Simple Summary
Almost all insects demonstrate a wide variety of behavioral, physiological, biochemical and molecular circadian rhythms during their natural selection process. Some examples of the circadian rhythm in insects include the sleep–wake cycle, foraging time, migration and hormone fluctuation. Although the circadian rhythms of activities have been studied in several termite species, the molecular mechanisms of circadian rhythms in termites are unclear. In this study, we observed that, even in complete darkness, the termites Reticulitermes chinensis and Odontotermes formosanus showed clear circadian rhythms of locomotor activity. Knockdown of the clock genes cryptochrome 2 (Cry2) and period 1 (Per1) impaired the circadian rhythms of locomotor activity in constant darkness in the two termite species. We verified that locomotor activity in subterranean termites is controlled by the circadian clock. Thus, this study contributes to a better understanding of circadian clock mechanisms in subterranean insects.
Abstract
Locomotor activity rhythms are crucial for foraging, mating and predator avoidance in insects. Although the circadian rhythms of activity have been studied in several termite species, the molecular mechanisms of circadian rhythms in termites are still unclear. In this study, we found that two termite species, R. chinensis and O. formosanus, exhibited clear circadian rhythms of locomotor activity in constant darkness along with rhythmically expressed core clock genes, Cry2 and Per1. The knockdown of Cry2 or Per1 expression in the two termite species disrupted the circadian rhythms of locomotor activity and markedly reduced locomotor activity in constant darkness, which demonstrates that Cry2 and Per1 can mediate the circadian rhythms of locomotor activity in termites in constant darkness. We suggest that locomotor activity in subterranean termites is controlled by the circadian clock.
1. Introduction
Almost all insects demonstrate a wide variety of behavioral, physiological, molecular and biochemical circadian rhythms during their natural selection process [1]. In insects, circadian rhythms are observed in various forms, such as the sleep–wake cycle, foraging/mating time, migration, gene expression, hormone fluctuation and so on [2,3,4,5]. Over the past 30 years, the molecular mechanisms of circadian rhythms in insects have been extensively investigated [6]. At present, Drosophila is the primary model used in research on the molecular mechanisms of the circadian clock in insects [7,8,9]. In Drosophila, the endogenous circadian clock is driven primarily by positive and negative feedback loops that involve a series of circadian clock genes, such as period (Per), timeless (Tim), cryptochrome (Cry), cycle (Cyc), clock (Clk), double-time (Dbt), shaggy (Sgg), vrille (Vri), clockwork-orange (Cwo), etc. [10,11,12,13,14].
In insects and mammals, it is well recognized that Cry, Per and Tim play a vital role in the endogenous circadian clock pathway [15,16,17]. In the cockroach Blattella germanica, the knockdown of Cry2 severely disrupted the circadian rhythms of locomotor activity even in constant darkness (DD) [18]. Under a 12 h light:12 h dark cycle (LD), mice exhibited clear circadian rhythms of locomotor activity, whereas with a double knockout of Cry1/Cry2 in mice they exhibited no clear circadian rhythms of locomotor activity [19]. Similarly, mosquitoes show a rhythmicity of swarming to attract females for mating at certain times of the day [20], but knocking down the circadian clock genes Per and Tim disrupts male swarming behavior and limits their mating success [5]. In the cricket Gryllus bimaculatus, the knockdown of Per impaired the circadian rhythm of locomotor activity under DD conditions [21]. Thus, these examples indicate that the circadian clock genes Cry, Per and Tim can regulate the circadian rhythms of activities in insects and mammals. Notably, a recent study verified that Tim is lost in some social insects (nearly all termites) [22]. In addition, light intensity, temperature and social interactions regulate the circadian rhythms of behavior and physiology in insects [23,24,25,26,27]. Although the circadian rhythms of activities have been studied in several termite species (R. speratus, Macrotermes bellicosus, etc.) [28,29,30], the molecular mechanisms of circadian rhythm activity in subterranean termites are unclear.
The termites Reticulitermes chinensis and Odontotermes formosanus are widely distributed in China, especially in the area south of the Yangtze River [31]. These two termite species make excellent candidates for studying circadian rhythms due to their irrelevant visual cues [32,33]. In addition, the study of circadian rhythms in termites provides insight into the rhythmicity of subterranean insects and mammals. In order to investigate the behavioral and molecular mechanisms of activity rhythms in subterranean termites, we first tested the circadian rhythms of locomotor activity in the two termite species under different photoperiods. Second, we assessed the temporal expression patterns of clock genes in the heads of two termite species. Finally, we used RNA interference to analyze the influence of the clock genes Cry2 and Per1 on the circadian rhythms of locomotor activity in the two termite species.
2. Materials and Methods
2.1. Experimental Termites
We collected the termites R. chinensis and O. formosanus from Shizi Hill (Wuhan, China). The number of termite colonies used in this study is shown in Supplementary Tables S1 and S2. We transported these colonies of termites to the laboratory and then placed them in plastic boxes. Before the experiments, the termites were fed with pieces of moist filter paper for 3 days. Worker termites were used as experimental subjects in these experiments. The conditions for rearing the worker termites were as follows: 25 ± 1 °C and 70 ± 5% relative humidity (RH) in full darkness.
2.2. Measurement of Locomotor Activity
Termites were transferred to 9 cm Petri dishes (six worker termites per dish) with moist filter paper and then sealed with sealing film (it has been discovered in laboratories that moist filter paper can remain wet for more than 10 days). Before the experiments, termites were randomly divided into three different groups. One group was acclimated to constant darkness (DD) for 3 days, and the other two groups were acclimated to the light/dark cycle (LD, 12 L:12 D, illumination time 08:00–20:00 (Beijing Time, China); light intensity, 100 lux; irradiance, 0.62 W/m−2) or constant light (LL, light intensity, 100 lux; irradiance, 0.62 W/m−2) for 3 days, respectively (Figure 1A,B). During each experiment, we used a video camera with an infrared module (acA1920-40gc, Basler, Germany) to record the circadian rhythms of the locomotor activity of worker termites. The camera captured video at 25 frames/s, and video analysis was conducted using the Noldus EthoVision tracking system (EthoVision XT 14, Wageningen, Netherlands) [32,33,34]. The distances moved by worker termites were measured in different photoperiods (DD, LD or LL) for 48 h (Figure 1A,B). The conditions of the trials were as follows: 25 ± 1 °C and 70 ± 5% RH in infrared illumination [35].
Figure 1.
Experimental settings and tracking method for the termites. (A) Experimental setup of the quantitative system for analyzing behavior of termites. The video recordings were converted to mpeg format for analysis of the parameters using the EthoVision video tracking system. (B) Schematic diagram of the timeline for the behavioral assay.
2.3. Expression Patterns of Clock Genes
Expression patterns of clock genes (Cry2 and Per1) were observed at different times of the day (00:00, 04:00, 08:00, 12:00, 16:00 and 20:00) (Beijing Time, China) under DD and LD conditions by qRT-PCR. We extracted the total RNA from the heads of 10 worker termites using RNAiso Plus (Takara, Code No: 9109, Dalian, China). Then, we synthesized cDNA templates using total RNA at the concentration of one microgram according to the instructions of the PrimeScriptTM RT Reagent Kit with gDNA Eraser (Takara, Code No: RR047A, Dalian, China). Next, qRT-PCR was performed with the synthesized cDNA templates, gene-specific primers and SYBR Green Master Mix (High Rox Plus) (YEASEN, Code No: 11203ES08, Shanghai, China) using the QuantStudio 6&7 Flex Real-Time PCR System (Applied Biosystems, Life Technologies Italia, MA, USA). Finally, mRNA levels were quantified using three genes (β-actin, Hsp 70 or NADH) as the reference genes [32,35]. The primer sequences used for qRT-PCR are presented in Supplementary Table S3. The qRT-PCR data for the two clock genes Cry2 and Per1 were calculated via the 2−ΔΔCT method to analyze them [36].
2.4. Synthesis of dsRNA and Microinjection
Double-stranded Cry2 (dsCry2) and Per1 (dsPer1) were synthesized with the T7 transcription kit (Thermo Fisher Scientific, Code No: AM1354, MA, USA) according to the manufacturer’s instructions. Firstly, PCR was carried out using the plasmids as templates in combination with specific primers (See Supplementary Table S4). Subsequently, with the purified PCR products as templates, T7 RNA Polymerase was used to generate dsRNA in transcription reactions. Next, dsRNA was dissolved in diethyl pyrocarbonate water and quantified by the NanoDrop 2000 Spectrophotometer (Thermo Fisher Scientific, MA, USA). The dsRNA was subjected to 1% agarose gel, and the dsRNA solution was stored at −80 °C.
Two micrograms of dsRNA solution were injected into the side of the thorax in worker termites using a sterilized microinjector (World Precision Instruments, SYS-PV820, Florida, USA) [37,38]. Termites were placed on moist filter paper within 9 cm Petri dishes after dsRNA injection. Ten worker termites were collected for measuring the mRNA of Cry2 or Per1 three days and five days after injection. In addition, three days after injection, the locomotor activities of worker termites were recorded for 48 h. An equivalent solution of double-stranded green fluorescent protein (dsGFP) was injected in control groups [39].
2.5. Statistical Analysis
The rhythms of locomotor activity over a 48 h period were determined using the cosinor procedure (http://www.circadian.org/softwar.html, accessed on 13 November 2023) [40]. IBM SPSS Statistics 19.0 software was used to analyze the metric data. The normal distribution of the metric data was tested using the Shapiro–Wilk method. One-way analysis of variance (ANOVA) and Tukey’s HSD test were used to analyze the temporal expression levels of genes and walking distances. The abnormal distribution of the metric data was tested using the Wilcoxon signed-rank test and Mann–Whitney test. The Wilcoxon rank-sum test was used to analyze the expression of the targeted genes Cry2 or Per1 after injection. Locomotor activity during the subjective day and subjective night was evaluated using the Mann–Whitney test. The significance level was set as p < 0.05.
3. Results
3.1. Effects of Different Photoperiods on the Circadian Rhythms of Locomotor Activity in the Two Termite Species
We examined the effects of different photoperiods on the circadian rhythms of locomotor activity in the two termites R. chinensis and O. formosanus. We found that the termite R. chinensis exhibited a significant circadian rhythm of locomotor activity under DD conditions (p < 0.001) (Figure 2A). Similarly, the termite O. formosanus also exhibited a significant circadian rhythm of locomotor activity under DD conditions (p < 0.001) (Figure 3A). At the same time, the circadian periods of the two termites R. chinensis and O. formosanus were close to 24 h under DD conditions. However, under LD and LL conditions, the circadian rhythms of locomotor activity were abolished in the two termites R. chinensis (LD, p = 0.130; LL, p = 0.558) (Figure 2B,C) and O. formosanus (LD, p = 0.60; LL, p = 0.242) (Figure 3B,C).
Figure 2.
The circadian rhythms of locomotor activity in the termite R. chinensis under different photoperiods. (A–C) Locomotor activity of the termite R. chinensis under DD (n = 10) (A), LD (n = 9) (B) and LL (n = 9) (C) photoperiod conditions. The data in the figures are mean ± SEM, and the circadian rhythms of locomotor activity were analyzed using the cosinor procedure (A–C). (D) The total walking distances of the termite R. chinensis during a 48 h experimental period. The data in the figures are mean ± SEM, and different letters express significant differences according to Tukey’s HSD test (p < 0.05) (D). (E–G) The total walking distances of the termite R. chinensis in subjective day and subjective night under DD (E), LD (F) and LL (G) photoperiod conditions. The data represent mean ± SEM. Asterisks indicate significant differences determined by the Mann–Whitney test (** p < 0.01; *** p < 0.001) (E–G). The horizontal bars represent the light conditions during the experiment. White boxes represent light and black and gray boxes represent dark in (A–C).
Figure 3.
The circadian rhythms of locomotor activity in the termite O. formosanus under different photoperiods. (A–C) Locomotor activity of the termite O. formosanus under DD (n = 10) (A), LD (n = 9) (B) and LL (n = 9) (C) photoperiod conditions. The data in the figures are mean ± SEM, and the circadian rhythms of locomotor activity were analyzed using the cosinor procedure (A–C). (D) The total walking distances of the termite O. formosanus during a 48 h experimental period. The data in the figures are mean ± SEM, and different letters express significant differences according to Tukey’s HSD test (p < 0.05) (D). (E–G) The total walking distances of the termite O. formosanus in subjective day and subjective night under DD (E), LD (F) and LL (G) photoperiod conditions. The data represent mean ± SEM. Asterisks indicate significant differences determined by the Mann–Whitney test (*** p < 0.001) (E–G).
We also found that locomotor activity showed significant changes under different photoperiods in the two termites R. chinensis (ANOVA, F(2,25) = 285.21, p < 0.001) (Figure 2D) and O. formosanus (ANOVA, F(2,25) = 46.91, p < 0.001) (Figure 3D), and locomotor activity under DD conditions was significantly higher than that under LD and LL conditions in the two termite species. Moreover, locomotor activity during the subjective day was significantly higher than during the subjective night under DD conditions in the two termites R. chinensis (Mann–Whitney test, Z = −3.78, df = 20, p < 0.001) (Figure 2E) and O. formosanus (Mann–Whitney test, Z = −3.78, df = 20, p < 0.001) (Figure 3E). Under LD conditions, locomotor activity during the subjective day was significantly lower than during the subjective night in the termite R. chinensis (Mann–Whitney test, Z = −3.58, df = 18, p < 0.001) (Figure 2F), but there was no significant difference in daily active intensity in the termite O. formosanus (Mann–Whitney test, Z = −1.28, df = 18, p = 0.20) (Figure 3F). Under LL conditions, locomotor activity during the subjective day was significantly higher than during the subjective night in the termite R. chinensis (Mann–Whitney test, Z = −3.14, df = 18, p < 0.01) (Figure 2G), but locomotor activity during the subjective day was significantly lower than during the subjective night in the termite O. formosanus (Mann–Whitney test, Z = −3.58, df = 18, p < 0.001) (Figure 3G).
3.2. Cry2 and Per1 Temporal Expression under DD Conditions in the Two Termite Species
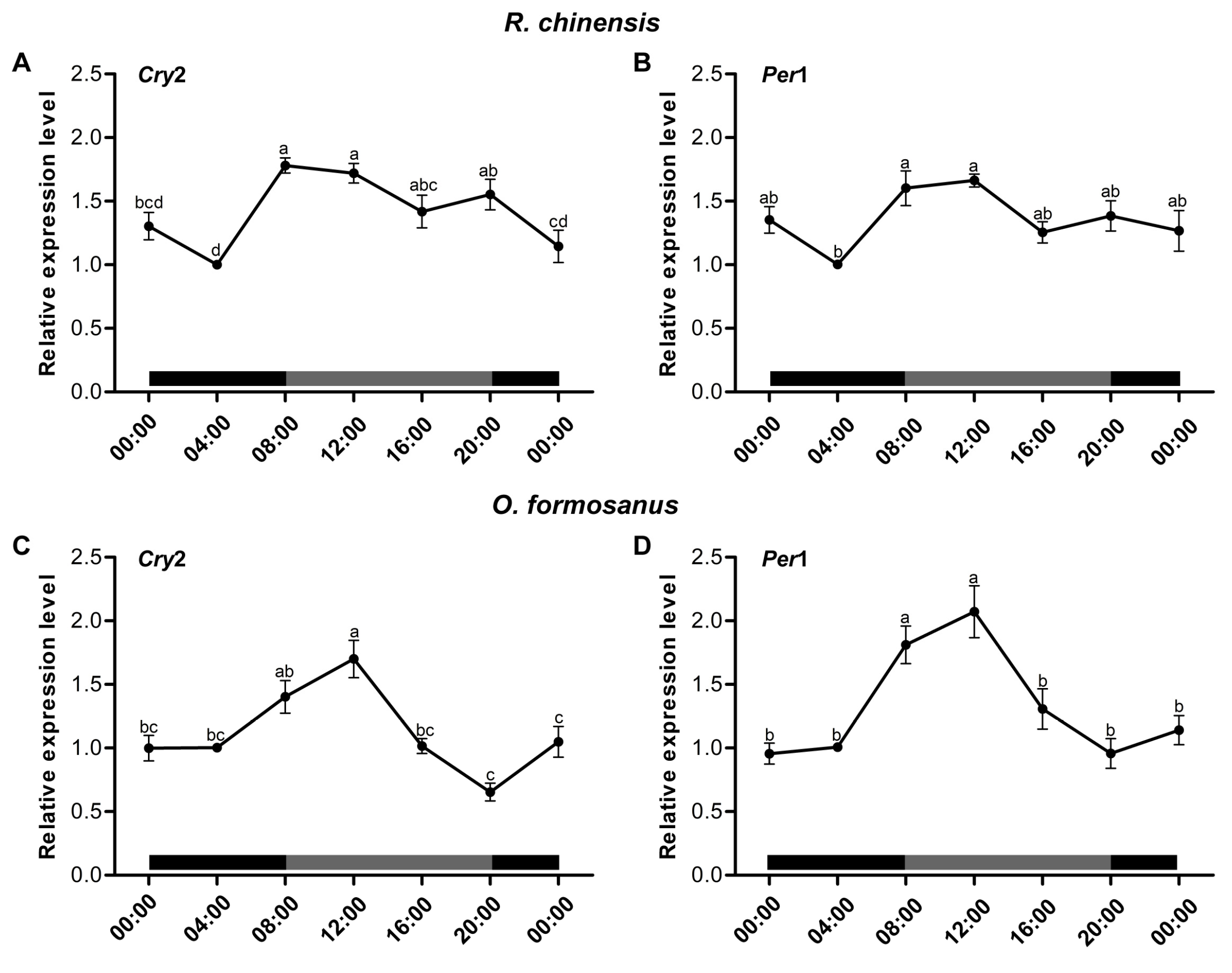
We assayed head Cry2 and Per1 mRNA abundance over time in the two termite species by qRT-PCR in DD and LD conditions. Under DD conditions, we found that the expression of Cry2 and Per1 in the termite R. chinensis showed significant differences at different times of the day (ANOVA, Cry2, F(6,49) = 8.67, p < 0.001; Per1, F(6,49) = 4.42, p < 0.001), and the expression of Cry2 and Per1 in R. chinensis showed peak levels at 08:00–12:00 and its lowest level at 04:00 (Figure 4A,B). In the termite O. formosanus, we also found that the expression of Cry2 and Per1 showed significant differences at different times of the day (ANOVA, Cry2, F(6,49) = 11.18, p < 0.001; Per1, F(6,49) = 11.40, p < 0.001), and the expression of Cry2 and Per1 in O. formosanus showed peak levels at 12: 00 and its lowest level at 20:00 (Figure 4C,D). In addition, under LD conditions, we found that the expression of Cry2 and Per1 in the termites R. chinensis (ANOVA, Cry2, F(6,56) = 0.56, p = 0.764; Per1, F(6,56) = 1.82, p = 0.112) and O. formosanus (ANOVA, Cry2, F(6,56) = 1.95, p = 0.089; Per1, F(6,56) = 2.24, p = 0.052) showed no significant differences at different times of the day (Supplementary Figure S1).
Figure 4.
The patterns of Cry2 and Per1 gene expression in two termite species. (A) The patterns of Cry2 expression in the termite R. chinensis under DD conditions (n = 8). (B) The patterns of Per1 expression in the termite R. chinensis under DD conditions (n = 8). (C) The patterns of Cry2 expression in the termite O. formosanus under DD conditions (n = 8). (D) The patterns of Per1 expression in the termite O. formosanus under DD conditions (n = 8). The data in the figures are the mean ± SEM, and different letters express significant differences according to Tukey’s HSD test (p < 0.05). The mRNA levels were normalized relative to the two termite species collected at 04:00. Gray and black bars represent subjective day and subjective night, respectively.
3.3. Cry2 and Per1 Knockdown Disrupted the Circadian Rhythms of Locomotor Activity under DD Conditions in the Two Termite Species
The injection of dsCry2 or dsPer1 caused a significant decrease in the Cry2 or Per1 mRNA level in the head of the termite R. chinensis (Wilcoxon signed-rank test, 3 days: Cry2, Z = −2.36, n = 7, p < 0.05; Per1, Z = −2.36, n = 7, p < 0.05; 5 days: Cry2, Z = −2.31, n = 4, p < 0.05; Per1, Z = −2.31, n = 4, p < 0.05) (Figure 5A,B), suggesting that Cry2 and Per1 were significantly knocked down 3 days and 5 days after injection. Similarly, the injection of dsCry2 or dsPer1 caused a significant decrease in Cry2 or Per1 mRNA level in the head of the termite O. formosanus (Wilcoxon signed-rank test, 3 days: Cry2, Z = −2.67, n = 9, p < 0.05; Per1, Z = −2.37, n = 7, p < 0.05; 5 days: Cry2, Z = −1.83, n = 4, p < 0.05; Per1, Z = −1.83, n = 4, p < 0.05) (Figure 5C,D), suggesting that Cry2 and Per1 were significantly knocked down 3 days and 5 days after injection.
Figure 5.
Injection of dsCry2 and dsPer1 reduced mRNA levels of the genes Cry2 and Per1 in the two termite species. (A,B) The mRNA levels of Cry2 (3 days: n = 7; 5 days: n = 4) (A) and Per1 (3 days: n = 7; 5 days: n = 4) (B) in the termite R. chinensis 3 days and 5 days after injecting dsRNA. (C,D) The mRNA levels of Cry2 (3 days: n = 9; 5 days: n = 4) (C) and Per1 (3 days: n = 9; 5 days: n = 4) (D) in the termite O. formosanus 3 days and 5 days after injecting dsRNA. The bars represent mean ± SEM. Asterisks indicate significant differences determined by the Wilcoxon signed-rank test (* p < 0.05).
The injection of dsGFP (control) did not significantly affect the circadian rhythms of locomotor activity under DD conditions in the termite R. chinensis (p < 0.001) (Figure 6A). However, the injection of dsCry2 or dsPer1 disrupted the circadian rhythms of locomotor activity (dsCry2, p = 0.152; dsPer1, p = 0.083) (Figure 6B,C). In addition, the injection of dsCry2 significantly decreased locomotor activity compared with the control in the termite R. chinensis (ANOVA, F(2,32) = 4.34, p < 0.05) (Figure 6D). In the termite O. formosanus, the injection of dsGFP did not significantly impact the circadian rhythms of locomotor activity under DD conditions (p < 0.001) (Figure 6G), but the injection of dsCry2 or dsPer1 disrupted the circadian rhythms of locomotor activity under DD conditions (dsCry2, p = 0.128; dsPer1, p = 0.230) (Figure 6H,I). Moreover, the injection of dsCry2 or dsPer1 significantly decreased locomotor activity compared with the control in the termite O. formosanus (ANOVA, F(2,51) = 21.68, p < 0.001) (Figure 6J).
Figure 6.
Knockdown of Cry2 and Per1 disrupted the circadian rhythms of locomotor activities in the two termite species. (A–C) The circadian rhythms of locomotor activities of the termite R. chinensis injected with dsGFP (n = 12) (A), dsCry2 (n = 12) (B), or dsPer1 (n = 12) (C) were assessed 3 days after injection. (D) The walking distances of the termite R. chinensis after 3 days of dsRNA injections during a 48 h experimental period. (E,F) The walking distances of the termite R. chinensis 3 days after injecting dsRNA during subjective day (E) and night (F). (G–I) The circadian rhythms of locomotor activities of the termite O. formosanus injected with dsGFP (n = 18) (G), dsCry2 (n = 18) (H), or dsPer1 (n = 18) (I) were assessed 3 days after injection. (J) The walking distances of the termite O. formosanus after 3 days of dsRNA injections during a 48 h experimental period. (K,L) The walking distances of the termite O. formosanus 3 days after injecting dsRNA during subjective day (K) and night (L). The rhythmicity of locomotor activity was analyzed using the cosinor procedure (A–C,G–I). The data in the figures are mean ± SEM, and different letters express significant differences according to Tukey’s HSD test (p < 0.05) (D–F,J–L). Gray and black bars represent subjective day and subjective night, respectively (A–C,G–I).
In addition, during the subjective day, the injection of dsCry2 or dsPer1 significantly decreased locomotor activity compared with the control under DD conditions in the termite R. chinensis (ANOVA, F(2,32) = 13.76, p < 0.001) (Figure 6E), but during the subjective night, the injection of dsCry2 or dsPer1 had no effect on locomotor activity as compared to the control (ANOVA, F(2,32) = 0.17, p = 0.849) (Figure 6F). For the termite O. formosanus, the injection of dsCry2 or dsPer1 significantly decreased locomotor activity during the subjective day and night compared with the control under DD conditions (ANOVA, Day, F(2,51) = 45.56, p < 0.001; Night, F(2,51) = 6.62, p < 0.01) (Figure 6K,L).
4. Discussion
Even though circadian rhythms are self-sustaining under constant conditions, organisms (insects and mammals) nevertheless respond to environmental stimuli, particularly illumination intensity and duration [41,42,43]. In this study, our results showed that the two termites R. chinensis and O. formosanus exhibited no clear circadian rhythms of locomotor activity under LL and LD conditions, which is different to the pattern observed in other insects and mammals [18,44]. In addition, since these two termite species have adapted to dark, underground environments, light may be a stressful environment for subterranean termites, which indicates that light conditions impair the circadian rhythms of locomotor activity in termites. Thus, subterranean termites have evolved different circadian rhythms of locomotor activity in response to their living environment. Surprisingly, under DD conditions, the termites R. chinensis and O. formosanus exhibited clear circadian rhythms of locomotor activity. Similarly, the cockroach Periplaneta americana exhibited a clear circadian rhythm of locomotor activity under complete darkness [18]. The subterranean vole Lasiopodomys mandarinus (eusocial mammal) also exhibited a clear circadian rhythm of locomotor activity under DD conditions [44]. These observations reflect the adaptation of subterranean termites, cockroaches, and voles to dark underground environments. Because the circadian rhythms of locomotor activity are exhibited even in constant conditions, we suspect that the endogenous circadian clock is important for the regulation of the circadian rhythms of locomotor activity in termites.
In insects and mammals, the expression of clock genes fluctuated rhythmically in a 24 h period [24,45]. In this study, the Cry2 levels of two termite species exhibited a clear circadian rhythm, with higher levels during subjective day and lower levels during subjective night under DD conditions, which exactly coincided with the circadian rhythm of locomotor activity in two termite species. Per1 levels showed a similar trend to Cry2, exhibiting a clear circadian rhythm. The Cry and Per genes are established clock core complex molecules [46,47]. We conclude that Cry2 and Per1 genes may play a critical role in the circadian rhythm of locomotor activity in these two termite species.
Knockdown of Cry2 or Per1 significantly impaired the circadian rhythms of locomotor activity and markedly reduced locomotor activity under DD conditions in R. chinensis and O. formosanus. Analogously, knockdown of Cry2 severely disrupted the circadian rhythms of locomotor activity under DD conditions in the cockroach B. germanica [18]. Silencing of Per in the cricket G. bimaculatus completely disrupted the circadian rhythm of locomotor activity in constant darkness [21]. In mammals, Cry2 mutation caused a shortened circadian period and impaired behavioral rhythms under a light–dark cycle in mice [19]. We suggest that the two core clock genes Cry2 and Per1 can regulate the circadian rhythms of locomotor activity under DD conditions in termites. Furthermore, knockdown of Cry2 or Per1 in R. chinensis and O. formosanus markedly reduced locomotor activity during the day, which indicates that Cry2 and Per1 are essential for the maintenance of termite circadian rhythms and their locomotor behavior.
5. Conclusions
Taken together, our study delivers evidence that the two termites R. chinensis and O. formosanus exhibit clear circadian rhythms of locomotor activity under DD conditions. However, under LD and LL conditions, complete loss of circadian rhythms of locomotor activity was observed in these two termites. Subterranean termites’ foraging activities mainly occur during the subjective day. Strikingly, the clock genes Cry2 and Per1 display cyclical expression in the heads of termites under DD conditions. In addition, knockdown of Cry2 and Per1 disrupted the circadian rhythms of locomotor activity in the two termites, which suggests that Cry2 and Per1 participate in termite circadian rhythms under DD conditions. Thus, this study contributes to a better understanding of circadian clock mechanisms in subterranean insects.
Supplementary Materials
The following supporting information can be downloaded at https://www.mdpi.com/article/10.3390/insects15010001/s1, Figure S1: The patterns of Cry2 and Per1 gene expression in the two termite species; Table S1: The distribution of the four colonies of R. chinensis for each experiment; Table S2: The distribution of the seven colonies of O. formosanus for each experiment; Table S3: Primers used for qRT-PCR analyses; Table S4: Primers used for cloning the dsRNA template.
Author Contributions
Conceptualization, Q.H. and Y.G.; methodology, Y.G., Q.H. and H.X.; software, Y.G., H.X., Q.H., B.J. and Y.L.; validation, Y.G., Q.H. and H.X.; formal analysis, Y.G., H.X., A.H., Q.H., B.J. and Y.L.; data curation, Y.G., H.X., Q.H. and B.J.; writing—original draft preparation, Y.G., H.X., A.H. and Q.H.; visualization, H.X., Q.H. and B.J.; supervision, Q.H.; project administration, Q.H. and Y.G.; funding acquisition, Q.H. and Y.G. All authors have read and agreed to the published version of the manuscript.
Funding
This research work was supported by the National Natural Science Foundation of China (grant numbers 32170500 and 31772516), National Natural Science Foundation of Shanxi (2023-JC-QN-0204) and Foundation of Yan’an University (YAU202213077).
Data Availability Statement
The data supporting the results may be found either in the manuscript or in the supplementary information.
Acknowledgments
We are very grateful to Wei Zhou and Shuxin Yu for the termite sample collection. They also thank Li Qian from Wageningen University for the edit of this article.
Conflicts of Interest
The authors declare that they have no conflict of interest.
References
- Tomioka, K.; Matsumoto, A. A comparative view of insect circadian clock systems. Cell. Mol. Life Sci. 2010, 67, 1397–1406. [Google Scholar] [CrossRef] [PubMed]
- Zhu, H.; Sauman, I.; Yuan, Q.; Casselman, A.; Emery-Le, M.; Emery, P.; Reppert, S.M. Cryptochromes define a novel circadian clock mechanism in monarch butterflies that may underlie sun compass navigation. PLoS Biol. 2008, 6, e4. [Google Scholar] [CrossRef] [PubMed]
- Zhan, S.; Merlin, C.; Boore, J.L.; Reppert, S.M. The monarch butterfly genome yields insights into long-distance migration. Cell 2011, 147, 1171–1185. [Google Scholar] [CrossRef] [PubMed]
- Tovin, A.; Alon, S.; Ben-Moshe, Z.; Mracek, P.; Vatine, G.; Foulkes, N.S.; Jacob-Hirsch, J.; Rechavi, G.; Toyama, R.; Coon, S.L.; et al. Systematic Identification of rhythmic genes reveals camk1gb as a new element in the circadian clockwork. PLoS Genet. 2012, 8, e1003116. [Google Scholar] [CrossRef] [PubMed]
- Wang, G.D.; Vega-Rodriguez, J.; Diabate, A.; Liu, J.N.; Cui, C.L.; Nignan, C.; Dong, L.; Li, F.; Ouedrago, C.O.; Bandaogo, A.M.; et al. Clock genes and environmental cues coordinate Anopheles pheromone synthesis, swarming, and mating. Science 2021, 371, 411–415. [Google Scholar] [CrossRef] [PubMed]
- Helfrich-Forster, C. Light input pathways to the circadian clock of insects with an emphasis on the fruit fly Drosophila melanogaster. J. Comp. Physiol. A Neuroethol. Sens. Neural Behav. Physiol. 2020, 206, 259–272. [Google Scholar] [CrossRef] [PubMed]
- Williams, J.A.; Sehgal, A. Molecular components of the circadian system in drosophila. Annu. Rev. Physiol. 2001, 63, 729–755. [Google Scholar] [CrossRef] [PubMed]
- Yoshii, T.; Funada, Y.; Ibuki-Ishibashi, T.; Matsumoto, A.; Tanimura, T.; Tomioka, K. Drosophila cry(b) mutation reveals two circadian clocks that drive locomotor rhythm and have different responsiveness to light. J. Insect Physiol. 2004, 50, 479–488. [Google Scholar] [CrossRef]
- Srikanta, S.B.; Cermakian, N. To Ub or not to Ub: Regulation of circadian clocks by ubiquitination and deubiquitination. J. Neurochem. 2021, 157, 11–30. [Google Scholar] [CrossRef]
- Emery, P.; So, W.V.; Kaneko, M.; Hall, J.C.; Rosbash, M. CRY, a Drosophila clock and light-regulated cryptochrome, is a major contributor to circadian rhythm resetting and photosensitivity. Cell 1998, 95, 669–679. [Google Scholar] [CrossRef]
- Gekakis, N.; Staknis, D.; Nguyen, H.B.; Davis, F.C.; Wilsbacher, L.D.; King, D.P.; Takahashi, J.S.; Weitz, C.J. Role of the CLOCK protein in the mammalian circadian mechanism. Science 1998, 280, 1564–1569. [Google Scholar] [CrossRef] [PubMed]
- Kume, K.; Zylka, M.J.; Sriram, S.; Shearman, L.P.; Weaver, D.R.; Jin, X.W.; Maywood, E.S.; Hastings, M.H.; Reppert, S.M. mCRY1 and mCRY2 are essential components of the negative limb of the circadian clock feedback loop. Cell 1999, 98, 193–205. [Google Scholar] [CrossRef] [PubMed]
- Chen, R.M.; Schirmer, A.; Lee, Y.; Lee, H.; Kumar, V.; Yoo, S.H.; Takahashi, J.S.; Lee, C. Rhythmic per abundance defines a critical nodal point for negative feedback within the circadian clock mechanism. Mol. Cell 2009, 36, 417–430. [Google Scholar] [CrossRef] [PubMed]
- Zhu, L.; Feng, S.; Gao, Q.; Liu, W.; Ma, W.H.; Wang, X.P. Host population related variations in circadian clock gene sequences and expression patterns in Chilo suppressalis. Chronobiol. Int. 2019, 36, 969–978. [Google Scholar] [CrossRef] [PubMed]
- Hall, J.C. Cryptochromes: Sensory reception, transduction, and clock functions subserving circadian systems. Curr. Opin. Neurobiol. 2000, 10, 456–466. [Google Scholar] [CrossRef] [PubMed]
- Yan, S.; Liu, Y.J.; Zhu, J.L.; Cui, W.N.; Zhang, X.F.; Yang, Y.H.; Liu, X.M.; Zhang, Q.W.; Liu, X.X. Daily expression of two circadian clock genes in compound eyes of Helicoverpa armigera: Evidence for peripheral tissue circadian timing. Insect Sci. 2019, 26, 217–228. [Google Scholar] [CrossRef]
- Cao, X.M.; Yang, Y.Y.; Selby, C.P.; Liu, Z.X.; Sancar, A. Molecular mechanism of the repressive phase of the mammalian circadian clock. Proc. Natl. Acad. Sci. USA 2021, 118, e2021174118. [Google Scholar] [CrossRef]
- Bazalova, O.; Kvicalova, M.; Valkova, T.; Slaby, P.; Bartos, P.; Netusil, R.; Tomanova, K.; Braeunig, P.; Lee, H.-J.; Sauman, I. Cryptochrome 2 mediates directional magnetoreception in cockroaches. Proc. Natl. Acad. Sci. USA 2016, 113, 1660–1665. [Google Scholar] [CrossRef]
- van der Horst, G.T.J.; Muijtjens, M.; Kobayashi, K.; Takano, R.; Kanno, S.; Takao, M.; de Wit, J.; Verkerk, A.; Eker, A.P.M.; van Leenen, D.; et al. Mammalian Cry1 and Cry2 are essential for maintenance of circadian rhythms. Nature 1999, 398, 627–630. [Google Scholar] [CrossRef]
- Sawadogo, P.S.; Namountougou, M.; Toe, K.H.; Rouamba, J.; Maiga, H.; Ouedraogo, K.R.; Baldet, T.; Gouagna, L.C.; Kengne, P.; Simard, F.; et al. Swarming behaviour in natural populations of Anopheles gambiae and An. coluzzii: Review of 4 years survey in rural areas of sympatry, Burkina Faso (West Africa). Acta Trop. 2014, 132, S42–S52. [Google Scholar] [CrossRef]
- Moriyama, Y.; Sakamoto, T.; Karpova, S.G.; Matsumoto, A.; Noji, S.; Tomioka, K. RNA interference of the clock gene period disrupts circadian rhythms in the cricket Gryllus bimaculatus. J. Biol. Rhythm. 2008, 23, 308–318. [Google Scholar] [CrossRef] [PubMed]
- Kotwica-Rolinska, J.; Chodáková, L.; Smýkal, V.; Damulewicz, M.; Provazník, J.; Wu, B.C.H.; Hejníková, M.; Chvalová, D.; Doležel, D. Loss of timeless underlies an evolutionary transition within the circadian clock. Mol. Biol. Evol. 2022, 39, msab346. [Google Scholar] [CrossRef] [PubMed]
- Levine, J.D.; Funes, P.; Dowse, H.B.; Hall, J.C. Resetting the circadian clock by social experience in Drosophila melanogaster. Science 2002, 298, 2010–2012. [Google Scholar] [CrossRef] [PubMed]
- Shemesh, Y.; Cohen, M.; Bloch, G. Natural plasticity in circadian rhythms is mediated by reorganization in the molecular clockwork in honeybees. FASEB J. 2007, 21, 2304–2311. [Google Scholar] [CrossRef]
- Narendra, A.; Reid, S.F.; Hemmi, J.M. The twilight zone: Ambient light levels trigger activity in primitive ants. Proc. Roy. Soc. B-Biol. Sci. 2010, 277, 1531–1538. [Google Scholar] [CrossRef]
- Hurley, J.M.; Loros, J.J.; Dunlap, J.C. Circadian oscillators: Around the transcription-translation feedback loop and on to output. Trends Biochem. Sci. 2016, 41, 834–846. [Google Scholar] [CrossRef]
- Fujioka, H.; Abe, M.S.; Fuchikawa, T.; Tsuji, K.; Shimada, M.; Okada, Y. Ant circadian activity associated with brood care type. Biol. Lett. 2017, 13, 20160743. [Google Scholar] [CrossRef]
- Miura, T.; Matsumoto, T. Foraging organization of the open-air processional lichen-feeding termite Hospitalitermes (Isoptera, termitidae) in Borneo. Insectes Soc. 1998, 45, 17–32. [Google Scholar] [CrossRef]
- Hinze, B.; Leuthold, R.H. Age related polyethism and activity rhythms in the nest of the termite Macrotermes bellicosus (Isoptera, Termitidae). Insectes Soc. 1999, 46, 392–397. [Google Scholar] [CrossRef]
- Fuchikawa, T.; Matsubara, K.; Miyatake, T.; Matsuura, K. Acoustic emission monitoring of the effect of temperature on activity rhythms of the subterranean termite Reticulitermes speratus. Physiol. Entomol. 2012, 37, 303–308. [Google Scholar] [CrossRef]
- Gao, Y.Y.; Yu, S.X.; Li, J.J.; Sun, P.D.; Xiong, M.; Lei, C.L.; Zhang, Z.B.; Huang, Q.Y. Bioactivity of diatomaceous earth against the subterranean termite Reticulitermes chinensis Snyder (Isoptera: Rhinotermitidae). Environ. Sci. Pollut. Res. 2018, 25, 28102–28108. [Google Scholar] [CrossRef]
- Gao, Y.Y.; Huang, Q.Y.; Xu, H. Silencing Orco impaired the ability to perceive trail pheromones and affected locomotion behavior in two termite species. J. Econ. Entomol. 2020, 113, 2941–2949. [Google Scholar] [CrossRef] [PubMed]
- Gao, Y.Y.; Wen, P.; Cardé, R.T.; Xu, H.; Huang, Q.Y. In addition to cryptochrome 2, magnetic particles with olfactory co-receptor are important for magnetic orientation in termites. Commun. Biol. 2021, 4, 1121. [Google Scholar] [CrossRef] [PubMed]
- Hassan, A.; Huang, Q.Y.; Mehmood, N.; Xu, H.; Zhou, W.; Gao, Y.Y. Alteration of termite locomotion and allogrooming in response to infection by pathogenic fungi. J. Econ. Entomol. 2021, 114, 1256–1263. [Google Scholar] [CrossRef]
- Xu, H.; Yu, Y.C.; Gao, Y.Y.; Hassan, A.; Jia, B.; Huang, Q.Y. The cGMP-dependent protein kinase gene can regulate trail-following behaviour and locomotion in the termite Reticulitermes chinensis Snyder. Insect Mol. Biol. 2022, 31, 585–592. [Google Scholar] [CrossRef]
- Livak, K.J.; Schmittgen, T.D. Analysis of relative gene expression data using real-time quantitative PCR and the 2−ΔΔCT method. Methods 2001, 25, 402–408. [Google Scholar] [CrossRef] [PubMed]
- Zhou, X.G.; Oi, F.M.; Scharf, M.E. Social exploitation of hexamerin: RNAi reveals a major caste-regulatory factor in termites. Proc. Natl. Acad. Sci. USA 2006, 103, 4499–4504. [Google Scholar] [CrossRef]
- Liu, L.; Wang, C.C.; Zhao, X.Y.; Guan, J.X.; Lei, C.L.; Huang, Q.Y. Isocitrate dehydrogenase-mediated metabolic disorders disrupt active immunization against fungal pathogens in eusocial termites. J. Pest Sci. 2020, 93, 291–301. [Google Scholar] [CrossRef]
- Fire, A.; Xu, S.; Montgomery, M.K.; Kostas, S.A.; Driver, S.E.; Mello, C.C. Potent and specific genetic interference by double-stranded RNA in Caenorhabditis elegans. Nature 1998, 391, 806–811. [Google Scholar] [CrossRef]
- Challet, E. Minireview: Entrainment of the Suprachiasmatic clockwork in diurnal and nocturnal mammals. Endocrinology 2007, 148, 5648–5655. [Google Scholar] [CrossRef]
- Ceriani, M.F.; Darlington, T.K.; Staknis, D.; Más, P.; Petti, A.A.; Weitz, C.J.; Kay, S.A. Light-dependent sequestration of timeless by cryptochrome. Science 1999, 285, 553–556. [Google Scholar] [CrossRef] [PubMed]
- Lamba, P.; Bilodeau-Wentworth, D.; Emery, P.; Zhang, Y. Morning and evening oscillators cooperate to reset circadian behavior in response to light input. Cell Rep. 2014, 7, 601–608. [Google Scholar] [CrossRef] [PubMed]
- Tabuchi, M.; Coates, K.E.; Bautista, O.B.; Zukowski, L.H. Light/Clock influences membrane potential dynamics to regulate sleep states. Front. Neurol. 2021, 12, 625369. [Google Scholar] [CrossRef]
- Sun, H.; Li, C.Y.; Zhang, Y.F.; Jiang, M.W.; Dong, Q.Q.; Wang, Z.L. Light-resetting impact on behavior and the central circadian clock in two vole species (genus: Lasiopodomys). Comp. Biochem. Phys. B. 2020, 248, 110478. [Google Scholar] [CrossRef]
- Matsumura, R.; Okamoto, A.; Node, K.; Akashi, M. Compensation for intracellular environment in expression levels of mammalian circadian clock genes. Sci. Rep. 2014, 4, 4032. [Google Scholar] [CrossRef]
- Lee, Y.; Shen, Y.; Francey, L.J.; Ramanathan, C.; Sehgal, A.; Liu, A.C.; Hogenesch, J.B. The NRON complex controls circadian clock function through regulated PER and CRY nuclear translocation. Sci. Rep. 2019, 9, 11883. [Google Scholar] [CrossRef]
- Wang, M.J.; Yu, D.; Zheng, L.C.; Hong, B.; Li, H.X.; Hu, X.B.; Zhang, K.; Mou, Y.B. Mechanical stress affects circadian rhythm in skeletal muscle (C2C12 myoblasts) by reducing Per/Cry gene expression and increasing Bmal1 gene expression. Med. Sci. Monit. Int. Med. J. Exp. Clin. Res. 2021, 27, e928359-1. [Google Scholar] [CrossRef] [PubMed]
Disclaimer/Publisher’s Note: The statements, opinions and data contained in all publications are solely those of the individual author(s) and contributor(s) and not of MDPI and/or the editor(s). MDPI and/or the editor(s) disclaim responsibility for any injury to people or property resulting from any ideas, methods, instructions or products referred to in the content. |
© 2023 by the authors. Licensee MDPI, Basel, Switzerland. This article is an open access article distributed under the terms and conditions of the Creative Commons Attribution (CC BY) license (https://creativecommons.org/licenses/by/4.0/).





