The Effects of a Weighted Football Intervention on Ball Velocity of a Standard Football Place-Kick among Elite Gaelic Football Goalkeepers: A Single-Subject Designed Study
Abstract
1. Introduction
2. Materials and Methods
2.1. Participants
2.2. Experimental Setup
2.3. Procedure
2.3.1. Testing Session Procedure
2.3.2. Intervention Session Procedure
2.3.3. Season Schedules and Associated Strength and Conditioning Programs
2.4. Statistical Analysis
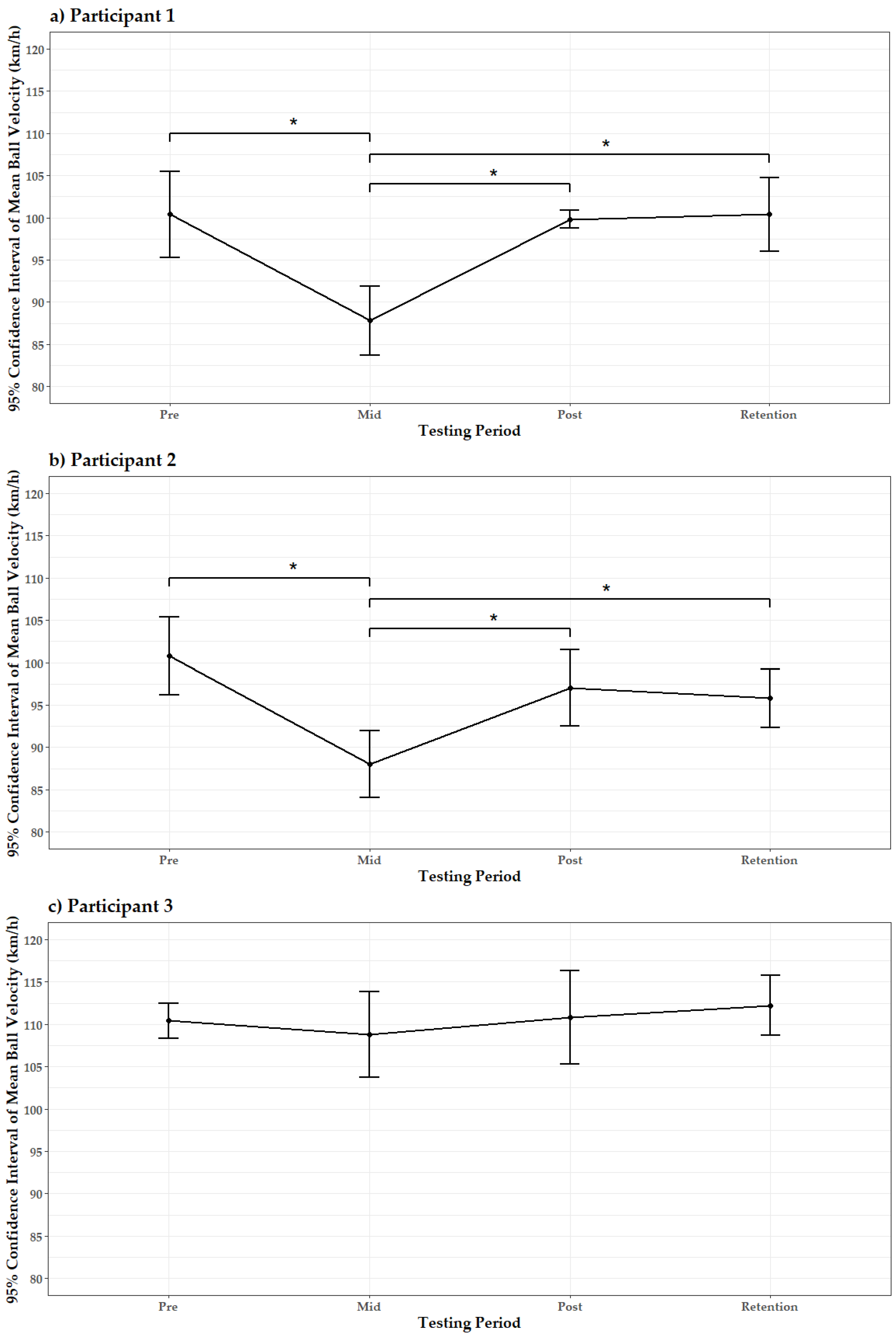
3. Results
4. Discussion
Limitations
5. Conclusions
6. Practical Applications
Author Contributions
Funding
Institutional Review Board Statement
Informed Consent Statement
Data Availability Statement
Conflicts of Interest
References
- Jermyn, S.; O’Neill, C.; Coughlan, E.K. The Acute Effects from the Use of Weighted Implements on Skill Enhancement in Sport: A Systematic Review. J. Strength Cond. Res. 2021, 35, 2922–2935. [Google Scholar] [CrossRef] [PubMed]
- DeRenne, C.; Buxton, B.P.; Hetzler, R.K.; Ho, K.W. Effects of under- and overweighted implement training on pitching velocity. J. Strength Cond. Res. 1994, 8, 247–250. [Google Scholar] [CrossRef]
- DeRenne, C.; Buxton, B.P.; Hetzler, R.K.; Ho, K.W. Effects of weighted bat implement training on bat swing velocity. J. Strength Cond. Res. 1995, 9, 247–250. [Google Scholar]
- Jermyn, S.; O’Neill, C.; Dunton, A.; Dawson, D.; Coughlan, E.K. An investigation into the acute effects of a weighted football place-kicking protocol on subsequent place-kick distance. J. Sport Behav. 2022, in press. [Google Scholar]
- DeRenne, C.; Szymanski, D.J. Effects of Baseball Weighted Implement Training: A Brief Review. Strength Cond. J. 2009, 31, 30–37. [Google Scholar] [CrossRef]
- Wickington, K.L.; Linthorne, N.P. Effect of Ball Weight on Speed, Accuracy, and Mechanics in Cricket Fast Bowling. Sports 2017, 5, 18. [Google Scholar] [CrossRef]
- Szymanski, D.J. Effects of Various Resistance Training Methods on Overhand Throwing Power Athletes. Strength Cond. J. 2012, 34, 61–74. [Google Scholar] [CrossRef]
- Young, W.B.; Rath, D.A. Enhancing Foot Velocity in Football Kicking: The Role of Strength Training. J. Strength Cond. Res. 2011, 25, 561–566. [Google Scholar] [CrossRef]
- Caldwell, J.E.; Alexander, F.J.; Ahmad, C.S. Weighted-Ball Velocity Enhancement Programs for Baseball Pitchers: A Systematic Review. Orthop. J. Sports Med. 2019, 7, 2325967118825469. [Google Scholar] [CrossRef]
- Ball, K. Use of weighted balls for improving kicking for distance. In Science and Football VI: The Proceedings of the Sixth World Congress on Science and Football; Reilly, T., Korkusuz, F., Eds.; Routledge: Oxford, UK, 2009; pp. 285–289. [Google Scholar]
- Sinclair, J.; Fewtrell, D.; Taylor, P.J.; Bottoms, L.; Hatkins, S.; Hobbs, S.J. Three-dimensional kinematic correlates of ball velocity during maximal instep soccer kicking in males. Eur. J. Sport Sci. 2014, 14, 799–805. [Google Scholar] [CrossRef]
- Reilly, T.; Collins, K. Science and the Gaelic sports: Gaelic football and hurling. Eur. J. Sport Sci. 2008, 8, 231–240. [Google Scholar] [CrossRef]
- Gaelic Athletic Association. Available online: https://www.gaa.ie/api/pdfs/image/upload/jgcddqyasv0l5i7264y4.pdf (accessed on 12 March 2020).
- Mangan, S.; Ryan, M.; Devenney, S.; Shovlin, A.; McGahan, J.; Malone, S.; O’Neill, C.; Burns, C.; Collins, K. The relationship between technical performance indicators and running performance in elite Gaelic football. Int. J. Perform. Anal. Sport 2017, 17, 706–720. [Google Scholar] [CrossRef]
- Daly, D.; Donnelly, R. Data Analytics in Performance of Kick-out Distribution and Effectiveness in Senior Championship Football in Ireland. J. Sports Anal. 2018, 4, 25–30. [Google Scholar] [CrossRef]
- Gaelic Athletic Association. Available online: https://www.gaa.ie/api/pdfs/image/upload/i4xicuecdjcyj3bgb52f.pdf (accessed on 2 August 2021).
- Jermyn, S.; O’Neill, C.; Lacey, S.; Coughlan, E.K. The Acute Effects of a Weighted Football Intervention on Subsequent Place-Kick Ball Velocity in Gaelic Football and an Exploration of Optimal Time Intervals to Maximise Ball Velocity. J. Aust. Strength Cond. 2022, in press. [Google Scholar]
- Blazevich, A.; Babault, N. Post-activation Potentiation Versus Post-activation Performance Enhancement in Humans: Historical Perspective, Underlying Mechanisms, and Current Issues. Front. Physiol. 2019, 10, 1359. [Google Scholar] [CrossRef]
- Prieske, O.; Behrens, M.; Chaabene, H.; Granacher, U.; Maffiuletti, N.A. Time to Differentiate Postactivation “Potentiation” from “Performance Enhancement” in the Strength and Conditioning Community. Sports Med. 2020, 50, 1559–1565. [Google Scholar] [CrossRef]
- Sands, W.; Cardinale, M.; McNeal, J.; Murray, S.; Sole, C.; Reed, J.; Apostolopoulos, N.; Stone, M. Recommendations for Measurement and Management of an Elite Athlete. Sports 2019, 7, 105. [Google Scholar] [CrossRef]
- Kinugasa, T.; Cerin, E.; Hooper, S. Single-subject research designs and data analyses for assessing elite athletes’ conditioning. Sports Med. 2004, 34, 1035–1050. [Google Scholar] [CrossRef]
- Martin, D.T.; Andersen, M.B.; Gates, W. Using profile of mood states (POMS) to monitor high-intensity training in cyclists: Group versus case studies. Sport Psychol. 2000, 14, 138–156. [Google Scholar] [CrossRef]
- Gorczynski, P. The Use of Single-Case Experimental Research to Examine Physical Activity, Exercise, and Physical Fitness Interventions: A Review. J. Appl. Sport Psychol. 2013, 25, 148–156. [Google Scholar] [CrossRef]
- Kinugasa, T. The Application of Single-Case Research Designs to Study Elite Athletes’ Conditioning: An Update. J. Appl. Sport Psychol. 2013, 25, 157–166. [Google Scholar] [CrossRef]
- Skorski, S.; Hecksteden, A. Coping With the “Small Sample–Small Relevant Effects” Dilemma in Elite Sport Research. Int. J. Sports Physiol. Perform. 2021, 16, 1559–1560. [Google Scholar] [CrossRef] [PubMed]
- Jermyn, S.; O’Neill, C.; Coughlan, E.K. The Impact and Implications of the COVID-19 Pandemic on the Design of a Laboratory-Based Coaching Science Experimental Study. Sport J. 2021, 24, 1–16. [Google Scholar]
- Koo, T.K.; Li, M.Y. A Guideline of Selecting and Reporting Intraclass Correlation Coefficients for Reliability Research. J. Chirop. Med. 2016, 15, 155–163. [Google Scholar] [CrossRef]
- Cohen, J. Statistical Power Analysis for the Behavioral Sciences, 2nd ed.; Lawrence Erlbaum: Hillsdale, NJ, USA, 2013. [Google Scholar]
- Bellar, D.; Judge, L.W.; Turk, M.; Judge, M. Efficacy of Potentiation of Performance Through Overweight Implement Throws on Male and Female Collegiate and Elite Weight Throwers. J. Strength Cond. Res. 2012, 26, 1469–1474. [Google Scholar] [CrossRef]
- Judge, W.L.; Bellar, D.; Judge, M. Efficacy of Potentiation of Performance Through Overweight Implement Throws on Male and Female High-School Weight Throwers. J. Strength Cond. Res. 2010, 24, 1804–1809. [Google Scholar] [CrossRef]
- Hébert-Losier, K.; Wardell, G.L. Acute and persistence of the effects of the SuperSpeed Golf™ weighted-club warm-up on golf driving performance and kinematics. Sports Biomech. 2021, 1–19. [Google Scholar] [CrossRef]
- Álvarez, M.; Sedano, S.; Cuadrado, G.; Redondo, J.C. Effects of an 18-week strength training program on low-handicap golfers’ performance. J. Strength Cond. Res. 2012, 26, 1110–1121. [Google Scholar] [CrossRef]
- Erickson, B.J.; Atlee, T.R.; Chalmers, P.N.; Bassora, R.; Inzerillo, C.; Beharrie, A.; Romeo, A.A. Training With Lighter Baseballs Increases Velocity Without Increasing the Injury Risk. Orthop. J. Sports Med. 2020, 8, 2325967120910503. [Google Scholar] [CrossRef]
- Hadley, C.; Atlee, T.R.; Chalmers, P.N.; Bassora, R.; Bishop, M.E.; Romeo, A.A.; Erickson, B.J. Does Velocity Increase From Flat-Ground to Mound Work During a Lighter Baseball Training Program? J. Am. Acad. Orthop. Surg. 2021, 29, 827–831. [Google Scholar] [CrossRef]
- Barker, J.; McCarthy, P.; Jones, M.; Moran, A. Single-Case Research Methods in Sport and Exercise Psychology; Routledge: Oxford, UK, 2011; p. 89. [Google Scholar]
- Hecksteden, A.; Kellner, R.; Donath, L. Dealing with small samples in football research. Sci. Med. Footb. 2021, 6, 389–397. [Google Scholar] [CrossRef]
- Maker, R.; Taliep, M.S. The effects of a four weeks combined resistance training programme on cricket bowling velocity. S. Afr. J. Sports Med. 2021, 33, 1–6. [Google Scholar] [CrossRef]





| Participant | Age (Years) | Mass (kg) | Height (cm) | Gaelic Football Goalkeeping Background |
|---|---|---|---|---|
| 1 | 26 | 95.6 | 188.2 | 13 and 9 years of GK and elite GK experience, respectively |
| 2 | 26 | 90.4 | 185.2 | 12 and 9 years of GK and elite GK experience, respectively |
| 3 | 23 | 102.4 | 196.5 | 8 and 5 years of GK and elite GK experience, respectively |
| 4 | 19 | 95.7 | 198.9 | 13 and 1 years of GK and elite GK experience, respectively |
| 5 | 18 | 78.1 | 178.6 | 9 and 6 years of GK and elite GK experience, respectively |
| 6 | 19 | 72.8 | 193.3 | 4 and 1 years of GK and elite GK experience, respectively |
| On-Field Practice and S&C Endeavors at the Time of the Study (i.e., Pre-Season Phase 2) | ||||
|---|---|---|---|---|
| Training Mode | On-Field Collective Practice | Kickout Practice | Strength Training | Conditioning |
| Frequency | 2 sessions per week | 2 sessions per week | 2-sessions per week | 1 session per week (if not participating in a match) |
| Intensity | Session-dependent | Session-dependent | 60–90% 1 repetition-maximum | Varied intensity; session-dependent |
| Time | 60 to 90 min | 10 to 20 min | 60 min | 30 to 45 min |
| Type | Collective team training | Various types of kickouts (10–20); varied direction and distance | Upper- and lower-body bilateral and unilateral strength and power exercises | Aerobic and anaerobic running; “soft-skill” activities focused on development of passing, soloing, and first touch |
| S&C Endeavors Completed in the Phase Prior to the Study (i.e., Pre-Season Phase-1) | ||||
| Training Mode | On-Field Collective Practice | Kickout Practice | Strength Training | Conditioning |
| Frequency | N/A | N/A | 2 sessions per week | 1 to 3 sessions per week |
| Intensity | N/A | N/A | 60–90% 1 repetition-maximum | Varied intensity; session-dependent |
| Time | N/A | N/A | 60 min | 30 to 45 min |
| Type | N/A | N/A | Upper- and lower-body bilateral and unilateral strength and power exercises | Aerobic and anaerobic running; speed and agility development; “soft-skill” activities focused on development of passing, soloing, and first touch |
| Participant | Pre-Test Mean ± SD BV (km/h) | Mid-Test Mean ± SD BV (km/h) | Post-Test Mean ± SD BV (km/h) | Retention-Test Mean ± SD BV (km/h) |
|---|---|---|---|---|
| 1 | 100.4 ± 4.10 | 87.8 ± 3.27 | 99.8 ± 0.84 | 100.4 ± 3.51 |
| 2 | 100.8 ± 3.70 | 88.0 ± 3.16 | 97.0 ± 3.61 | 95.8 ± 2.77 |
| 3 | 110.4 ± 1.67 | 108.8 ± 4.09 | 110.8 ± 4.44 | 112.2 ± 2.86 |
| 4 | 101.0 ± 3.16 | 101.0 ± 5.66 | 107.0 ± 2.12 | 105.8 ± 1.30 |
| 5 | 86.2 ± 3.49 | 104.4 ± 3.97 | 101.8 ± 3.35 | 102.0 ± 1.87 |
| 6 | 96.2 ± 4.71 | 98.2 ± 1.79 | 102.0 ± 3.16 | 104.0 ± 1.22 |
Publisher’s Note: MDPI stays neutral with regard to jurisdictional claims in published maps and institutional affiliations. |
© 2022 by the authors. Licensee MDPI, Basel, Switzerland. This article is an open access article distributed under the terms and conditions of the Creative Commons Attribution (CC BY) license (https://creativecommons.org/licenses/by/4.0/).
Share and Cite
Jermyn, S.; O’Neill, C.; Lacey, S.; Coughlan, E.K. The Effects of a Weighted Football Intervention on Ball Velocity of a Standard Football Place-Kick among Elite Gaelic Football Goalkeepers: A Single-Subject Designed Study. Sports 2022, 10, 166. https://doi.org/10.3390/sports10110166
Jermyn S, O’Neill C, Lacey S, Coughlan EK. The Effects of a Weighted Football Intervention on Ball Velocity of a Standard Football Place-Kick among Elite Gaelic Football Goalkeepers: A Single-Subject Designed Study. Sports. 2022; 10(11):166. https://doi.org/10.3390/sports10110166
Chicago/Turabian StyleJermyn, Sam, Cian O’Neill, Seán Lacey, and Edward K. Coughlan. 2022. "The Effects of a Weighted Football Intervention on Ball Velocity of a Standard Football Place-Kick among Elite Gaelic Football Goalkeepers: A Single-Subject Designed Study" Sports 10, no. 11: 166. https://doi.org/10.3390/sports10110166
APA StyleJermyn, S., O’Neill, C., Lacey, S., & Coughlan, E. K. (2022). The Effects of a Weighted Football Intervention on Ball Velocity of a Standard Football Place-Kick among Elite Gaelic Football Goalkeepers: A Single-Subject Designed Study. Sports, 10(11), 166. https://doi.org/10.3390/sports10110166

