Do Primary School Children Benefit from Drop-Jump Training with Different Schedules of Augmented Feedback about the Jump Height?
Abstract
1. Introduction
2. Materials and Methods
2.1. Participants
2.2. Experimental Design
2.3. Procedures
2.3.1. Performance of Drop-Jumps and Countermovement-Jumps
2.3.2. Functional Motor Tasks
2.3.3. Training
2.4. Data Analysis and Statistics
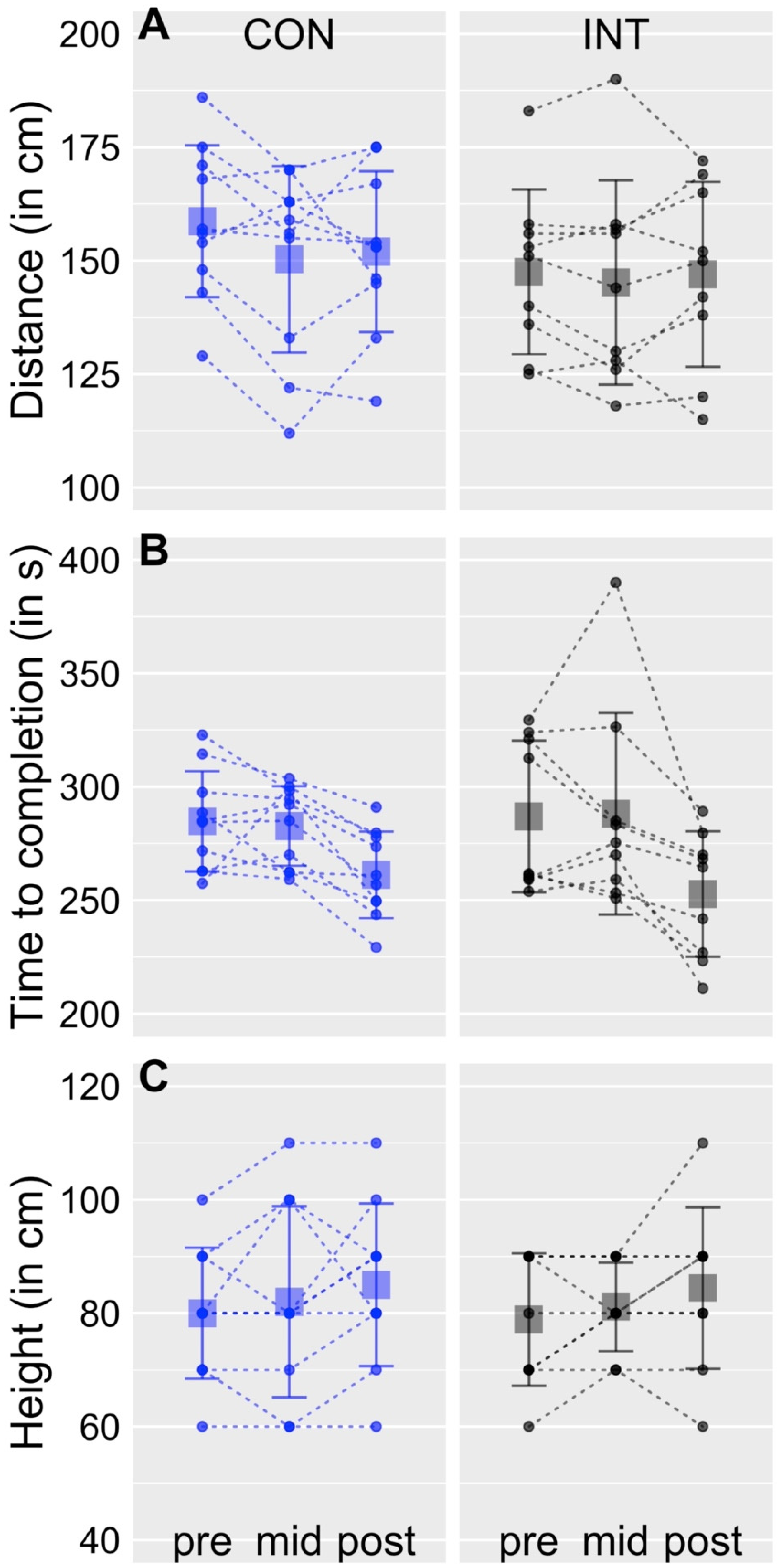
3. Results
3.1. Jump Heights
3.2. Ground Contact Times
3.3. Task Performance
4. Discussion
4.1. Augmented Feedback
4.2. Transfer to Motor Tasks
5. Limitations
6. Conclusions
Practical Considerations
Author Contributions
Funding
Acknowledgments
Conflicts of Interest
References
- De Almeida, M.B.; Leandro, C.G.; da Queiroz, D.R.; José-da-Silva, M.; Pessoa dos Prazeres, T.M.; Pereira, G.M.; das-Neves, G.S.; Carneiro, R.C.; Figueredo-Alves, A.D.; Nakamura, F.Y. Plyometric training increases gross motor coordination and associated components of physical fitness in children. Eur. J. Sport Sci. 2021, 21, 1263–1272. [Google Scholar] [CrossRef]
- Anderson, D.I.; Magill, R.A.; Mayo, A.M.; Steel, K.A. Enhancing motor skill acquisition with augmented feedback. In Skill Acquisition in Sport; Routledge: Oxford, UK, 2019; pp. 3–19. [Google Scholar]
- Bakeman, R. Recommended effect size statistics for repeated measures designs. Behav. Res. Methods 2005, 37, 379–384. [Google Scholar] [CrossRef]
- Bassa, E.I.; Patikas, D.A.; Panagiotidou, A.I.; Papadopoulou, S.D.; Pylianidis, T.C.; Kotzamanidis, C.M. The effect of dropping height on jumping performance in trained and untrained prepubertal boys and girls. J. Strength Cond. Res. 2012, 26, 2258–2264. [Google Scholar] [CrossRef]
- Bencke, J.; Damsgaard, R.; Saekmose, A.; Jørgensen, P.; Jørgensen, K.; Klausen, K. Anaerobic power and muscle strength characteristics of 11 years old elite and non-elite boys and girls from gymnastics, team handball, tennis and swimming. Scand. J. Med. Sci. Sports 2002, 12, 171–178. [Google Scholar] [CrossRef]
- Birat, A.; Sebillaud, D.; Bourdier, P.; Doré, E.; Duché, P.; Blazevich, A.J.; Patikas, D.; Ratel, S. Effect of drop height on vertical jumping performance in pre-, circa-, and post-pubertal boys and girls. Pediatric Exerc. Sci. 2020, 32, 23–29. [Google Scholar] [CrossRef]
- Chan-Viquez, D.; Hasanbarani, F.; Zhang, L.; Anaby, D.; Turpin, N.A.; Lamontagne, A.; Feldman, A.G.; Levin, M.F. Development of vertical and forward jumping skills in typically developing children in the context of referent control of motor actions. Dev. Psychobiol. 2020, 62, 711–722. [Google Scholar] [CrossRef]
- Davison, A.C.; Hinkley, D.V. Bootstrap Methods and Their Application; Cambridge University Press: Cambridge, UK, 1997. [Google Scholar]
- García-Ramos, A.; Janicijevic, D.; Cobo-Font, J.; Marcos-Frutos, D.; Fernandes, J.F.T.; Taube, W.; Pérez-Castilla, A. Knowledge of results during vertical jump testing: An effective method to increase the performance but not the consistency of vertical jumps. Sports Biomech. 2020. online ahead of print. [Google Scholar] [CrossRef]
- Granacher, U.; Muehlbauer, T.; Maestrini, L.; Zahner, L.; Gollhofer, A. Can balance training promote balance and strength in prepubertal children? J. Strength Cond. Res. 2011, 25, 1759–1766. [Google Scholar] [CrossRef]
- Herrmann, C.; Gerlach, E.; Seelig, H. Motorische Basiskompetenzen in der Grundschule. Sportwissenschaft 2016, 46, 60–73. [Google Scholar] [CrossRef]
- Johnson, B.A.; Salzberg, C.L.; Stevenson, D.A. A systematic review: Plyometric training programs for young children. J. Strength Cond. Res. 2011, 25, 2623–2633. [Google Scholar]
- Keller, M.; Lauber, B.; Gehring, D.; Leukel, C.; Taube, W. Jump performance and augmented feedback: Immediate benefits and long-term training effects. Hum. Mov. Sci. 2014, 36, 177–189. [Google Scholar] [CrossRef]
- Komi, P.V. Stretch-shortening cycle. In Strength and Power in Sport; Komi, P.V., Ed.; Blackwell Science: Hoboken, NJ, USA, 2003; pp. 184–202. [Google Scholar]
- Leukel, C.; Gollhofer, A. Applying augmented feedback in basketball training facilitates improvements in jumping performance: Augmented feedback in basketball. Eur. J. Sport Sci. 2022. online ahead of print. [Google Scholar] [CrossRef]
- Leukel, C.; Lundbye-Jensen, J. The role of augmented feedback in human motor learning. In Routledge Handbook of Motor Control and Motor Learning; Gollhofer, A., Taube, W., Nielsen, J.B., Eds.; Routledge: Oxford, UK, 2012. [Google Scholar]
- Magill, R.A. Augmented feedback in motor skill acquisition. In Handbook of Sport Psychology; Singer, R.N., Hausenblas, H.A., Janelle, C.M., Eds.; John Wiley & Sons: Hoboken, NJ, USA, 2001. [Google Scholar]
- Markovic, G. Does plyometric training improve vertical jump height? A meta-analytical review. Br. J. Sports Med. 2007, 41, 349–355. [Google Scholar] [CrossRef]
- Mero, A.; Kauhanen, H.; Peltola, E.; Vuorimaa, T.; Komi, P.V. Physiological performance capacity in different prepubescent athletic groups. J. Sports Med. Phys. Fitness 1990, 30, 57–66. [Google Scholar]
- Patikas, D. Stretch Shortening Cycle in Childhood. Procedia-Soc. Behav. Sci. 2014, 117, 60–66. [Google Scholar] [CrossRef][Green Version]
- Radnor, J.M.; Oliver, J.L.; Waugh, C.M.; Myer, G.D.; Moore, I.S.; Lloyd, R.S. The influence of growth and maturation on stretch-shortening cycle function in youth. Sports Med. 2018, 48, 57–71. [Google Scholar] [CrossRef]
- Raudsepp, L.; Päll, P. The relationship between fundamental motor skills and outside-school physical activity of elementary school children. Pediatric Exerc. Sci. 2006, 18, 426–435. [Google Scholar] [CrossRef]
- Rayner, R.K. Bootstrapping p values and power in the first-order autoregression: A Monte Carlo investigation. J. Bus. Econ. Stat. 1990, 8, 251–263. [Google Scholar] [CrossRef]
- Sialis, J. Innervationscharakteristik und Trainingsadaptabilitaet im Dehnungs-Verkuerzungs-Zyklus; Universitaet Stuttgart: Stuttgart, Germany, 2004. [Google Scholar]
- Spampinato, D.; Celnik, P. Multiple motor learning processes in humans: Defining their neurophysiological bases. Neuroscientist 2021, 27, 246–267. [Google Scholar] [CrossRef]
- Südkamp, A.; Kaiser, J.; Möller, J. Accuracy of teachers’ judgments of students’ academic achievement: A meta-analysis. J. Educ. Psychol. 2012, 104, 743. [Google Scholar] [CrossRef]
- Sullivan, K.J.; Kantak, S.S.; Burtner, P.A. Motor learning in children: Feedback effects on skill acquisition. Phys. Ther. 2008, 88, 720–732. [Google Scholar] [CrossRef] [PubMed]
- Swinnen, S.P. Information feedback for motor skill learning: A review. In Advances in Motor Learning and Control; Zelaznik, N., Ed.; Human Kinetics: Champain, IL, USA, 1996; pp. 37–66. [Google Scholar]
- Taube, W.; Leukel, C.; Schubert, M.; Gruber, M.; Rantalainen, T.; Gollhofer, A. Differential modulation of spinal and corticospinal excitability during drop jumps. J. Neurophys. 2008, 99, 1243–1252. [Google Scholar] [CrossRef] [PubMed]
- Urhahne, D.; Wijnia, L. A review on the accuracy of teacher judgments. Educ. Res. Rev. 2021, 32, 100374. [Google Scholar] [CrossRef]
- Vitasalo, J.T.; Aura, O.; HÑkkinen, K.; Komi, P.V.; Nikula, J. Untersuchung von Trainingswirkungen auf die Krafterzeugung und Sprunghîhe. Leistungssport 1981, 4, 278–281. [Google Scholar]
- Wälchli, M.; Ruffieux, J.; Bourquin, Y.; Keller, M.; Taube, W. Maximizing performance: Augmented feedback, focus of attention, and/or reward? Med. Sci. Sports Exerc. 2016, 48, 714. [Google Scholar] [CrossRef] [PubMed]
- Wolpert, D.M.; Ghahramani, Z. Computational principles of movement neuroscience. Nat.Neurosci. 2000, 3 (Suppl. S1), 1212–1217. [Google Scholar] [CrossRef] [PubMed]
- Wulf, G.; Varzaneh, A.G.; Zarghami, M. Feedback after good versus poor trials enhances motor learning in children. Rev. Bras. Educ. Fís. Esporte 2011, 25, 673–681. [Google Scholar]
- Zuur, A.T.; Christensen, M.S.; Sinkjaer, T.; Grey, M.J.; Nielsen, J.B. Tibialis anterior stretch reflex in early stance is suppressed by repetitive transcranial magnetic stimulation. J. Physiol. 2009, 587, 1669–1676. [Google Scholar] [CrossRef]



| ID | Age (Years) | Sex | Height (cm) | Weight (kg) | BMI |
|---|---|---|---|---|---|
| 1 | 9.7 | m | 143 | 34 | 16.6 |
| 2 | 9.5 | m | 155 | 33 | 13.7 |
| 3 | 9.7 | f | 149 | 42 | 18.9 |
| 4 | 9.2 | m | 137 | 29 | 15.4 |
| 5 | 9.5 | m | 147 | 40 | 18.5 |
| 6 | 9.8 | f | 139 | 35 | 18.1 |
| 7 | 9.6 | m | 139 | 34 | 17.6 |
| 8 | 9.1 | m | 147 | 30 | 13.8 |
| 9 | 9.1 | m | 152 | 37 | 16.0 |
| 10 | 9.3 | m | 154 | 34 | 14.3 |
| 11 | 9.6 | m | 150 | 40 | 17.8 |
| INT | |||||
| 1 | 9.8 | m | 148 | 32 | 14.6 |
| 2 | 9.8 | m | 141 | 30 | 15.0 |
| 3 | 9.5 | f | 141 | 28 | 14.0 |
| 4 | 9.8 | f | 151 | 39 | 17.1 |
| 5 | 9.4 | m | 143 | 30 | 14.6 |
| 6 | 9.9 | m | 143 | 32 | 15.6 |
| 7 | 9.2 | m | 149 | 42 | 18.9 |
| 8 | 9.1 | m | 149 | 34 | 15.3 |
| 9 | 9.9 | m | 154 | 48 | 20.2 |
| 10 | 9.4 | m | 145 | 43 | 20.4 |
Publisher’s Note: MDPI stays neutral with regard to jurisdictional claims in published maps and institutional affiliations. |
© 2022 by the authors. Licensee MDPI, Basel, Switzerland. This article is an open access article distributed under the terms and conditions of the Creative Commons Attribution (CC BY) license (https://creativecommons.org/licenses/by/4.0/).
Share and Cite
Leukel, C.; Karoß, S.; Gräßlin, F.; Nicolaus, J.; Gollhofer, A. Do Primary School Children Benefit from Drop-Jump Training with Different Schedules of Augmented Feedback about the Jump Height? Sports 2022, 10, 133. https://doi.org/10.3390/sports10090133
Leukel C, Karoß S, Gräßlin F, Nicolaus J, Gollhofer A. Do Primary School Children Benefit from Drop-Jump Training with Different Schedules of Augmented Feedback about the Jump Height? Sports. 2022; 10(9):133. https://doi.org/10.3390/sports10090133
Chicago/Turabian StyleLeukel, Christian, Sabine Karoß, Florian Gräßlin, Jürgen Nicolaus, and Albert Gollhofer. 2022. "Do Primary School Children Benefit from Drop-Jump Training with Different Schedules of Augmented Feedback about the Jump Height?" Sports 10, no. 9: 133. https://doi.org/10.3390/sports10090133
APA StyleLeukel, C., Karoß, S., Gräßlin, F., Nicolaus, J., & Gollhofer, A. (2022). Do Primary School Children Benefit from Drop-Jump Training with Different Schedules of Augmented Feedback about the Jump Height? Sports, 10(9), 133. https://doi.org/10.3390/sports10090133

