Simple Summary
Insect pests such as the diamondback moth, which infests cabbages and related crops, inflict massive amounts of damage to agriculture that costs billions of USD annually. Since the adult diamondback moths spread by migrating, factors controlling their activity and movement are of interest. Daily and seasonal activity rhythms in many animals are regulated by innate daily timekeeping systems termed circadian clocks. In this study, we describe rhythms in the molecular elements of this timekeeping system in diamondback moths and we test if the circadian clock can be held responsible for daily rhythms in moth activity. We found that diamondback moth activity was suppressed by light and regulated by environmental temperature rather than the circadian clock. These insights are helpful in predicting the activity of this agricultural pest.
Abstract
The diamondback moth, Plutella xylostella, is arguably the most economically impactful and widespread lepidopteran pest. Though the larval P. xylostella life stage is responsible for most of this cost through the consumption of crops, it is the adult form that spreads the pest to fresh crops all around the world, seeking them out in a seasonally expanding range. It is therefore important to understand the activity rhythms of adult P. xylostella in response to environmental cues such as light and temperature. We analysed diel rhythms in both adult clock gene expression and locomotor behaviour for the ROTH P. xylostella strain. Real-time quantitative PCR analyses of P. xylostella demonstrated diel rhythms for transcripts of the clock genes period and timeless under both entrained and free-running conditions indicating the presence of a functional daily timekeeping mechanism. However, adult locomotor rhythms exhibited temperature-driven and light-repressed regulation rather than circadian control. Thus, our analyses show a lack of coupling between the P. xylostella circadian clock and adult locomotor behaviour, which may be relevant in predicting the activity patterns of this agricultural pest.
1. Introduction
Climate change and an exponentially growing human population are putting pressure on arable land and threatening global famines before the end of the century [], making food security a priority issue that needs to be addressed []. A key factor in the challenge to maintain food production is the control of pest species, with the effects of pests being underestimated [] and increasing in severity as the climate changes [,,,]. P. xylostella (diamondback moth) is a pest species that has taken hold globally, having achieved a cosmopolitan distribution with a seasonally expanding range that covers all but the coldest latitudes [,]. P. xylostella is a Brassicaceae specialist herbivore [] causing worldwide losses estimated at USD ~5 billion annually [], up from USD ~1 billion in the 1990s, making P. xylostella arguably the world’s most costly lepidopteran pest []. P. xylostella challenges farmers due to rapid proliferation in newly colonised fields and is able to produce 250+ eggs per female [] and complete multiple life cycles per season [,]. P. xylostella also shows rapid pesticide resistance gain [,,], leading to control failures with some regions facing > 90% crop losses [,]. Integrated Pest Management (IPM) strategies are being implemented to both diminish pesticide use and P. xylostella’s impact [,,]; however, the uptake of these strategies has been limited, with the prohibitive complexity of treatments needed for success causing farmers to fall back onto aggressive pesticide spraying protocols [,,]. The study of behavioural manipulation as part of control strategies has been gaining increasing attention as these research pathways may complement and help increase the efficacy of IPM [,,].
The circadian clock acts as an endogenous timekeeping mechanism controlling processes in organisms to best fit the daily rhythms of the planet [,]. This clock runs via a series of transcriptional and translational feedback loops (TTFL) that maintain ~24 h rhythms without the need for external stimuli such as light and temperature though it can be entrained by them. The lepidopteran circadian clock differs from that of the model organism Drosophila melanogaster [,], having two CRYPTOCHROME (CRY) proteins active in the TTFL. CRY2 (vertebrate-like CRY, absent in Drosophila) acts as negative regulator in the complex that represses per, tim and cry2 expression [,].
Circadian rhythms have a widespread impact on gene expression. For example, ~40% of coding genes were found to exhibit circadian rhythms in mice [] and ~35% in plants []. Synchrony of internal and environmental rhythms is important for health and well-being with circadian clocks exerting a strong influence over organisms’ immune systems and anticipation of threats [,,,]. Lepidopteran circadian mechanisms have been shown to influence numerous behaviours including life stage cycles, oviposition [] and seasonal migrations []. P. xylostella may better adapt to local environments and rhythmic changes via seasonal migration. In other species, seasonal migration is known to be informed by the clock-dependent detection of relevant changes in the photoperiod [,] and temperature [,]. Moreover, the way in which P. xylostella controls and modulates its behaviour when invading new regions and after invasions have taken place may be important for informing control measures as well as complimenting and improving the efficacy of IPM strategies. P. xylostella, which lacks the ability to diapause, migrates seasonally, invading brassica crops grown at higher latitudes as temperatures warm with populations sustained as long as temperatures remain elevated [,,]. The modulating photoperiod in a neotropical P. xylostella population had no discernible effect morphology or life history []. However, systematic analyses of the impact of changes in both the photoperiod and daily temperature cycles on P. xylostella physiology and behaviour remain to be conducted.
It is therefore important to understand both P. xylostella’s daily timekeeping mechanisms and the rhythmic behavioural outputs that occur in association with these. Molecular circadian rhythms underlying daily timekeeping were explored by determining transcript profiles of the P. xylostella clock genes per and tim. In addition, P. xylostella was studied for its diel locomotor activity under a range of environmental light and temperature cycles. Our behavioural analyses of the ROTH P. xylostella strain maintained on Brassica rapa complement a prior behavioural study using the Geneva 88 P. xylostella strain maintained on an artificial diet that identified nocturnal behaviour with relatively weak male-specific circadian behaviour [].
2. Materials and Methods
2.1. P. xylostella Culture Maintenance
P. xylostella populations were reared within an environmental control room (ECR) at 20 °C in a 12/12 h Light/Dark (L/D) light cycle. W30 × D30 × H30 cm BugDorms (Watkins & Doncaster, Leominster, UK) were used to house mixed-sex populations. The population was acquired from Rothamsted Research, (ROTH strain wild collections during the 1960s) and has been continuously maintained on Brassica rapa. A sugar-water source was provided for adults during the egg-laying period, with adults mixed between new cages to prevent genetic isolation.
2.2. P. xylostella Locomotor Activity Assays
In preliminary activity monitor experiments, three different substrates were trialled. Cotton wool saturated with sugar-water or diluted honey versus sugar-agar solid media. As moths often got stuck and/or wet when sugar/honey solution-saturated cotton wool was used, the solid sugar-agar media were used instead. To control fungal growth, this media was prepared with 0.07% methyl 4-hydroxybenzoate. This was added using a 10% methyl 4-hydroxybenzoate w/v stock solution in ethanol after 1% agar and 5% table sugar media had been boiled and cooled down to ~60 °C. During preparation, 25 mm diameter × 95 mm length glass test tubes were filled from the bottom with 2 cm of the media. The media was left to dry before adding individual P. xylostella under CO2 anaesthesia, and the tubes were capped with cellulose acetate to allow gas exchange. Individual P. xylostella activity counts were detected with the tubes in horizontal orientation by the TriKinetics LAM25 assay system (TriKinetics, Waltham, MA, USA). Based on the increased mortality at 23 °C in preliminary experiments, assays were conducted at 17 °C or 20 °C.
For individual locomotor assays at a constant temperature, LAM25 monitors were kept inside a black plastic box at 17 °C, with local humidity provided by a tray of water containing algicide and biocide to suppress microbial growth. White LEDs were mounted inside the black plastic tub providing 8 µmol/m2/s (~400 lux) light for 12/12, 6/6/6/6, 14/10, 16/8, 18/6 and 20/4 h of light (L) and dark (D) cycles or in constant light (L/L) or constant darkness (D/D), shown in Table 1. In parallel, environmental cycles mimicking light and temperature recordings in Kent (51.2874° N, 0.4400° E), UK, in April and June, were set up for individual locomotor activity assays in an Percival incubator, model number: DR-36VL, (Clf Plantclimatics, Wertingen, Germany) based on environmental data from [], producing the conditions shown in Table 1. The recorded environmental profile in the incubator setups is shown in Supplementary Figure S4, where a programmable LED lamp (FLUVAL14521, Rolf C. Hagen (UK) Ltd. Castleford, UK) was used to create ramping dawn and dusk light, with the incubator maintaining the temperature profile and max light producing 38 µmol/m2/s (~2000 lux). Gradually ramping temperature cycles in (D/D) and (L/L) conditions were produced in the same incubators, using the four built-in fluorescent lights to provide the light for the latter condition. For each locomotor assay, P. xylostella was selected freshly from culturing enclosures and was recorded over 6+ days. The data were collected by a DAM (Drosophila Activity Monitor) system (Trikinetics, Waltham, MA, USA) [] in 5 min segments and were subsequently exported to ClockLab Analysis Version 6 (Actimetrics, Lafayette, IN, USA) for analysis. DEnM monitors were used to keep track of experimental light, temperature and humidity conditions.

Table 1.
Diel environmental conditions for locomotor activity assays. Dawn refers to the phase of increasing light intensity, dusk refers to phase of decreasing light intensity.
2.3. P. xylostella RNA Collection and Extraction
Whole adult P. xylostella male moths were maintained at 20 °C under 12 h:12 h L/D conditions and then collected every 4 h during the last day of L/D and the first day of subsequent D/D conditions (ZT1-5-9-13-17-21-CT1-5-9-13-17-21). Male moths were used exclusively to avoid confounding effects due to sex ratio fluctuations or female egg load []. Adult males were snap-frozen at −80 °C for storage and used to extract RNA using the RNAqueous-4PCR kit (Thermo Fisher Scientific, Loughborough, UK). The isolated RNA was treated with DNase 1 and the resulting RNA samples were tested for concentration and quality using a NanoDrop 1000 spectrophotometer (Thermo Fisher Scientific, Loughborough, UK). Samples were aliquoted into an appropriate working volume (used for specific quantitative polymerase chain reaction (qPCR) plate setups) and were kept at −20 °C for short-term storage.
2.4. qPCR Protocol
RNA samples were used as templates for one-step amplification reverse transcriptase quantitative PCR (qPCR) with the PrecisionPLUS OneStep qRT-PCR Master Mix (Primer Design Ltd., Chandler’s Ford, UK), with both a SYBR green florescent dye and ROX dye. qPCR was performed using a StepOnePlus Real-Time PCR System (Thermo Fisher Scientific, Loughborough, UK) to quantify proportional levels of specific RNA transcripts between samples []. Amplification thresholds were used to calculate the proportional level of primer-specific transcripts present in each RNA sample using the 2−ΔΔCT method []. Elongation factor 1 α (Ef1α) was used as a housekeeping reference gene in order to analyse the relative expression of circadian genes period (per) and timeless (tim) shown in Table 2. Primers were designed using Primer-3 and Primer-BLAST [,] to amplify desired distinct gene transcripts. Adherence to the MIQE guidelines was submitted along with the research [].

Table 2.
Primer pair sequences and amplicon lengths for P. xylostella genes of interest used in qPCR experiments, adapted from [] and tested using qPCR serial dilution for efficiencies and 5% agarose gel electrophoresis to check expected amplicon lengths.
2.5. Statistical Analyses
ClockLab Analysis Version 6 software was used to analyse and produce graphical representations of P. xylostella locomotor activity data at a 30 min resolution in the form of double-plotted actograms, daily activity profiles and chi-square periodograms and to quantify specific associated parameters of both individual moths and populations. Individual moths were assumed to have died and were excluded from the results if their activity stopped permanently during a 6-day analysis interval. Flies were considered rhythmic if they exhibited a significant (p <= 0.01) chi-square periodogram amplitude for a period in the circadian range (15–35 h). Relative rhythmic power (RRP) was calculated as the ratio between that amplitude and the associated significance threshold value. Shapiro–Wilk tests were used to test if data met the assumptions required for parametric testing, e.g., normal distribution of data.
Where the assumption of normality was consistently found to be met, comparisons were performed using t-tests or ANOVA with Tukey’s multiple comparisons analysis. In cases where some of the data sets violated this assumption, nonparametric analyses (Mann–Whitney U test, Kruskal–Wallis tests with Dunn’s multiple comparison post hoc tests) were used instead. The differences between the light- and dark-phase activity counts of individual moths were assessed using Wilcoxon matched-pairs signed rank test. Simple linear regression was used to describe the relationship between dark-phase length and average dark-phase activity counts. The resulting equation was then compared to models assuming constant daily activity or a constant activity rate during the dark phase. Two-sided permutation t-test estimation statistics [] were used to illustrate the distribution of activity across two halves of experimental days. The CircaCompare R package 0.1.1 [] was used for the calculation and comparisons of rhythmic activity and expression profiles using rhythmic features (mesor, amplitude and phase) to compare rhythmic patterns between groups of data through cosinusoidal curve fitting.
3. Results
3.1. P. xylostella Circadian Clock Gene Rhythms
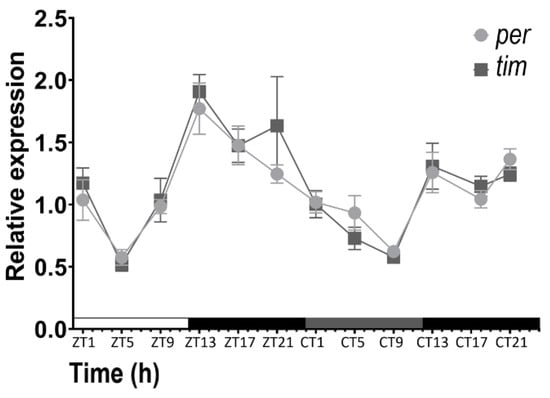
The rhythmic profiles of the clock gene transcripts for tim and per relative to a reference gene (Ef1α) were determined by qPCR from total RNA extracted from adult male moths across a 2-day L/D-D/D time course sampled at a 4 h resolution (Figure 1, Table 3). Significant rhythmicity was observed for each clock gene under each environmental condition using cosinusoidal fitting (Supplementary Figure S1, Supplemental Table S1). The transcript profiles for per and tim closely matched across the entire time course with no significant difference at any time point (Figure 1, Table 3). Both transcripts exhibited a major increase in association with the onset of dusk or subjective dusk.

Figure 1.
qPCR analysis of per and tim transcript levels in adult male P. xylostella across a 48 h L/D-D/D time course at the indicated L/D (ZT) and D/D (CT) time points. The line graphs show average ± SEM. Relative expression normalised to a reference transcript (Ef1α). Six independent biological replicates were used.

Table 3.
CircaCompare analysis of per and tim qPCR L/D-D/D transcript profiles. The Rhythm p value corresponds to the data’s cosine fit; mesor represents a rhythm-adjusted mean; amplitude reflects the peak-to-trough difference in the fitted curve; phase peak refers to the daily maximum of the fitted curve.
3.2. P. xylostella Individual Adult Locomotor Rhythms at Constant Temperature
P. xylostella diel locomotor behaviour was assessed on a sugar/agar substrate using Trikinetics LAM25 monitors at a constant 17 °C for D/D and L/L conditions as well as 12:12, 14:10, 16:8, 18:6 and 20:4 L/D cycles and 6:6:6:6 L/D/L/D cycles (see Figure 2, Supplemental Figures S2 and S3, Table 4, Supplemental Tables S2 and S3). While locomotor behaviour was rhythmic under all L/D cycles, this was not the case for constant D/D or L/L conditions. Moreover, diel activity profiles did not reveal anticipatory features. The activity was increased immediately upon transition from light to dark and then dropped off to a lower level, while the onset of light triggered an immediate and sustained drop in activity. A prior study observed that when placed in 6:6:6:6 L/D/L/D photoperiods, wild-type, but not arrhythmic mutant Drosophila melanogaster, exhibited preferential rhythmicity in the circadian range rather than the entrained 12 h L/D cycle [], such that increased locomotor activity was observed every other 6:6 L/D cycle. However, as is evident from the activity profiles and actograms (see Figure 2, Supplemental Figure S2) as well as comparative analyses of activity levels during the first and second 6:6 L/D phases per cycle (see Supplemental Figure S3), this was not the case for P. xylostella. In fact, the differences between the first and second 6:6 L/D phases were no more pronounced than those for the subjective dark versus subjective light phases of the D/D condition, where behaviour was arrhythmic. Thus, no evidence of circadian control of adult locomotor behaviour was uncovered. Instead of clock-mediated rhythmicity, the observed diel locomotor activity patterns exhibited two other regulatory features: (1) light-mediated repression and (2) homeostasis. Beyond the qualitative changes in the activity profiles and actograms, light-mediated repression was demonstrated quantitatively in the significantly reduced activity counts under L/L conditions (Figure 2B, Supplemental Figure S2B) and the preferential activity during the dark phase of L/D cycles versus the subjective dark phases of D/D or L/L cycles (Figure 2D, Supplemental Figure S2D). The data also indicated homeostatic control of diel locomotor activity in the dark as total diel activity was relatively similar across L/D cycles with dark phases varying from 4 to 12 h (Figure 2B, Supplemental Figure S2B), while the dark-phase activity rate was lowest in D/D (Figure 2C, Supplemental Figure S2C). Given very strong light-mediated repression, diel dark-phase activity would be expected to increase proportionally with dark-phase length in the absence of homeostasis. In contrast, homeostatic maintenance of a fixed diel activity level would require proportional decreases in dark-phase activity rates with increasing diel dark-phase length. In fact, the observed adult male and female locomotor activity data were best fit by an intermediate model exhibiting some level of homeostasis (Figure 3). Though light repression was strong, it was incomplete as the light phase contributed more to total activity in L/D cycles with short dark phases (18:6, 20:4) versus those with equal amounts of light and dark (12:12, 6:6:6:6; Figure 2D, Supplemental Figure S2D).

Figure 2.
Locomotor behavioural analysis of adult male P. xylostella under different lighting conditions. (A) Left: normalised average ± SEM daily activity profiles over 6-day intervals for P. xylostella adult males. Time is plotted along x-axis in hours (h), starting at the onset of dark or subjective dark phase with normalised activity indicated by the y-axis. Right: double-plotted actograms of normalised average activity of moths over 6 days in 30 min bins. The horizontal bars along the top of individual activity profiles and actograms indicate dark phase (black), subjective dark phase (grey cross hatching), light phase (white) and subjective light phase (grey). (B) Total average daily activities, (C) average hourly dark-phase activity, (D) average % of total activity occurring during (s) dark phase, (E) average % of total activity occurring during first 2 h of (s) dark phase. Data points outside Tukey’s range (1.5XIQR (Interquartile range)) are shown. Kruskal–Wallis and Dunn’s multiple comparison post hoc test results show significant differences from each respective data set through letter grouping system.

Table 4.
Periodogram analysis for adult male P. xylostella locomotor rhythms. Chi-square periodogram analysis of 6-day data sets for the indicated number (n) of individual males under the indicated conditions. Relative rhythmic power (RRP) was calculated as the ratio between chi-square periodogram amplitude and significance threshold. Condition was found to significantly impact RRP (Kruskal–Wallis test) and Dunn’s multiple comparison post hoc test results are annotated in superscript. # indicates that there was only a single rhythmic individual.

Figure 3.
Average dark phase activity as a function of dark-phase duration for P. xylostella adult male and female diel locomotor activity. The average ± SEM diel dark-phase activity data are plotted for L/D cycles with 4, 6, 8, 10 and 12 h of dark as well as D/D cycles. The 12 h data represent a combination of the 12:12 L/D and 6:6:6:6 L/D/L/D combinations. A linear regression fit is shown along with theoretical alternatives assuming near-complete light repression representing either a constant dark-phase activity rate or a constant diel activity level.
To follow up on observations by Wang and colleagues [], who reported weak but significant circadian rhythmicity for the locomotor behaviour of adult male P. xylostella of the Geneva 88 strain under 20 °C D/D conditions following prior L/D entrainment, we repeated D/D locomotor analysis for adult male P. xylostella of the ROTH strain at 20 °C following L/D entrainment at the same temperature. Again, no behavioural circadian rhythmicity was detected (87.5% arrhythmicity; average RRP 0.82 ± 0.038; Supplemental Figure S4).
3.3. Diel Locomotor Activity Patterns of Individual Adult P. xylostella Males Under Simulated Field Conditions
To better assess diel P. xylostella locomotor behaviour under more natural combined light and temperature cycles, we recreated environmental cycles mimicking UK semi-field conditions recorded in Kent in April and June (see []). Diel locomotor activity patterns recorded for individual adult males exhibited apparent rhythmicity under both conditions, with both light- and temperature-associated features. Peak activity occurred soon following dark-phase onset, whereas light-phase onset triggered a reduction in activity (Figure 4, Table 5). A significantly larger proportion of diel activity occurred in the dark phase under simulated April conditions, which is consistent with the longer dark phase under these conditions as observed dark-phase activity rates were similar (Figure 4).

Figure 4.
Male adult P. xylostella locomotor activity under UK April and June simulation conditions in the lab. (A) Left: Average activity profiles show average activity ± SEM (shading) over 24 h of 6-day average activity of 20 P. xylostella adult males. Time is plotted along x-axis in hours (h) starting at onset of complete dark phase, with normalised amplitude along y-axis. The black horizontal bar along the top of individual graphs indicates the dark phase with grey-white-grey shaded bars showing the light phase including transitions. A separate line represents the temperature cycle according to the right-hand y-axis. Right: Double-plotted actograms show average activity of moths over 6 days (normalised per 48 h segment) with a 30 min resolution. The environmental light and temperature profiles recorded in the incubators are shown in Supplemental Figure S5B. (B) Total average daily counts, (C) average hourly dark phase activity, (D) average % of total activity occurring during (s) dark phase, (E) average % of total activity occurring during first 2 h of (s) dark phase. Data points outside Tukey’s range (1.5XIQR (Interquartile range)) are shown. Mann–Whitney U test fresults show significant differences from respective data set through *.

Table 5.
Periodogram analysis for P. xylostella locomotor rhythms under simulated UK April and June conditions. Chi-square periodogram analysis of 6-day data sets for the indicated number (n) of individual males under the indicated conditions.
3.4. Diel Locomotor Activity Behaviour of Individual P. xylostella Males in Response to Temperature Cycles in Constant Light or Constant Dark Conditions
Given the temperature-associated diel locomotor activity features observed under simulated field conditions, we considered the possibility that temperature cycles might induce diel locomotor rhythms in D/D and/or L/L conditions. Significant diel rhythmicity was observed in D/D conditions in the presence of a gradually ramping 14–22 °C temperature cycle, but this was not the case in L/L (see Figure 5, Table 6). Locomotor activity was strongly suppressed by the presence of constant white light and residual activity did not show diel rhythmicity for the large majority of adult male moths. In contrast, in D/D, increased activity was associated with the 12 h phase surrounding peak temperature as well as the 12 h phase associated with rising temperatures.

Figure 5.
Adult male P. xylostella diel locomotor rhythms in D/D or L/L temperature cycle conditions. (A) Left: normalised average ± SEM daily activity profiles over 6-day intervals for P. xylostella adult males in D/D (black shading) and L/L (grey shading) conditions. Time is plotted along x-axis in hours (h), starting ~1 h following the temperature cycle trough, with normalised amplitude along y-axis. A separate line represents the temperature cycle according to the right-hand y-axis. Right: double-plotted actograms of normalised average activity of moths over 6 days at a 30 min resolution. (B) Total average daily activities, (C) average activities during the 12 h intervals of rising and falling temperature, respectively, (D) average activities during the 12 h non-overlapping intervals surrounding the temperature high and low points. The Y axes are interrupted to allow inspection of the L/L data at higher resolution. Data points outside Tukey’s range (1.5XIQR (Interquartile range)) are shown. Significant differences (Mann–Whitney U test * p < 0.05) between conditions in B and between 12 h intervals of the same cycle in (C,D) are indicated.

Table 6.
Constant dark and constant light temperature cycle data. Chi-square periodogram analysis of 6-day data sets for the indicated number (n) of individual males under the indicated conditions. Significant differences in RRP (Mann–Whitney test p < 0.05) are annotated (a versus b).
4. Discussion
4.1. Clock Gene Regulation
Our findings that adult P. xylostella exhibit rhythmic diel and circadian cycling of per and tim matches observations of other Lepidopterans [,,,]. Nocturnal moths representing a variety of Lepidopteran families were previously shown to exhibit diel and circadian per and tim mRNA rhythms with peaks during (subjective) night. This includes the cotton bollworm Helicoverpa armigera [], Mediterranean flour moth Ephestia kuehniella [], Chinese oak silk moth Antheraea pernyi [] and silkworm Bombyx mori []. We can now add P. xylostella as a representative of the superfamily Yponomeutoidea to this list. Moreover, per and tim transcripts of the day-active monarch butterfly Danaus plexippus have also been found to exhibit similar rhythms in L/D and D/D [,], confirming that the circadian control of these transcripts is conserved and can be associated with Lepidoptera occupying different temporal niches [,]. Under D/D conditions, both per and tim had lower amplitudes in adult male P. xylostella relative expression values compared to L/D, with a significantly reduced rhythmic amplitude for per expression. Such damping of clock gene expression in D/D versus L/D conditions has been observed in other Lepidoptera such as Ephestia kuehniella [] and may reflect both a light-mediated enhancement of rhythms as well as a loss of synchrony in peripheral clocks. Tissue-specific studies of molecular circadian rhythms under prolonged free-running conditions may clarify this.
4.2. Absence of Circadian Rhythms in P. xylostella Adult Locomotor Behaviour
Various aspects of Lepidopteran behaviour are known to exhibit control by the circadian clock (as reviewed by []). Notably, circadian regulation of adult locomotion or flight has been reported for Ephestia kuehnellia, Antheraea pernyi, Hyalophoroa cecropia, Samia cynthia ricini, Manduca sexta and Hyles lineata [,,]. Though many studied Lepidoptera express rhythms in D/D, there are some that also show a notable weakening of rhythms, including Hyles lineata [] and female P. interpunctella []. We failed to observe circadian control of adult behaviour in P. xylostella. Under constant conditions, adult moths failed to exhibit detectable circadian rhythmicity in their locomotor behaviour. This was true for both males and females at 17 °C in D/D or L/L, as well as males at 20 °C in D/D. Moreover, there was no evidence of circadian modulation of diel behaviour, which is evidenced by anticipatory increases in activity ahead of light/dark transitions [] or circadian modulation of non-24 h L/D cycles []. In fact, the complete absence of circadian rhythmicity also contrasts with a prior report of weak but significant circadian locomotor rhythms in adult male P. xylostella []. It should be noted that a number of experimental differences may account for this discrepancy as our work differed in the strain (ROTH versus Geneva 88) and culture method used (culture on Brassica rapa versus artificial diet), and there were also subtle differences in the adult setup for locomotor behaviour.
4.3. Light-Mediated Repression of P. xylostella Moth Locomotion
Adaptations to avoid activity under light conditions represent a widely adopted survival strategy [,]. Avoiding these activities during light phases is common due to increased risks of predation under light exposure []. Moreover, key physiological processes in moths are known to be disrupted by artificial light [,,]. Light avoidance is particularly well known among nocturnal moths [] and it has been noted in the study of other behaviours in P. xylostella with over 70% of mating and oviposition taking place within the first half of the dark phase in 16/8 conditions []. Consistent with these broader principles, our adult moth locomotor activity records demonstrated strong non-circadian responses to changes in lighting conditions with activity levels showing a sudden and sustained decrease upon exposure to light and an immediate temporary increase upon the onset of darkness. Our behavioural analyses under simulated field conditions with dimmable lighting are compatible with P. xylostella exhibiting a high level of light sensitivity, with strong activity responses associated with subtle changes in light exposure at the beginning of dawn and the end of dusk. P. xylostella may preferentially avoid activity at dawn as predators may use morning light to hunt lingering nocturnal prey, with previous research showing higher predator foraging efficiency around this time [].
4.4. Homeostatic Regulation of P. xylostella Locomotor Activity
Sleep is known to exhibit a homeostatic component that is independent of circadian control, where the possible accumulation of ‘sleep debt’ leads to organisms attempting to maintain a certain level of sleep on average [,]. Our analyses indicated that homeostasis of diel locomotor activity levels in adult P. xylostella at 17 °C across a range of photoperiods with only L/L conditions exhibits a dramatic reduction in activity levels. This phenomenon may at least be in part accounted for by the tendency of adult P. xylostella to exhibit a temporary peak in locomotor activity shortly after the onset of darkness.
4.5. Temperature Regulation of diel P. xylostella Adult Locomotor Activity
Our results showed temperature-driven control of adult P. xylostella locomotor activity. This may be relevant to impact of both diel and seasonal environmental temperature rhythms. In addition, the impact of temperature on P. xylostella activity is relevant in relation to migration across temperature zones [,] and the impact of climate change []. Notably, the impact of temperature on locomotor activity was abrogated in L/L conditions but appeared to persist in more complex environmental L/D cycles simulating field conditions. This observation could indicate that prolonged light exposure is required for this effect. In many animals prolonged exposure to L/L disrupts the circadian clock and associated behavioural rhythms. In insects such as the monarch butterfly D. plexippus [] and the fruit fly D. melanogaster [], this molecular and behavioural arrhythmicity is mediated via the circadian photoreceptor dCRY. dCRY has an orthologue in P. xylostella, which was recently genetically disrupted []. It would be of interest to determine whether dcry mutant P. xylostella exhibits temperature-mediated modulation of locomotor activity in L/L.
4.6. Disassociation of Locomotor Behaviour Rhythms and Circadian Clock Function
It is unclear why P. xylostella’s locomotor activity is governed by light-mediated repression, temperature modulation and homeostatic regulation without exhibiting circadian rhythmicity. One possibility is that the ROTH strain used in this study lost some of its original circadian behaviour after decades of culture under laboratory conditions. Nevertheless, independent observations for the Geneva 88 strain also showed either arrhythmic or weakly circadian behaviour suggesting that P. xylostella locomotor behaviour may be largely controlled by alternative means []. Perhaps, a homeostatic mechanism in combination with responses to environmental cues is sufficient to drive the onset of temporary peaks in locomotor activity at the onset of darkness. Beyond abiotic time cues such as light and temperature, P. xylostella may also respond to rhythmic signals emitted by its host plants. Studies have repeatedly indicated a close relationship between the circadian rhythms of Lepidoptera and host plants [,]. Therefore, further research on how P. xylostella interacts with its host plants is needed. In this context, it is of interest that P. xylostella sexual activity was altered in response to host plant volatiles [].
It is possible that locomotor activity is an exception and that other relevant rhythmic adult behaviours including feeding, mating and oviposition are circadian clock-controlled [,]. Whether migration, which is photoperiodic in a number of insects [], is controlled by the circadian clock in P. xylostella remains to be determined. As noted above, Campos and colleagues found that the modulating photoperiod had no discernible effect on P. xylostella morphological and life history traits in a neotropical population []. It is possible that temperature rather than photoperiod acts as a migration cue due to its strong effect on the P. xylostella life cycle. In D. plexippus, a widely researched migratory lepidopteran, migration is triggered via cooling temperatures and is then maintained using circadian clock-assisted compass mechanisms [,]. Insensitivity to photoperiodic entrainments may be advantageous to P. xylostella, opting for a direct response to light conditions, due to the large changes in light conditions associated with the scale and speed of P. xylostella migration [,]. Along with temperature, age and affected nutritional quality of host plants may act as a migration cue as it has been shown that older host plants produced P. xylostella adults with favourable migratory traits [].
5. Conclusions
Circadian control of activity rhythms has been described at the behavioural and gene expression levels in both moths and butterflies; however, there can be noticeable species-specific differences between them [,,]. It is therefore unclear how daily timekeeping acts in individual species. We confirmed that light-entrained circadian rhythms of the core clock transcripts per and tim matched the behaviour of orthologous genes across Lepidoptera [,,,] and other animals [,]. This work could be further expanded by determining the circadian transcriptome of P. xylostella to further assess the relatedness of its clock mechanisms to those found in other animals. Our findings now provide evidence for the uncoupling of molecular circadian rhythms from adult locomotor behaviour in the economically impactful pest P. xylostella. Instead, light-mediated repression, temperature-modulation and homeostasis were identified as important determinants of adult P. xylostella diel locomotor behaviour. Our use of simulated field conditions provides new hypotheses regarding the field activity of adult P. xylostella. Follow-up studies may link our results to temporal aspects of integrated pest management strategies for P. xylostella, such as those involving chemical treatments and trapping [,,,,].
Supplementary Materials
The following supporting information can be downloaded at: https://www.mdpi.com/article/10.3390/insects16020182/s1, Figure S1: Comparative analysis of per and tim L/D and D/D transcript rhythms by cosine fitting; Table S1: Comparative analysis of per and tim L/D and D/D transcript rhythms by ANOVA; Figure S2: Locomotor behavioural analysis of adult female P. xylostella under different lighting conditions; Table S2: Periodogram analysis for adult female P. xylostella locomotor rhythms; Table S3: Comparative analysis adult male and female locomotor rhythms by cosine fitting; Figure S3: Phase-associated locomotor activity differences; Figure S4: Adult male P. xylostella in 20 °C under 12/12 and D/D light conditions; Figure S5: June and April mimic light and temperature profiles.
Author Contributions
Conceptualization, supervision, project administration, resources and funding acquisition H.W. and H.O.; Author Contributions: methodology, writing—original draft preparation, writing—review and editing, C.J.T., H.W. and H.O.; investigation, software, C.J.T., S.M., L.S. and H.W.; validation, formal analysis, data curation, visualisation C.J.T. and H.W. All authors have read and agreed to the published version of the manuscript.
Funding
C.J.T. and L.S. were funded by the SPITFIRE NERC Doctoral Training Partnership Training Grant NE/L002531/1, while S.M. received funding from the SoCoBio BBSRC Doctoral Training Partnership Training Grant BB/T008768/1.
Institutional Review Board Statement
Not applicable.
Data Availability Statement
All data are available in this paper.
Acknowledgments
We wish to thank the Invertebrate and Plant Growth facilities of the School of Biological Sciences at the University of Southampton as well as the associated technical staff for their support as well as the peer reviewers of our manuscript.
Conflicts of Interest
C.J.T. is presently employed by Syngenta Crop Protection, Bracknell, UK.
References
- Cribb, J.; De, G. The Coming Famine: The Global Food Crisis and What We Can Do to Avoid It, 1st ed.; University of California Press: Berkeley, CA, USA, 2010. [Google Scholar]
- Ericksen, P.J.; Ingram, J.S.I.; Liverman, D.M. Food security and global environmental change: Emerging challenges. Environ. Sci. Policy 2009, 12, 373–377. [Google Scholar] [CrossRef]
- Bradshaw, C.J.A.; Leroy, B.; Bellard, C.; Roiz, D.; Albert, C.; Fournier, A.; Barbet-Massin, M.; Salles, J.-M.; Simard, F.; Courchamp, F. Massive yet grossly underestimated global costs of invasive insects. Nat. Commun. 2016, 7, 12986. [Google Scholar] [CrossRef]
- Early, R.; Bradley, B.A.; Dukes, J.S.; Lawler, J.J.; Olden, J.D.; Blumenthal, D.M.; Gonzalez, P.; Grosholz, E.D.; Ibañez, I.; Miller, L.P.; et al. Global threats from invasive alien species in the twenty-first century and national response capacities. Nat. Commun. 2016, 7, 12485. [Google Scholar] [CrossRef] [PubMed]
- Paini, D.R.; Sheppard, A.W.; Cook, D.C.; De Barro, P.J.; Worner, S.P.; Thomas, M.B. Global threat to agriculture from invasive species. Proc. Natl. Acad. Sci. USA 2016, 113, 7575–7579. [Google Scholar] [CrossRef]
- Deutsch, C.A.; Tewksbury, J.J.; Tigchelaar, M.; Battisti, D.S.; Merrill, S.C.; Huey, R.B.; Naylor, R.L. Increase in crop losses to insect pests in a warming climate. Science 2018, 361, 916–919. [Google Scholar] [CrossRef]
- Savary, S.; Willocquet, L.; Pethybridge, S.J.; Esker, P.; McRoberts, N.; Nelson, A. The global burden of pathogens and pests on major food crops. Nat. Ecol. Evol. 2019, 3, 430–439. [Google Scholar] [CrossRef]
- Talekar, N.; Shelton, A. Biology, Ecology, and Management of the Diamondback Moth. Annu. Rev. Entomol. 1993, 38, 275–301. [Google Scholar] [CrossRef]
- Furlong, M.J.; Wright, D.J.; Dosdall, L.M. Diamondback moth ecology and management: Problems, progress, and prospects. Annu. Rev. Entomol. 2013, 58, 517–541. [Google Scholar] [CrossRef] [PubMed]
- Ratzka, A.; Vogel, H.; Kliebenstein, D.J.; Mitchell-Olds, T.; Kroymann, J. Disarming the mustard oil bomb. Proc. Natl. Acad. Sci. USA 2002, 99, 11223–11228. [Google Scholar] [CrossRef] [PubMed]
- Zalucki, M.P.; Shabbir, A.; Silva, R.; Adamson, D.; Shu-Sheng, L.; Furlong, M.J. Estimating the economic cost of one of the world’s major insect pests, Plutella xylostella (Lepidoptera: Plutellidae): Just how long is a piece of string? J. Econ. Entomol. 2012, 105, 1115–1129. [Google Scholar] [CrossRef] [PubMed]
- Jaleel, W.; Saeed, S.; Saeed, Q.; Naqqash, M.N.; Sial, M.U.; Aine, Q.U.; Yanyuan, L.; Rui, Z.; He, Y.; Lu, L. Effects of three different cultivars of cruciferous plants on the age-stage, two-sex life table traits of Plutella xylostella (L.) (Lepidoptera: Plutellidae). Entomol. Res. 2019, 49, 151–157. [Google Scholar] [CrossRef]
- Crafford, J.E.; Chown, S.L. The Introduction and Establishment of the Diamondback Moth (Plutella xylostella L., Plutellidae) on Marion Island. In Antarctic Ecosystems; Springer: Berlin/Heidelberg, Germany, 1990; pp. 354–358. [Google Scholar]
- Tabashnik, B.E.; Liu, Y.B.; Finson, N.; Masson, L.; Heckel, D.G. One gene in diamondback moth confers resistance to four Bacillus thuringiensis toxins. Proc. Natl. Acad. Sci. USA 1997, 94, 1640–1644. [Google Scholar] [CrossRef]
- Xia, X.; Yu, L.; Xue, M.; Yu, X.; Vasseur, L.; Gurr, G.M.; Baxter, S.W.; Lin, H.; Lin, J.; You, M. Genome-wide characterization and expression profiling of immune genes in the diamondback moth, Plutella xylostella (L.). Sci. Rep. 2015, 5, 9877. [Google Scholar] [CrossRef] [PubMed]
- Xia, X.; Sun, B.; Gurr, G.M.; Vasseur, L.; Xue, M.; You, M. Gut Microbiota Mediate Insecticide Resistance in the Diamondback Moth, Plutella xylostella (L.). Front. Microbiol. 2018, 9, 25. [Google Scholar] [CrossRef]
- Srinivasan, K.; Moorthy, P.N.K. Development and Adoption of Integrated Pest Management for Major Pests of Cabbage Using Indian Mustard as a Trap Crop. In Management of Diamondback moth and other crucifer pests, Proceedings of the Second International Workshop on Diamondback moth Management, Tainan, Taiwan, 10–14 December 1992; Asian Vegetable Research and Development Center: Tainan, Taiwan, 1992. [Google Scholar]
- Verkerk, R.; Wright, D. Multitrophic interactions and management of the diamondback moth: A review. Bull. Entomol. Res. 1996, 86, 205–216. [Google Scholar] [CrossRef]
- Sayyed, A.H.; Rizvi, M.; Alvi, A.H.K. Management of Diamondback Moth, Plutella xylostella (Lepidoptera: Plutellidae): A Lesson from South East Asia for Sustainable Integrated Pest Management. Pak. J. Biol. Sci. 2002, 5, 234–245. [Google Scholar] [CrossRef]
- Birch, A.N.E.; Begg, G.S.; Squire, G.R. How agro-ecological research helps to address food security issues under new IPM and pesticide reduction policies for global crop production systems. J. Exp. Bot. 2011, 62, 3251–3261. [Google Scholar] [CrossRef] [PubMed]
- Philips, C.R.; Fu, Z.; Kuhar, T.P.; Shelton, A.M.; Cordero, R.J. Natural History, Ecology, and Management of Diamondback Moth (Lepidoptera: Plutellidae), With Emphasis on the United States. J. Integr. Pest Manag. 2014, 5, D1–D11. [Google Scholar] [CrossRef]
- Sarfraz, M.; Dosdall, L.M.; Keddie, B.A. Resistance of Some Cultivated Brassicaceae to Infestations by Plutella xylostella (Lepidoptera: Plutellidae). J. Econ. Entomol. 2007, 100, 215–224. [Google Scholar] [CrossRef]
- Norton, G.W.; Heinrichs, E.A.; Luther, G.C.; Irwin, M.E. Globalizing Integrated Pest Management: A Participatory Research Process; Wiley: Hoboken, NJ, USA, 2008. [Google Scholar]
- Uthamasamy; Kannan, M.; Kannan, S.; Arumugam, J. Status, Damage Potential of Diamondback Moth, Plutella xylostella (L.) in Tamil Nadu, India. In Proceedings of the Sixth International Workshop on Management of the Diamondback Moth and Other Crucifer Insect Pests, Nakhon Pathom, Thailand, 21–25 March 2011; Asian Vegetable Research and Development Center: Tainan, Taiwan, 2011. [Google Scholar]
- Foster, D.L.; Ebling, F.J.; Claypool, L.E. Timing of puberty by photoperiod. Reprod. Nutr. Dev. (1980) 1988, 28, 349–364. [Google Scholar] [CrossRef] [PubMed]
- Cook, S.; Khan, Z.; Pickett, J. The Use of Push-Pull Strategies in Integrated Pest Management. Annu. Rev. Entomol. 2007, 52, 375–400. [Google Scholar] [CrossRef]
- de França, S.M.; Breda, M.O.; Badji, C.A.; de Oliveira, J.V. The Use of Behavioral Manipulation Techniques on Synthetic Insecticides Optimization. In Insecticides; Stanislav, T., Ed.; IntechOpen: Rijeka, Yugoslavia, 2013; Ch. 6. [Google Scholar]
- Pittendrigh, C.S. Temporal organization: Reflections of a Darwinian clock-watcher. Annu. Rev. Physiol. 1993, 55, 16–54. [Google Scholar] [CrossRef]
- Foster, R.G.; Kreitzman, L. Rhythms of life: The biological clocks that control the daily lives of every living thing. In Rhythms of Life: The Biological Clocks That Control the Daily Lives of Every Living Thing; Profile Books: London, UK, 2005; pp. 1–278. [Google Scholar]
- Zeng, H.; Qian, Z.; Myers, M.P.; Rosbash, M. A light-entrainment mechanism for the Drosophila circadian clock. Nature 1996, 380, 129–135. [Google Scholar] [CrossRef]
- Huang, R.C. The discoveries of molecular mechanisms for the circadian rhythm: The 2017 Nobel Prize in Physiology or Medicine. Biomed. J. 2018, 41, 5–8. [Google Scholar] [CrossRef]
- Zhu, H.; Yuan, Q.; Briscoe, A.D.; Froy, O.; Casselman, A.; Reppert, S.M. The two CRYs of the butterfly. Curr. Biol. 2005, 15, R953–R954. [Google Scholar] [CrossRef]
- Zhu, H.; Sauman, I.; Yuan, Q.; Casselman, A.; Emery-Le, M.; Emery, P.; Reppert, S.M. Cryptochromes define a novel circadian clock mechanism in monarch butterflies that may underlie sun compass navigation. PLoS Biol. 2008, 6, e4. [Google Scholar] [CrossRef] [PubMed]
- Zhang, R.; Lahens, N.F.; Ballance, H.I.; Hughes, M.E.; Hogenesch, J.B. A circadian gene expression atlas in mammals: Implications for biology and medicine. Proc. Natl. Acad. Sci. USA 2014, 111, 16219–16224. [Google Scholar] [CrossRef]
- Michael, T.P.; McClung, C.R. Enhancer trapping reveals widespread circadian clock transcriptional control in Arabidopsis. Plant Physiol. 2003, 132, 629–639. [Google Scholar] [CrossRef] [PubMed]
- Janszky, I.; Ljung, R. Shifts to and from Daylight Saving Time and Incidence of Myocardial Infarction. N. Engl. J. Med. 2008, 359, 1966–1968. [Google Scholar] [CrossRef]
- Kim, S.-G.; Yon, F.; Gaquerel, E.; Gulati, J.; Baldwin, I.T. Tissue Specific Diurnal Rhythms of Metabolites and Their Regulation during Herbivore Attack in a Native Tobacco, Nicotiana attenuata. PLoS ONE 2011, 6, e26214. [Google Scholar] [CrossRef]
- Scheiermann, C.; Kunisaki, Y.; Frenette, P.S. Circadian control of the immune system. Nat. Rev. Immunol. 2013, 13, 190–198. [Google Scholar] [CrossRef]
- Curtis, A.M.; Bellet, M.M.; Sassone-Corsi, P.; O’Neill, L.A. Circadian clock proteins and immunity. Immunity 2014, 40, 178–186. [Google Scholar] [CrossRef]
- Sauman, I.; Hashimi, H. Insect Clocks: What Are They Telling Us Besides Time? Entomol. Sci. 1999, 2, 589–596. [Google Scholar]
- Froy, O.; Gotter, A.L.; Casselman, A.L.; Reppert, S.M. Illuminating the circadian clock in monarch butterfly migration. Science 2003, 300, 1303–1305. [Google Scholar] [CrossRef]
- Robart, A.R.; McGuire, M.M.K.; Watts, H.E. Increasing photoperiod stimulates the initiation of spring migratory behaviour and physiology in a facultative migrant, the pine siskin. R. Soc. Open Sci. 2018, 5, 180876. [Google Scholar] [CrossRef] [PubMed]
- Sockman, K.W.; Hurlbert, A.H. How the effects of latitude on daylight availability may have influenced the evolution of migration and photoperiodism. Funct. Ecol. 2020, 34, 1752–1766. [Google Scholar] [CrossRef]
- Klinner, T.; Schmaljohann, H. Temperature change is an important departure cue in nocturnal migrants: Controlled experiments with wild-caught birds in a proof-of-concept study. Proc. Biol. Sci. 2020, 287, 20201650. [Google Scholar] [CrossRef]
- Burnside, R.J.; Salliss, D.; Collar, N.J.; Dolman, P.M. Birds use individually consistent temperature cues to time their migration departure. Proc. Natl. Acad. Sci. USA 2021, 118, e2026378118. [Google Scholar] [CrossRef]
- Honda, K.-i. Hibernation and Migration of Diamondback Moth in Northern Japan. 2003. Available online: https://www.semanticscholar.org/paper/Hibernation-and-Migration-of-Diamondback-Moth-in-Honda/d349b52cc4c7804254973e79d07150336c5ef947 (accessed on 30 December 2024).
- Campos, W.G.; Schoereder, J.H.; DeSouza, O.F. Seasonality in neotropical populations of Plutella xylostella (Lepidoptera): Resource availability and migration. Popul. Ecol. 2006, 48, 151–158. [Google Scholar] [CrossRef]
- Campos, W.G. Photoperiodism and seasonality in neotropical population of Plutella xylostella L. (Lepidoptera: Yponomeutidae). Neotrop. Entomol. 2008, 37, 365–369. [Google Scholar] [CrossRef]
- Wang, D.; Yang, G.; Chen, W. Diel and Circadian Patterns of Locomotor Activity in the Adults of Diamondback Moth (Plutella xylostella). Insects 2021, 12, 727. [Google Scholar] [CrossRef]
- Pfeiffenberger, C.; Lear, B.C.; Keegan, K.P.; Allada, R. Locomotor activity level monitoring using the Drosophila Activity Monitoring (DAM) System. Cold Spring Harb. Protoc. 2010, 2010, pdb.prot5518. [Google Scholar] [CrossRef]
- Tahoe, N.M.; Mokhtarzadeh, A.; Curtsinger, J.W. Age-related RNA decline in adult Drosophila melanogaster. J. Gerontol. A Biol. Sci. Med. Sci. 2004, 59, B896–B901. [Google Scholar] [CrossRef] [PubMed]
- Gibson, U.E.; Heid, C.A.; Williams, P.M. A novel method for real time quantitative RT-PCR. Genome Res. 1996, 6, 995–1001. [Google Scholar] [CrossRef]
- Schmittgen, T.D.; Livak, K.J. Analyzing real-time PCR data by the comparative CT method. Nat. Protoc. 2008, 3, 1101–1108. [Google Scholar] [CrossRef] [PubMed]
- Untergasser, A.; Nijveen, H.; Rao, X.; Bisseling, T.; Geurts, R.; Leunissen, J.A. Primer3Plus, an enhanced web interface to Primer3. Nucleic Acids Res. 2007, 35, W71–W74. [Google Scholar] [CrossRef] [PubMed]
- Ye, J.; Coulouris, G.; Zaretskaya, I.; Cutcutache, I.; Rozen, S.; Madden, T.L. Primer-BLAST: A tool to design target-specific primers for polymerase chain reaction. BMC Bioinform. 2012, 13, 134. [Google Scholar] [CrossRef] [PubMed]
- Bustin, S.; Benes, V.; Garson, J.; Hellemans, J.; Huggett, J.; Mueller, R.; Nolan, T.; Shipley, G.; Vandesompele, J.; Wittwer, C. The MIQE Guidelines: Minimum Information for Publication of Quantitative Real-Time PCR Experiments. Clin. Chem. 2009, 55, 611–622. [Google Scholar] [CrossRef] [PubMed]
- Fu, W.; Xie, W.; Zhang, Z.; Wang, S.; Wu, Q.; Liu, Y.; Zhou, X.; Zhou, X.; Zhang, Y. Exploring valid reference genes for quantitative real-time PCR analysis in Plutella xylostella (Lepidoptera: Plutellidae). Int. J. Biol. Sci. 2013, 9, 792–802. [Google Scholar] [CrossRef] [PubMed]
- Ho, J.; Tumkaya, T.; Aryal, S.; Choi, H.; Claridge-Chang, A. Moving beyond P values: Data analysis with estimation graphics. Nat. Methods 2019, 16, 565–566. [Google Scholar] [CrossRef]
- Parsons, R.; Parsons, R.; Garner, N.; Oster, H.; Rawashdeh, O. CircaCompare: A method to estimate and statistically support differences in mesor, amplitude and phase, between circadian rhythms. Bioinformatics 2019, 36, 1208–1212. [Google Scholar] [CrossRef]
- Wheeler, D.A.; Hamblen-Coyle, M.J.; Dushay, M.S.; Hall, J.C. Behavior in light-dark cycles of Drosophila mutants that are arrhythmic, blind, or both. J. Biol. Rhythm. 1993, 8, 67–94. [Google Scholar] [CrossRef]
- Shaw, B.; Fountain, M.; Wijnen, H. Control of Daily Locomotor Activity Patterns in Drosophila suzukii by the Circadian Clock, Light, Temperature and Social Interactions. J. Biol. Rhythm. 2019, 34, 463–481. [Google Scholar] [CrossRef] [PubMed]
- Merlin, C.; Gegear, R.J.; Reppert, S.M. Antennal circadian clocks coordinate sun compass orientation in migratory monarch butterflies. Science 2009, 325, 1700–1704. [Google Scholar] [CrossRef]
- Kobelková, A.; Závodská, R.; Sauman, I.; Bazalová, O.; Dolezel, D. Expression of clock genes period and timeless in the central nervous system of the Mediterranean flour moth, Ephestia kuehniella. J. Biol. Rhythm. 2015, 30, 104–116. [Google Scholar] [CrossRef] [PubMed]
- Zhang, J.; Li, S.; Li, W.; Chen, Z.; Guo, H.; Liu, J.; Xu, Y.; Xiao, Y.; Zhang, L.; Arunkumar, K.P.; et al. Circadian regulation of night feeding and daytime detoxification in a formidable Asian pest Spodoptera litura. Commun. Biol. 2021, 4, 286. [Google Scholar] [CrossRef] [PubMed]
- Yan, S.; Liu, Y.J.; Zhu, J.L.; Cui, W.N.; Zhang, X.F.; Yang, Y.H.; Liu, X.M.; Zhang, Q.W.; Liu, X.X. Daily expression of two circadian clock genes in compound eyes of Helicoverpa armigera: Evidence for peripheral tissue circadian timing. Insect Sci. 2019, 26, 217–228. [Google Scholar] [CrossRef]
- Sauman, I.; Reppert, S.M. Circadian clock neurons in the silkmoth Antheraea pernyi: Novel mechanisms of Period protein regulation. Neuron 1996, 17, 889–900. [Google Scholar] [CrossRef]
- Iwai, S.; Fukui, Y.; Fujiwara, Y.; Takeda, M. Structure and expressions of two circadian clock genes, period and timeless in the commercial silkmoth, Bombyx mori. J. Insect Physiol. 2006, 52, 625–637. [Google Scholar] [CrossRef]
- Kawahara, A.Y.; Breinholt, J.W. Phylogenomics provides strong evidence for relationships of butterflies and moths. Proc. R. Soc. B Biol. Sci. 2014, 281, 20140970. [Google Scholar] [CrossRef]
- Kawahara, A.; Plotkin, D.; Hamilton, C.; Gough, H.; St Laurent, R.; Owens, H.; Homziak, N.; Barber, J. Diel behavior in moths and butterflies: A synthesis of data illuminates the evolution of temporal activity. Org. Divers. Evol. 2017, 18, 13–27. [Google Scholar] [CrossRef]
- Brady, D.; Saviane, A.; Cappellozza, S.; Sandrelli, F. The Circadian Clock in Lepidoptera. Front. Physiol. 2021, 12, 776826. [Google Scholar] [CrossRef] [PubMed]
- Broadhead, G.T.; Basu, T.; von Arx, M.; Raguso, R.A. Diel rhythms and sex differences in the locomotor activity of hawkmoths. J. Exp. Biol. 2017, 220, 1472–1480. [Google Scholar] [CrossRef]
- Truman, J.W.; Riddiford, L.M. Physiology of insect rhythms. 3. The temporal organization of the endocrine events underlying pupation of the tobacco hornworm. J. Exp. Biol. 1974, 60, 371–382. [Google Scholar] [CrossRef]
- Závodská, R.; Fexová, S.; von Wowern, G.; Han, G.B.; Dolezel, D.; Sauman, I. Is the sex communication of two pyralid moths, Plodia interpunctella and Ephestia kuehniella, under circadian clock regulation? J. Biol. Rhythm. 2012, 27, 206–216. [Google Scholar] [CrossRef]
- Stoleru, D.; Peng, Y.; Agosto, J.; Rosbash, M. Coupled oscillators control morning and evening locomotor behaviour of Drosophila. Nature 2004, 431, 862–868. [Google Scholar] [CrossRef]
- Clark, A.H. Nocturnal animals. J. Wash. Acad. Sci. 1914, 4, 139–142. [Google Scholar]
- Daily, G.C.; Ehrlich, P.R. Nocturnality and species survival. Proc. Natl. Acad. Sci. USA 1996, 93, 11709–11712. [Google Scholar] [CrossRef] [PubMed]
- Longcore, T.; Rich, C. Ecological light pollution. Front. Ecol. Environ. 2004, 2, 191–198. [Google Scholar] [CrossRef]
- Nemec, S.J. Use of Artificial Lighting to Reduce Heliothis spp. Populations in Cotton Fields. J. Econ. Entomol. 1969, 62, 1138–1140. [Google Scholar] [CrossRef]
- Sower, L.L.; Shorey, H.H.; Gaston, L.K. Sex Pheromones of Noctuid Moths. XXI. Light: Dark Cycle Regulation and Light Inhibition of Sex Pheromone Release by Females of Trichoplusia ni1,2. Ann. Entomol. Soc. Am. 1970, 63, 1090–1092. [Google Scholar] [CrossRef]
- Svensson, A.M.; Rydell, J. Mercury vapour lamps interfere with the bat defence of tympanate moths (Operophtera spp.; Geometridae). Anim. Behav. 1998, 55, 223–226. [Google Scholar] [CrossRef] [PubMed][Green Version]
- Pivnick, K.A.; Jarvis, B.J.; Gillott, C.; Slater, G.P.; Underhill, E.W. Daily Patterns of Reproductive Activity and the Influence of Adult Density and Exposure to Host Plants on Reproduction in the Diamondback Moth (Lepidoptera: Plutellidae). Environ. Entomol. 1990, 19, 587–593. [Google Scholar] [CrossRef]
- De Kerckhove, D.; Shuter, B.; Abrams, P. Crepuscular Foraging: Do Big Meals Over Small Time Periods Lead to Stable Foraging Rates? 142nd Annual Meeting of the American Fisheries Society: St. Paul, MN, USA, 2012.
- Cirelli, C.; Bushey, D. Sleep and wakefulness in Drosophila melanogaster. Ann. N. Y Acad. Sci. 2008, 1129, 323–329. [Google Scholar] [CrossRef]
- Deboer, T. Sleep homeostasis and the circadian clock: Do the circadian pacemaker and the sleep homeostat influence each other’s functioning? Neurobiol. Sleep. Circadian Rhythm. 2018, 5, 68–77. [Google Scholar] [CrossRef] [PubMed]
- Chapman, J.; Reynolds, D.; Smith, A.; Riley, J.; Pedgley, D.; Woiwod, I. High-altitude migration of the diamondback moth Plutella xylostella to the U.K.: A study using radar, aerial netting, and ground trapping. Ecol. Entomol. 2002, 27, 641–650. [Google Scholar] [CrossRef]
- Ke, F.; You, S.; Huang, S.; Chen, W.; Liu, T.; He, W.; Xie, D.; Li, Q.; Lin, X.; Vasseur, L.; et al. Herbivore range expansion triggers adaptation in a subsequently-associated third trophic level species and shared microbial symbionts. Sci. Rep. 2019, 9, 10314. [Google Scholar] [CrossRef]
- Emery, P.; Stanewsky, R.; Hall, J.C.; Rosbash, M. A unique circadian-rhythm photoreceptor. Nature 2000, 404, 456–457. [Google Scholar] [CrossRef] [PubMed]
- Chen, S.P.; Wang, D.F.; Ma, W.F.; Lin, X.L.; Yang, G. Knockout of cryptochrome 1 disturbs the locomotor circadian rhythm and development of Plutella xylostella. Insect Sci. 2023, 30, 1035–1045. [Google Scholar] [CrossRef] [PubMed]
- Hoballah, M.E.; Stuurman, J.; Turlings, T.C.; Guerin, P.M.; Connétable, S.; Kuhlemeier, C. The composition and timing of flower odour emission by wild Petunia axillaris coincide with the antennal perception and nocturnal activity of the pollinator Manduca sexta. Planta 2005, 222, 141–150. [Google Scholar] [CrossRef]
- Goodspeed, D.; Chehab, E.W.; Min-Venditti, A.; Braam, J.; Covington, M.F. Arabidopsis synchronizes jasmonate-mediated defense with insect circadian behavior. Proc. Natl. Acad. Sci. USA 2012, 109, 4674–4677. [Google Scholar] [CrossRef] [PubMed]
- Lee, S.; Lee, D.-W.; Boo, K.S. Sex Pheromone Composition of the Diamondback Moth, Plutella xylost el la (L) in Korea. J. Asia-Pac. Entomol. 2005, 8, 243–248. [Google Scholar] [CrossRef]
- Bradshaw, W.E.; Holzapfel, C.M. What season is it anyway? Circadian tracking vs. photoperiodic anticipation in insects. J. Biol. Rhythm. 2010, 25, 155–165. [Google Scholar] [CrossRef] [PubMed]
- Reppert, S.M.; de Roode, J.C. Demystifying Monarch Butterfly Migration. Curr. Biol. 2018, 28, R1009–R1022. [Google Scholar] [CrossRef]
- Coulson, S.; Hodkinson, I.; Webb, N.; Mikkola, K.; Harrison, J.A.; Pedgley, D. Aerial colonization of high Arctic islands by invertebrates: The diamondback moth Plutella xylostella (Lepidoptera: Yponomeutidae) as a potential indicator species. Divers. Distrib. 2002, 8, 327–334. [Google Scholar] [CrossRef]
- Campos, W.; Schoereder, J.; Sperber, C. Does the age of the host plant modulate migratory activity of Plutella xylostella? Entomol. Sci. 2004, 7, 323–329. [Google Scholar] [CrossRef]
- Niepoth, N.; Ke, G.; de Roode, J.C.; Groot, A.T. Comparing Behavior and Clock Gene Expression between Caterpillars, Butterflies, and Moths. J. Biol. Rhythm. 2018, 33, 52–64. [Google Scholar] [CrossRef] [PubMed]
- Sehgal, A.; Rothenfluh-Hilfiker, A.; Hunter-Ensor, M.; Chen, Y.; Myers, M.P.; Young, M.W. Rhythmic expression of timeless: A basis for promoting circadian cycles in period gene autoregulation. Science 1995, 270, 808–810. [Google Scholar] [CrossRef] [PubMed]
- Hardin, P.E.; Hall, J.C.; Rosbash, M. Feedback of the Drosophila period gene product on circadian cycling of its messenger RNA levels. Nature 1990, 343, 536–540. [Google Scholar] [CrossRef] [PubMed]
- Furlong, M.J.; Pell, J.K.; Pek Choo, O.; Abdul Rahman, S. Field and laboratory evaluation of a sex pheromone trap for the autodissemination of the fungal entomopathogen Zoophthora radicans (Entomophthorales) by the diamondback moth, Plutella xylostella (Lepidoptera: Yponomeutidae). Bull. Entomol. Res. 1995, 85, 331–337. [Google Scholar] [CrossRef]
- Hamby, K.A.; Kwok, R.S.; Zalom, F.G.; Chiu, J.C. Integrating Circadian Activity and Gene Expression Profiles to Predict Chronotoxicity of Drosophila suzukii Response to Insecticides. PLoS ONE 2013, 8, e68472. [Google Scholar] [CrossRef] [PubMed]
- Khyati; Malik, I.; Seth, R. Insect clocks: Implication in an effective pest management. Biol. Rhythm. Res. 2017, 48, 777–788. [Google Scholar] [CrossRef]
- Li, P.; Zhu, J.; Qin, Y. Enhanced attraction of Plutella xylostella (Lepidoptera: Plutellidae) to pheromone-baited traps with the addition of green leaf volatiles. J. Econ. Entomol. 2012, 105, 1149–1156. [Google Scholar] [CrossRef] [PubMed]
Disclaimer/Publisher’s Note: The statements, opinions and data contained in all publications are solely those of the individual author(s) and contributor(s) and not of MDPI and/or the editor(s). MDPI and/or the editor(s) disclaim responsibility for any injury to people or property resulting from any ideas, methods, instructions or products referred to in the content. |
© 2025 by the authors. Licensee MDPI, Basel, Switzerland. This article is an open access article distributed under the terms and conditions of the Creative Commons Attribution (CC BY) license (https://creativecommons.org/licenses/by/4.0/).