Transcriptome Analysis Provides Insights into Water Immersion Promoting the Decocooning of Osmia excavata Alfken
Abstract
Simple Summary
Abstract
1. Introduction
2. Materials and Methods
2.1. Experimental Insects and Influence of WI on O. excavata Decocooning
2.2. Transcriptome Samples
2.3. RNA Extraction, Library Construction, and Transcriptomic Sequencing
2.4. Differential Expression Analysis
2.5. Sample Correlation Analysis
2.6. GO and KEGG Enrichment Analysis
2.7. Statistical Analysis
3. Results
3.1. Influence of WI on Decocooning
3.2. High-Throughput Sequencing Results
3.3. Principal Component Analysis (PCA)
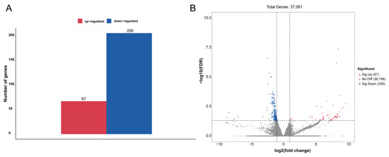
3.4. DEGs in Response to WI
3.5. GO Enrichment Analysis Results of DEGs
3.6. KEGG Pathways Associated with the DEGs
4. Discussion
5. Conclusions
Supplementary Materials
Author Contributions
Funding
Data Availability Statement
Acknowledgments
Conflicts of Interest
References
- Men, X.Y.; Li, L.L.; Lu, Z.B.; Ouyang, F.; Liu, L.; Xu, H.; Yu, Y. Biological characteristics and pollination service of Mason bee. Chin. J. Appl. Entomol. 2018, 55, 973–983. [Google Scholar] [CrossRef]
- Shu, G.W.; Ren, W.; Smirle, M.J.; Huan, L.X. Release of Osmia excavata and Osmia jacoti (Hymenoptera: Megachilidae) for apple pollination. Can. Entomol. 2002, 134, 369–380. [Google Scholar] [CrossRef]
- He, W.Z.; Zhou, W.R. Study on the effect of Osmia excavata Alfken, Italy bee and artificial pollination on apple pollination. Apicult. Chin. 2009, 60, 9–11. [Google Scholar]
- Liu, L.; Li, L.L.; Ouyang, F.; Li, C.; Yu, Y.; Ou, C.H.; Ou, Z.; Men, X.Y.; Ye, B.H. Fruit-setting and yield increase for pear pollination by Osmia excavata Alfken and evaluation of economic value in Shandong Province. Bull. Agric. Sci. Technol. 2019, 8, 233–236. [Google Scholar]
- Liu, L.; Li, L.L.; Ouyang, F.; Li, C.; Yu, Y.; Qu, C.H.; Qu, Z.L.; Ye, B.H.; Men, X.Y. Fruit-setting, yield increase and economic value evaluation for cherry pollination by Osmia excavata Alfken in Shandong Province. Shandong Agric. Sci. 2019, 51, 125–128. [Google Scholar] [CrossRef]
- Li, M.E. The king of pollinators—“Osmia excavate”. Chin. Fruit Res. 1992, 3, 31. [Google Scholar]
- Gai, T.T.; Tong, X.L.; Han, M.J.; Li, C.L.; Fang, C.Y.; Zou, Y.L.; Hu, H.; Xiang, H.; Xiang, Z.H.; Lu, C.; et al. Cocoonase is indispensable for Lepidoptera insects breaking the sealed cocoon. PLoS Genet. 2020, 16, e1009004. [Google Scholar] [CrossRef] [PubMed]
- Lu, H.H.; Dou, F.Y.; Hao, Y.J.; Li, Y.; Zhang, K.; Zhang, H.; Zhou, Z.Y.; Zhu, C.D.; Huang, D.Y.; Luo, A. Metabarcoding analysis of pollen species foraged by Osmia excavata Alfken (Hymenoptera: Megachilidae) in China. Front. Ecol. Evol. 2021, 9, 730549. [Google Scholar] [CrossRef]
- Schiesari, L.; O’Connor, M.B. Diapause: Delaying the developmental clock in response to a changing environment. Curr. Top Dev. Biol. 2013, 105, 213–246. [Google Scholar] [CrossRef]
- Hand, S.C.; Denlinger, D.L.; Podrabsky, J.E.; Roy, R. Mechanisms of animal diapause: Recent developments from nematodes, crustaceans, insects, and fish. Am. J. Physiol. Regul. Integr. Comp. Physiol. 2016, 310, R1193–R1211. [Google Scholar] [CrossRef]
- Numata, H.; Shintani, Y. Diapause in univoltine and semivoltine life cycles. Annu. Rev. Entomol. 2023, 68, 257–276. [Google Scholar] [CrossRef]
- Krunić, M.D.; Stanisavljević, L.Z. Supercooling points and diapause termination in overwintering adults of orchard bees Osmia cornuta and O. rufa (Hymenoptera: Megachilidae). Bull. Entomol. Res. 2006, 96, 323–326. [Google Scholar] [CrossRef] [PubMed]
- Lyu, Z.Y.; Feng, M.; Nie, L.; Zhou, T.; Yu, K.; Li, L.L.; Men, X.Y.; Sun, M.; Yu, Y. Evaluation of the pollination efficiency of apple trees by Osmia excavata Alfken (Hymenoptera: Megachilidae). Neotrop. Entomol. 2024, 13. [Google Scholar] [CrossRef]
- Bosch, J.; Kemp, W.P. Effect of pre-wintering and wintering temperature regimes on weight loss, survival, and emergence time in the mason bee Osmia cornuta (Hymenoptera: Megachilidae). Apidologie 2004, 35, 469–479. [Google Scholar] [CrossRef]
- Wei, Y.P.; Yuan, R.; Zhang, Y.L.; Wang, Y.H. The reproductive characteristics of Osmia excavata Alfken. Acta Agric. Boreali-Occident. Sin. 2000, 3, 35–38. [Google Scholar]
- Zhang, Y.J. Key points of pollination technique for Nanguo pear by bees. Apicult. Chin. 2018, 69, 21. [Google Scholar]
- Wang, G.P.; Lin, L.H.; Xue, X.M.; Wang, J.Z.; Tao, J.H. Research and application progress of Osmia pollination techniques on apple in China. Deciduous Fruits 2018, 50, 25–28. [Google Scholar] [CrossRef]
- Wang, S.E. Living habits and pollination techniques of fruit trees of Osmia. Mod. Agric. Sci. Technol. 2017, 1, 88–90. [Google Scholar]
- Liang, N. A brief talk on the pollination of Osmia in fruit trees. Hebei Fruits 2020, 3, 49–50. [Google Scholar] [CrossRef]
- Martin, M. Cutadapt removes adapter sequences from high-throughput sequencing reads. Embnet. J. 2011, 17, 10–12. [Google Scholar] [CrossRef]
- Grabherr, M.G.; Haas, B.J.; Yassour, M.; Levin, J.Z.; Thompson, D.A.; Amit, I.; Adiconis, X.; Fan, L.; Raychowdhury, R.; Zeng, Q.D.; et al. Full-length transcriptome assembly from RNA-Seq data without a reference genome. Nat. Biotechnol. 2011, 29, 644–652. [Google Scholar] [CrossRef] [PubMed]
- Buchfink, B.; Xie, C.; Huson, D.H. Fast and sensitive protein alignment using DIAMOND. Nat. Methods 2015, 12, 59–60. [Google Scholar] [CrossRef] [PubMed]
- Patro, R.; Duggal, G.; Love, M.I.; Irizarry, R.A.; Kingsford, C. Salmon provides fast and bias-aware quantification of transcript expression. Nat. Methods 2017, 14, 417–419. [Google Scholar] [CrossRef] [PubMed]
- Mortazavi, A.; Williams, B.A.; McCue, K.; Schaeffer, L.; Wold, B. Mapping and quantifying mammalian transcriptomes by RNA-Seq. Nat. Methods 2008, 5, 621–628. [Google Scholar] [CrossRef] [PubMed]
- Robinson, M.D.; McCarthy, D.J.; Smyth, G.K. edgeR: A Bioconductor package for differential expression analysis of digital gene expression data. Bioinformatics 2010, 26, 139–140. [Google Scholar] [CrossRef]
- Chen, J.W.; Shao, J.J.; Zhao, S.F.; Lu, P.H.; Li, S.Y.; Yuan, H.; Ma, P.W.; Lun, Y.Q.; Wang, W.L.; Liang, R.; et al. Comparative transcriptome profiling reveals RNA splicing alterations and biological function in patients exposed to occupational noise. Environ. Sci. Pollut. Res. Int. 2023, 30, 107993–108004. [Google Scholar] [CrossRef]
- Dou, F.Y.; Li, H.Y.; Song, H.Y.; Kou, R.M.; Zhou, Z.Y.; Luo, A.R.; Huang, D.Y. A study on the nesting biology of Osmia excavata Alfken (Hymenoptera: Megachilidae). J. Environ. Entomol. 2022, 44, 184–193. [Google Scholar]
- Garbuz, D.G. Regulation of heat shock gene expression in response to stress. Mol. Biol. 2017, 51, 400–417. [Google Scholar] [CrossRef]
- Wu, Y.; Jin, C.X. Carbon dioxide and insects. Entomol. Knowl. 1993, 30, 314–317. [Google Scholar]
- Guerenstein, P.G.; Hildebrand, J.G. Roles and effects of environmental carbon dioxide in insect life. Annu. Rev. Entomol. 2008, 53, 161–178. [Google Scholar] [CrossRef]
- Seeley, T.D. Atmospheric carbon dioxide regulation in honey-bee (Apis mellifera) colonies. J. Insect Physiol. 1974, 20, 2301–2305. [Google Scholar] [CrossRef] [PubMed]
- Weidenmüller, A. The control of nest climate in bumblebee (Bombus terrestris) colonies: Interindividual variability and self reinforcement in fanning response. Behav. Ecol. 2004, 1, 120–128. [Google Scholar] [CrossRef]
- Liu, Y.; Wang, R.J.; Su, L.; Zhao, S.; Dai, X.Y.; Chen, H.; Wu, G.A.; Zhou, H.; Zheng, L.; Zhai, Y.F. Integrative proteomic and phosphoproteomic analyses revealed complex mechanisms underlying reproductive diapause in Bombus terrestris Queens. Insects 2022, 13, 862. [Google Scholar] [CrossRef] [PubMed]
- Faucher, C.; Forstreuter, M.; Hilker, M.; de Bruyne, M. Behavioral responses of Drosophila to biogenic levels of carbon dioxide depend on life-stage, sex and olfactory context. J. Exp. Biol. 2006, 209, 2739–2748. [Google Scholar] [CrossRef]
- Chi, Y.H.; Ahn, J.E.; Yun, D.J.; Lee, S.Y.; Liu, T.X.; Zhu-Salzman, K. Changes in oxygen and carbon dioxide environment alter gene expression of cowpea bruchids. J. Insect Physiol. 2011, 57, 220–230. [Google Scholar] [CrossRef]






Disclaimer/Publisher’s Note: The statements, opinions and data contained in all publications are solely those of the individual author(s) and contributor(s) and not of MDPI and/or the editor(s). MDPI and/or the editor(s) disclaim responsibility for any injury to people or property resulting from any ideas, methods, instructions or products referred to in the content. |
© 2024 by the authors. Licensee MDPI, Basel, Switzerland. This article is an open access article distributed under the terms and conditions of the Creative Commons Attribution (CC BY) license (https://creativecommons.org/licenses/by/4.0/).
Share and Cite
Wang, G.; Wang, G.; Li, J.; Ma, Y.; You, Y.; Zhou, Z.; Zhao, Y.; Men, X.; Song, Y.; Yu, Y. Transcriptome Analysis Provides Insights into Water Immersion Promoting the Decocooning of Osmia excavata Alfken. Insects 2024, 15, 288. https://doi.org/10.3390/insects15040288
Wang G, Wang G, Li J, Ma Y, You Y, Zhou Z, Zhao Y, Men X, Song Y, Yu Y. Transcriptome Analysis Provides Insights into Water Immersion Promoting the Decocooning of Osmia excavata Alfken. Insects. 2024; 15(4):288. https://doi.org/10.3390/insects15040288
Chicago/Turabian StyleWang, Guiping, Guangzhao Wang, Jiale Li, Yixiang Ma, Yinwei You, Zizhang Zhou, Yunhe Zhao, Xingyuan Men, Yingying Song, and Yi Yu. 2024. "Transcriptome Analysis Provides Insights into Water Immersion Promoting the Decocooning of Osmia excavata Alfken" Insects 15, no. 4: 288. https://doi.org/10.3390/insects15040288
APA StyleWang, G., Wang, G., Li, J., Ma, Y., You, Y., Zhou, Z., Zhao, Y., Men, X., Song, Y., & Yu, Y. (2024). Transcriptome Analysis Provides Insights into Water Immersion Promoting the Decocooning of Osmia excavata Alfken. Insects, 15(4), 288. https://doi.org/10.3390/insects15040288

