332.9 ± 66.2 [311.1–354.7] | 0.001 | 0.002 | 0.001 |
| Girls | 227.8 ± 27.8 [202.7–253.0] | 242.7 ± 27.2 [218.3–267.3] | 269.0 ± 27.3 [244.7–293.4] | ||||
| 6-Min Walk Distance (m) | Boys | 488 ± 30.8 [470.5–505.5] | 512.5 ± 64.3 [494.9–530.1] | 565.0 ± 89.2 [547.7–582.3] | 0.001 | 0.001 | 0.001 |
| Girls | 310.6 ± 24.8 [291.1–330.2] | 357.5 ± 16.7 [337.8–377.1] | 365.6 ± 13.6 [346.3–384.9] | ||||
Disclaimer/Publisher’s Note: The statements, opinions and data contained in all publications are solely those of the individual author(s) and contributor(s) and not of MDPI and/or the editor(s). MDPI and/or the editor(s) disclaim responsibility for any injury to people or property resulting from any ideas, methods, instructions or products referred to in the content. |
© 2023 by the authors. Licensee MDPI, Basel, Switzerland. This article is an open access article distributed under the terms and conditions of the Creative Commons Attribution (CC BY) license (https://creativecommons.org/licenses/by/4.0/).
Share and Cite
Duncan, M.J.; AlShabeb, A.; Fitton Davies, K.; Alshahrani, N.; Almasoud, Y. A 6-Week Badminton-Based Movement Intervention Enhances Fundamental Movement Skills and Physical Fitness in Saudi Boys and Girls. Sports 2023, 11, 132. https://doi.org/10.3390/sports11070132
Duncan MJ, AlShabeb A, Fitton Davies K, Alshahrani N, Almasoud Y. A 6-Week Badminton-Based Movement Intervention Enhances Fundamental Movement Skills and Physical Fitness in Saudi Boys and Girls. Sports. 2023; 11(7):132. https://doi.org/10.3390/sports11070132
Chicago/Turabian StyleDuncan, Michael J., Abdulrahman AlShabeb, Katie Fitton Davies, Nadia Alshahrani, and Yazeed Almasoud. 2023. "A 6-Week Badminton-Based Movement Intervention Enhances Fundamental Movement Skills and Physical Fitness in Saudi Boys and Girls" Sports 11, no. 7: 132. https://doi.org/10.3390/sports11070132
APA StyleDuncan, M. J., AlShabeb, A., Fitton Davies, K., Alshahrani, N., & Almasoud, Y. (2023). A 6-Week Badminton-Based Movement Intervention Enhances Fundamental Movement Skills and Physical Fitness in Saudi Boys and Girls. Sports, 11(7), 132. https://doi.org/10.3390/sports11070132

