Identification and Expression Profiles of Chemosensory Genes in the Antennal Transcriptome of Protaetia brevitarsis (Coleoptera: Scarabaeidae)
Simple Summary
Abstract
1. Introduction
2. Materials and Methods
2.1. Insects and Tissue Collections
2.2. RNA Extraction, Library Preparation, and Transcriptome Sequencing
2.3. De Novo Transcriptome Analysis and Functional Annotation
2.4. Identification of Chemosensory Genes
2.5. Sequence and Phylogenetic Analysis
2.6. Quantitative Real-Time PCR Analysis
3. Results
3.1. Overview of the Transcriptome
3.2. BLAST Analysis
3.3. Identification of Candidate OBP Genes
3.4. Identification of Candidate CSP Genes
3.5. Identification of Candidate SNMP Genes
3.6. Identification of Candidate OR Genes
3.7. Identification of Candidate IR Genes
3.8. Identification of Candidate GR Genes
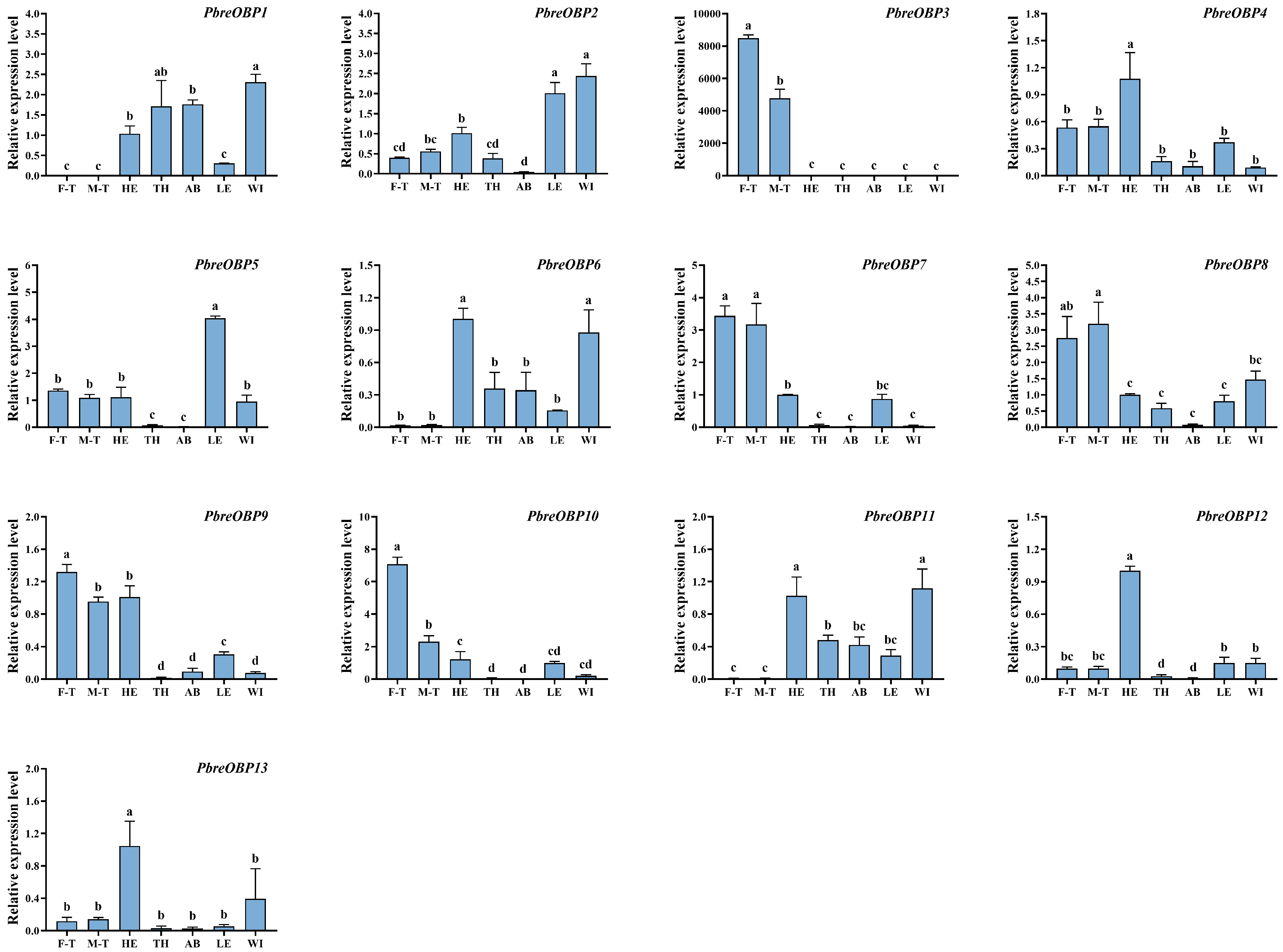
3.9. Tissue-Specific Expression Profiling of the Candidates Chemosensory Genes
4. Discussion
5. Conclusions
Supplementary Materials
Author Contributions
Funding
Data Availability Statement
Acknowledgments
Conflicts of Interest
Abbreviations
| OSNs | Olfactory sensory neurons |
| OBPs | Odorant-binding proteins |
| CSPs | Chemosensory proteins |
| SNMPs | Sensory neuron membrane proteins |
| ORs | Odorant receptors |
| IRs | Ionotropic receptors |
| GRs | Gustatory receptors |
| GPCR | G protein-coupled receptor |
| ORco | Odorant receptor co-receptor |
| RT-qPCR | Real-time quantitative PCR |
| ORFs | Open reading frames |
| TMD | Transmembrane domain |
References
- Wang, K.; Li, P.; Gao, Y.; Liu, C.; Wang, Q.; Yin, J.; Zhang, J.; Geng, L.; Shu, C. De novo genome assembly of the white-spotted flower chafer (Protaetia brevitarsis). GigaScience 2019, 8, giz019. [Google Scholar] [CrossRef] [PubMed]
- Zhang, X.; Wang, L.; Liu, C.; Liu, Y.; Mei, X.; Wang, Z.; Zhang, T. Identification and field verification of an aggregation pheromone from the white-spotted flower chafer, Protaetia brevitarsis Lewis (Coleoptera: Scarabaeidae). Sci. Rep. 2021, 11, 22362. [Google Scholar] [CrossRef] [PubMed]
- Li, Y.; Fu, T.; Geng, L.; Shi, Y.; Chu, H.; Liu, F.; Liu, C.; Song, F.; Zhang, J.; Shu, C. Protaetia brevitarsis larvae can efficiently convert herbaceous and ligneous plant residues to humic acids. Waste Manag. 2019, 83, 79–82. [Google Scholar] [CrossRef]
- Choi, E.H.; Mun, S.; Baek, S.Y.; Hwang, J.; Hwang, U.W. The complete mitochondrial genome of a white-spotted flower chafer, Protaetia brevitarsis (Coleoptera: Scarabaeidae). Mitochondr. DNA B Resour. 2020, 5, 3602–3604. [Google Scholar]
- Renou, M.; Anton, S. Insect olfactory communication in a complex and changing world. Curr. Opin. Insect Sci. 2020, 42, 1–7. [Google Scholar] [CrossRef]
- Field, L.M.; Pickett, J.A.; Wadhams, L.J. Molecular studies in insect olfaction. Insect Mol. Biol. 2000, 9, 545–551. [Google Scholar] [CrossRef] [PubMed]
- Fleischer, J.; Pregitzer, P.; Breer, H.; Krieger, J. Access to the odor world: Olfactory receptors and their role for signal transduction in insects. Cell. Mol. Life Sci. 2018, 75, 485–508. [Google Scholar] [CrossRef]
- Jia, C.; Mohamed, A.; Cattaneo, A.M.; Huang, X.; Keyhani, N.O.; Gu, M.; Zang, L.; Zhang, W. Odorant-Binding Proteins and Chemosensory Proteins in Spodoptera frugiperda: From Genome-Wide Identification and Developmental Stage-Related Expression Analysis to the Perception of Host Plant Odors, Sex Pheromones, and Insecticides. Int. J. Mol. Sci. 2023, 24, 5595. [Google Scholar] [CrossRef]
- Mohapatra, P.; Menuz, K. Molecular Profiling of the Drosophila Antenna Reveals Conserved Genes Underlying Olfaction in Insects. G3 2019, 9, 3753–3771. [Google Scholar] [CrossRef]
- Yan, H. Insect olfactory neurons: Receptors, development, and function. Curr. Opin. Insect Sci. 2025, 67, 101288. [Google Scholar] [CrossRef]
- Brito, N.F.; Moreira, M.F.; Melo, A.C. A look inside odorant-binding proteins in insect chemoreception. J. Insect Physiol. 2016, 95, 51–65. [Google Scholar] [CrossRef] [PubMed]
- Renou, M.; Party, V.; Rouyar, A.; Anton, S. Olfactory signal coding in an odor background. BioSystems 2015, 136, 35–45. [Google Scholar] [CrossRef]
- Leone, S.; Emendato, A.; Spadaccini, R.; Picone, D. Solution structure of insect CSP and OBPs by NMR. Methods Enzymol. 2020, 642, 169–192. [Google Scholar] [PubMed]
- Fan, J.; Francis, F.; Liu, Y.; Chen, J.L.; Cheng, D.F. An overview of odorant-binding protein functions in insect peripheral olfactory reception. Genet. Mol. Res. 2011, 10, 3056–3069. [Google Scholar] [CrossRef]
- Pelosi, P. Odorant-binding proteins: Structural aspects. Ann. N. Y. Acad. Sci. 1998, 855, 281–293. [Google Scholar] [CrossRef]
- Sims, C.; Birkett, M.A.; Withall, D.M. Enantiomeric Discrimination in Insects: The Role of OBPs and ORs. Insects 2022, 13, 368. [Google Scholar] [CrossRef] [PubMed]
- Li, T.T.; Liu, W.C.; Zhu, J.; Yang, Y.H.; Ma, C.; Lu, C.; Zhang, K.X. Crystal structure and ligand identification of odorant binding protein 4 in the natural predator Chrysopa pallens. Int. J. Biol. Macromol. 2019, 141, 1004–1012. [Google Scholar] [CrossRef]
- Pelosi, P.; Iovinella, I.; Felicioli, A.; Dani, F.R. Soluble proteins of chemical communication: An overview across arthropods. Front. Physiol. 2014, 5, 320. [Google Scholar] [CrossRef]
- Angeli, S.; Ceron, F.; Scaloni, A.; Monti, M.; Monteforti, G.; Minnocci, A.; Petacchi, R.; Pelosi, P. Purification, structural characterization, cloning and immunocytochemical localization of chemoreception proteins from Schistocerca gregaria. Eur. J. Biochem. 1999, 262, 745–754. [Google Scholar] [CrossRef]
- Dani, F.R.; Michelucci, E.; Francese, S.; Mastrobuoni, G.; Cappellozza, S.; La Marca, G.; Niccolini, A.; Felicioli, A.; Moneti, G.; Pelosi, P. Odorant-binding proteins and chemosensory proteins in pheromone detection and release in the silkmoth Bombyx mori. Chem. Senses 2011, 36, 335–344. [Google Scholar] [CrossRef]
- Jia, Q.; Zeng, H.; Zhang, J.; Gao, S.; Xiao, N.; Tang, J.; Dong, X.; Xie, W. The Crystal Structure of the Spodoptera litura Chemosensory Protein CSP8. Insects 2021, 12, 602. [Google Scholar] [CrossRef] [PubMed]
- Vogt, R.G.; Miller, N.E.; Litvack, R.; Fandino, R.A.; Sparks, J.; Staples, J.; Friedman, R.; Dickens, J.C. The insect SNMP gene family. Insect Biochem. Mol. Biol. 2009, 39, 448–456. [Google Scholar] [CrossRef]
- Nichols, Z.; Vogt, R.G. The SNMP/CD36 gene family in Diptera, Hymenoptera and Coleoptera: Drosophila melanogaster, D. pseudoobscura, Anopheles gambiae, Aedes aegypti, Apis mellifera, and Tribolium castaneum. Insect Biochem. Mol. Biol. 2008, 38, 398–415. [Google Scholar] [CrossRef] [PubMed]
- Jin, X.; Ha, T.S.; Smith, D.P. SNMP is a signaling component required for pheromone sensitivity in Drosophila. Proc. Natl. Acad. Sci. USA 2008, 105, 10996–11001. [Google Scholar] [CrossRef] [PubMed]
- Rogers, M.E.; Sun, M.; Lerner, M.R.; Vogt, R.G. Snmp-1, a novel membrane protein of olfactory neurons of the silk moth Antheraea polyphemus with homology to the CD36 family of membrane proteins. J. Biol. Chem. 1997, 272, 14792–14799. [Google Scholar] [CrossRef]
- Forstner, M.; Gohl, T.; Gondesen, I.; Raming, K.; Breer, H.; Krieger, J. Differential expression of SNMP-1 and SNMP-2 proteins in pheromone-sensitive hairs of moths. Chem. Senses 2008, 33, 291–299. [Google Scholar] [CrossRef]
- Liu, N.Y.; Zhang, T.; Ye, Z.F.; Li, F.; Dong, S.L. Identification and Characterization of Candidate Chemosensory Gene Families from Spodoptera exigua Developmental Transcriptomes. Int. J. Biol. Sci. 2015, 11, 1036–1048. [Google Scholar] [CrossRef]
- Schmidt, H.R.; Benton, R. Molecular mechanisms of olfactory detection in insects: Beyond receptors. Open Biol. 2020, 10, 200252. [Google Scholar] [CrossRef]
- Benton, R.; Vannice, K.S.; Gomez-Diaz, C.; Vosshall, L.B. Variant ionotropic glutamate receptors as chemosensory receptors in Drosophila. Cell 2009, 136, 149–162. [Google Scholar] [CrossRef]
- Gaillard, I.; Rouquier, S.; Giorgi, D. Olfactory receptors. Cell. Mol. Life Sci. 2004, 61, 456–469. [Google Scholar] [CrossRef]
- Wicher, D.; Miazzi, F. Functional properties of insect olfactory receptors: Ionotropic receptors and odorant receptors. Cell Tissue Res. 2021, 383, 7–19. [Google Scholar] [CrossRef] [PubMed]
- Tiwari, V.; Karpe, S.D.; Sowdhamini, R. Topology prediction of insect olfactory receptors. Curr. Opin. Struct. Biol. 2019, 55, 194–203. [Google Scholar] [CrossRef]
- Zhao, J.; Chen, A.Q.; Ryu, J.; Del Mármol, J. Structural basis of odor sensing by insect heteromeric odorant receptors. Science 2024, 384, 1460–1467. [Google Scholar] [CrossRef]
- Wang, Y.; Qiu, L.; Wang, B.; Guan, Z.; Dong, Z.; Zhang, J.; Cao, S.; Yang, L.; Wang, B.; Gong, Z.; et al. Structural basis for odorant recognition of the insect odorant receptor OR-Orco heterocomplex. Science 2024, 384, 1453–1460. [Google Scholar] [CrossRef] [PubMed]
- Rytz, R.; Croset, V.; Benton, R. Ionotropic receptors (IRs): Chemosensory ionotropic glutamate receptors in Drosophila and beyond. Insect Biochem. Mol. Biol. 2013, 43, 888–897. [Google Scholar] [CrossRef] [PubMed]
- Abuin, L.; Prieto-Godino, L.L.; Pan, H.; Gutierrez, C.; Huang, L.; Jin, R.; Benton, R. In vivo assembly and trafficking of olfactory Ionotropic Receptors. BMC Biol. 2019, 17, 34. [Google Scholar] [CrossRef]
- Scott, K. Gustatory Processing in Drosophila melanogaster. Annu. Rev. Entomol. 2018, 63, 15–30. [Google Scholar] [CrossRef]
- Ziemba, P.M.; Mueck, A.; Gisselmann, G.; Stoertkuhl, K.F. Functional expression and ligand identification of homo- and heteromeric Drosophila melanogaster CO2 receptors in the Xenopus laevis oocyte system. PLoS ONE 2023, 18, e0295404. [Google Scholar] [CrossRef]
- Gomes, J.V.; Singh-Bhagania, S.; Cenci, M.; Chacon Cordon, C.; Singh, M.; Butterwick, J.A. The molecular basis of sugar detection by an insect taste receptor. Nature 2024, 629, 228–234. [Google Scholar] [CrossRef]
- Moon, S.J.; Lee, Y.; Jiao, Y.; Montell, C. A Drosophila gustatory receptor essential for aversive taste and inhibiting male-to-male courtship. Curr. Biol. 2009, 19, 1623–1627. [Google Scholar] [CrossRef]
- Liu, H.; Zhang, X.; Liu, C.; Liu, Y.; Mei, X.; Zhang, T. Identification and expression of candidate chemosensory receptors in the white-spotted flower chafer, Protaetia brevitarsis. Sci. Rep. 2019, 9, 3339. [Google Scholar] [CrossRef] [PubMed]
- Wu, Z.; Ye, J.; Qian, J.; Purba, E.R.; Zhang, Q.; Zhang, L.; Mang, D. Identification and Expression Profile of Chemosensory Receptor Genes in Aromia bungii (Faldermann) Antennal Transcriptome. Insects 2022, 13, 96. [Google Scholar] [CrossRef] [PubMed]
- Zhao, Y.; Cui, K.; Li, H.; Ding, J.; Mu, W.; Zhou, C. Identification and Expression Analysis of Chemosensory Receptor Genes in Bradysia odoriphaga (Diptera: Sciaridae). J. Econ. Entomol. 2020, 113, 435–450. [Google Scholar] [CrossRef]
- Wang, B.; Guan, L.; Zhong, T.; Li, K.; Yin, J.; Cao, Y. Potential cooperations between odorant-binding proteins of the scarab beetle Holotrichia oblita Faldermann (Coleoptera: Scarabaeidae). PLoS ONE 2013, 8, e84795. [Google Scholar] [CrossRef][Green Version]
- Chen, Q.S.; Jiang, X.J.; Ju, Q.; Zhao, Z.Q.; Qu, M.J.; Zhu, X.C. Molecular cloning and sequence analysis of odorant receptor gene Or83b in Holotrichia plumbea. Acta Agric. Jiangxiensis 2010, 22, 1–4. [Google Scholar]
- Wang, Y.; Dong, H.; Qu, Y.; Zhou, Y.; Qin, J.; Li, K.; Luo, C.; Ren, B.; Cao, Y.; Zhang, S.; et al. Circabidian rhythm of sex pheromone reception in a scarab beetle. Curr. Biol. 2024, 34, 568–578.e5. [Google Scholar] [CrossRef]
- Yi, J.K.; Yang, S.; Wang, S.; Wang, J.; Zhang, X.X.; Liu, Y.; Xi, J.H. Identification of candidate chemosensory receptors in the antennal transcriptome of the large black chafer Holotrichia parallela Motschulsky (Coleoptera: Scarabaeidae). Comp. Biochem. Physiol. Part D Genom. Proteom. 2018, 28, 63–71. [Google Scholar] [CrossRef] [PubMed]
- Lizana, P.; Mutis, A.; Palma-Millanao, R.; González-González, A.; Ceballos, R.; Quiroz, A.; Bardehle, L.; Hidalgo, A.; Torres, F.; Romero-López, A.; et al. Comparative transcriptomic analysis of chemoreceptors in two sympatric scarab beetles, Hylamorpha elegans and Brachysternus prasinus. Comp. Biochem. Physiol. Part D Genom. Proteom. 2024, 49, 101174. [Google Scholar] [CrossRef]
- Zhao, Y.J.; Li, G.C.; Zhu, J.Y.; Liu, N.Y. Genome-based analysis reveals a novel SNMP group of the Coleoptera and chemosensory receptors in Rhaphuma horsfieldi. Genomics 2020, 112, 2713–2728. [Google Scholar] [CrossRef]
- Li, X.; Ju, Q.; Jie, W.; Li, F.; Jiang, X.; Hu, J.; Qu, M. Chemosensory gene families in adult antennae of Anomala corpulenta Motschulsky (Coleoptera: Scarabaeidae: Rutelinae). PLoS ONE 2015, 10, e0121504. [Google Scholar]
- Xia, G.; Yang, L.; Li, B.; Wang, Q.; Huang, L.; Tian, X.; Zhang, G. Genome-Wide Identification and Expression Profiling of Odorant-Binding Protein Genes in the Bean Flower Thrips Megalurothrips usitatus (Bagnall) (Thysanoptera: Thripidae). Insects 2025, 16, 212. [Google Scholar] [CrossRef] [PubMed]
- Hu, P.; Wang, J.; Cui, M.; Tao, J.; Luo, Y. Antennal transcriptome analysis of the Asian longhorned beetle Anoplophora glabripennis. Sci. Rep. 2016, 6, 26652. [Google Scholar] [CrossRef] [PubMed]
- Liu, X.; Tong, N.; Wu, Z.; Li, Y.; Ma, M.; Liu, P.; Lu, M. Identification of Chemosensory Genes Based on the Antennal Transcriptomic Analysis of Plagiodera versicolora. Insects 2021, 13, 36. [Google Scholar] [CrossRef]
- Hong, B.; Zhai, Y.; Yang, Y.; Chang, Q.; Li, G.; Zhang, F. Identification and sex-specific expression of chemosensory genes in the antennal transcriptomes of Pachyrhinus yasumatsui (Coleoptera: Curculionidae). J. Insect Sci. 2023, 23, 15. [Google Scholar] [CrossRef]
- Lechuga-Paredes, P.; Segura-León, O.L.; Cibrián-Tovar, J.; Torres-Huerta, B.; Velázquez-González, J.C.; Cruz-Jaramillo, J.L. Odorant-Binding and Chemosensory Proteins in Anthonomus eugenii (Coleoptera: Curculionidae) and Their Tissue Expression. Int. J. Mol. Sci. 2023, 24, 3406. [Google Scholar] [CrossRef]
- Gu, X.C.; Zhang, Y.N.; Kang, K.; Dong, S.L.; Zhang, L.W. Antennal Transcriptome Analysis of Odorant Reception Genes in the Red Turpentine Beetle (RTB), Dendroctonus valens. PLoS ONE 2015, 10, e0125159. [Google Scholar] [CrossRef]
- Wang, G.Y.; Chang, Y.B.; Guo, J.H.; Xi, J.Q.; Liang, T.B.; Zhang, S.X.; Yang, M.M.; Hu, L.W.; Mu, W.J.; Song, J.Z. Identification and Expression Profiles of Putative Soluble Chemoreception Proteins from Lasioderma serricorne (Coleoptera: Anobiidae) Antennal Transcriptome. Environ. Entomol. 2022, 51, 700–709. [Google Scholar] [CrossRef] [PubMed]
- Ma, X.; Lu, X.; Zhang, P.; Deng, X.; Bai, J.; Xu, Z.; Diao, J.; Pang, H.; Wang, Q.; Zhao, H.; et al. Transcriptome Analysis of Antennal Chemosensory Genes in Curculio dieckmanni Faust. (Coleoptera: Curculionidae). Front. Physiol. 2022, 13, 896793. [Google Scholar] [CrossRef]
- Ma, C.; Zhao, C.; Cui, S.; Zhang, Y.; Chen, G.; Chen, H.; Wan, F.; Zhou, Z. Identification of candidate chemosensory genes of Ophraella communa LeSage (Coleoptera: Chrysomelidae) based on antennal transcriptome analysis. Sci. Rep. 2019, 9, 15551. [Google Scholar] [CrossRef]
- Vosshall, L.B.; Stensmyr, M.C. Wake up and smell the pheromones. Neuron 2005, 45, 179–181. [Google Scholar] [CrossRef]
- Mehren, J.E. Mate recognition: Should fly stay or should fly go? Curr. Biol. 2007, 17, R240–R242. [Google Scholar] [CrossRef][Green Version]
- Zhou, Z.; Luo, Y.; Wang, X.; He, J.; Zhou, Q. Identification and sex expression profiles of candidate chemosensory genes from Atherigona orientalis via the antennae and leg transcriptome analysis. Comp. Biochem. Physiol. Part D Genom. Proteom. 2024, 50, 101222. [Google Scholar] [CrossRef] [PubMed]
- Zhang, Y.; Gao, S.; Zhang, P.; Sun, H.; Lu, R.; Yu, R.; Li, Y.; Zhang, K.; Li, B. Response of xenobiotic biodegradation and metabolic genes in Tribolium castaneum following eugenol exposure. Mol. Genet. Genom. 2022, 297, 801–815. [Google Scholar] [CrossRef]
- Gao, S.; Lu, R.; Zhang, Y.; Sun, H.; Li, S.; Zhang, K.; Li, R. Odorant binding protein C12 is involved in the defense against eugenol in Tribolium castaneum. Pestic. Biochem. Physiol. 2021, 179, 104968. [Google Scholar] [CrossRef]
- Rogers, M.E.; Krieger, J.; Vogt, R.G. Antennal SNMPs (sensory neuron membrane proteins) of Lepidoptera define a unique family of invertebrate CD36-like proteins. J. Neurobiol. 2001, 49, 47–61. [Google Scholar] [CrossRef]
- Cassau, S.; Sander, D.; Karcher, T.; Laue, M.; Hause, G.; Breer, H.; Krieger, J. The Sensilla-Specific Expression and Subcellular Localization of SNMP1 and SNMP2 Reveal Novel Insights into Their Roles in the Antenna of the Desert Locust Schistocerca gregaria. Insects 2022, 13, 579. [Google Scholar] [CrossRef] [PubMed]
- Li, H.; Hao, E.; Li, Y.; Yang, H.; Sun, P.; Lu, P.; Qiao, H. Antennal transcriptome analysis of olfactory genes and tissue expression profiling of odorant binding proteins in Semanotus bifasciatus (Cerambycidae: Coleoptera). BMC Genom. 2022, 23, 461. [Google Scholar] [CrossRef] [PubMed]
- Antony, B.; Soffan, A.; Jakše, J.; Abdelazim, M.M.; Aldosari, S.A.; Aldawood, A.S.; Pain, A. Identification of the genes involved in odorant reception and detection in the palm weevil Rhynchophorus ferrugineus, an important quarantine pest, by antennal transcriptome analysis. BMC Genom. 2016, 17, 69. [Google Scholar] [CrossRef]
- Butterwick, J.A.; Del Mármol, J.; Kim, K.H.; Kahlson, M.A.; Rogow, J.A.; Walz, T.; Ruta, V. Cryo-EM structure of the insect olfactory receptor Orco. Nature 2018, 560, 447–452. [Google Scholar] [CrossRef]
- Missbach, C.; Dweck, H.K.; Vogel, H.; Vilcinskas, A.; Stensmyr, M.C.; Hansson, B.S.; Grosse-Wilde, E. Evolution of insect olfactory receptors. eLife 2014, 3, e02115. [Google Scholar] [CrossRef]
- Abuin, L.; Bargeton, B.; Ulbrich, M.H.; Isacoff, E.Y.; Kellenberger, S.; Benton, R. Functional architecture of olfactory ionotropic glutamate receptors. Neuron 2011, 69, 44–60. [Google Scholar] [CrossRef] [PubMed]
- Zhang, Z.J.; Zhang, S.S.; Niu, B.L.; Ji, D.F.; Liu, X.J.; Li, M.W.; Bai, H.; Palli, S.R.; Wang, C.Z.; Tan, A.J. A determining factor for insect feeding preference in the silkworm, Bombyx mori. PLoS Biol. 2019, 17, e3000162. [Google Scholar] [CrossRef] [PubMed]
- Li, X.; Li, J.W.; Sun, W.X.; Li, W.; Gao, H.Y.; Liu, T.X.; Qu, M.J. Candidate Chemosensory Genes Identified in the Adult Antennae of Sympiezomias velatus and Binding Property of Odorant-Binding Protein 15. Front. Physiol. 2022, 13, 907667. [Google Scholar] [CrossRef] [PubMed]













| Sample Name | Transcript | Unigene |
|---|---|---|
| Sequence Number | 120,436 | 50,162 |
| Total Length (bp) | 140,250,123 | 48,420,970 |
| Max. Length (bp) | 15,964 | 15,964 |
| Mean Length (bp) | 1164.52 | 965 |
| SD (bp) | - | 985 |
| N50 (bp) | 1732 | 1413 |
| N50 Sequence No. | 23,673 | 9434 |
| N90 (bp) | 485 | 405 |
| N90 Sequence No. | 83,611 | 36,236 |
| GC% | 39.02 | 40.27 |
Disclaimer/Publisher’s Note: The statements, opinions and data contained in all publications are solely those of the individual author(s) and contributor(s) and not of MDPI and/or the editor(s). MDPI and/or the editor(s) disclaim responsibility for any injury to people or property resulting from any ideas, methods, instructions or products referred to in the content. |
© 2025 by the authors. Licensee MDPI, Basel, Switzerland. This article is an open access article distributed under the terms and conditions of the Creative Commons Attribution (CC BY) license (https://creativecommons.org/licenses/by/4.0/).
Share and Cite
Zhao, S.-H.; Yue, Y.; Gao, Q.; Yu, R.-T.; Yang, Z.-H.; Zhou, N.; Xu, G.-L. Identification and Expression Profiles of Chemosensory Genes in the Antennal Transcriptome of Protaetia brevitarsis (Coleoptera: Scarabaeidae). Insects 2025, 16, 607. https://doi.org/10.3390/insects16060607
Zhao S-H, Yue Y, Gao Q, Yu R-T, Yang Z-H, Zhou N, Xu G-L. Identification and Expression Profiles of Chemosensory Genes in the Antennal Transcriptome of Protaetia brevitarsis (Coleoptera: Scarabaeidae). Insects. 2025; 16(6):607. https://doi.org/10.3390/insects16060607
Chicago/Turabian StyleZhao, Shi-Hang, Yang Yue, Qi Gao, Rui-Tao Yu, Zhao-Hui Yang, Nan Zhou, and Guo-Liang Xu. 2025. "Identification and Expression Profiles of Chemosensory Genes in the Antennal Transcriptome of Protaetia brevitarsis (Coleoptera: Scarabaeidae)" Insects 16, no. 6: 607. https://doi.org/10.3390/insects16060607
APA StyleZhao, S.-H., Yue, Y., Gao, Q., Yu, R.-T., Yang, Z.-H., Zhou, N., & Xu, G.-L. (2025). Identification and Expression Profiles of Chemosensory Genes in the Antennal Transcriptome of Protaetia brevitarsis (Coleoptera: Scarabaeidae). Insects, 16(6), 607. https://doi.org/10.3390/insects16060607

