Characterization of Two Complete Mitochondrial Genomes of Atkinsoniella (Hemiptera: Cicadellidae: Cicadellinae) and the Phylogenetic Implications
Abstract
Simple Summary
Abstract
1. Introduction
2. Materials and Methods
2.1. Sample Collection and Mitogenome Sequencing
2.2. Sequence Annotation and Analysis
2.3. Phylogenetic Analyses
3. Results and Discussion
3.1. Mitogenome Organization and Nucleotide Composition
3.2. Overlapping and Intergenic Spacer Regions
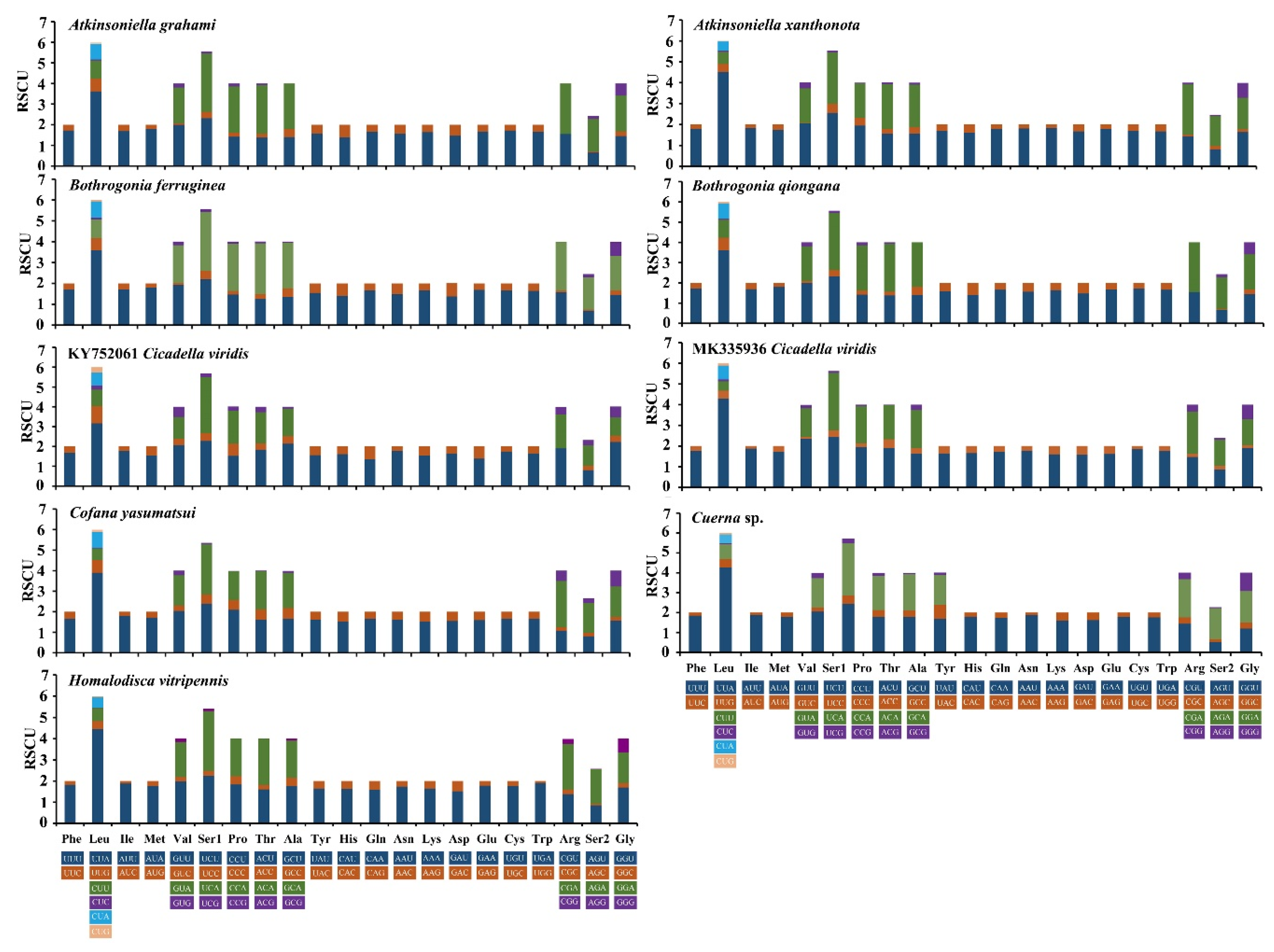
3.3. Protein-Coding Genes and Codon Usage
3.4. Transfer and Ribosomal RNA Genes
3.5. Control Region
3.6. Phylogenetic Analyses
4. Conclusions
Supplementary Materials
Author Contributions
Funding
Institutional Review Board Statement
Data Availability Statement
Acknowledgments
Conflicts of Interest
References
- Naveed, H.; Zhang, Y.L. Newly recorded leafhoppers of the subfamily Cicadellinae (Hemiptera: Cicadellidae) with description of a new species from Pakistan. Zootaxa 2018, 4504, 285–295. [Google Scholar] [CrossRef] [PubMed]
- Yang, M.F.; Meng, Z.H.; Li, Z.Z. Hemiptera: Cicadellidae (II): Cicadellinae.Fauna Sinica: Insecta Vol. 67; Science Press: Beijing, China, 2017; p. 637. ISBN 978-7-03-052950-3. (In Chinese) [Google Scholar]
- Redak, R.A.; Purcell, A.H.; Lopes, J.R.; Blua, M.J.; Iii, R.F.M.; Andersen, P.C. The biology of xylem fluid-feeding insect vectors of Xylella fastidiosa and their relation to disease epidemiology. Annu. Rev. Èntomol. 2004, 49, 243–270. [Google Scholar] [CrossRef] [PubMed]
- Kleina, H.T.; Kudlawiec, K.; Esteves, M.B.; DalBó, M.A.; Oliveira, T.D.P.; Maluta, N.; Lopes, J.R.S.; May-De-Mio, L.L. Settling and feeding behavior of sharpshooter vectors of Xylella fastidiosa on plum genotypes resistant to leaf scald disease. Eur. J. Plant Pathol. 2020, 158, 633–644. [Google Scholar] [CrossRef]
- Hopkins, D.L.; Purcell, A.H. Xylella fastidiosa: Cause of Pierce’s disease of grapevine and other emergent diseases. Plant Dis. 2002, 86, 1056–1066. [Google Scholar] [CrossRef]
- Krugner, R.; Sisterson, M.S.; Backus, E.A.; Burbank, L.P.; Redak, R.A. Sharpshooters: A review of what moves Xylella fastidiosa. Austral Èntomol. 2019, 58, 248–267. [Google Scholar] [CrossRef]
- Boore, J.L. Animal mitochondrial genomes. Nucleic Acids Res. 1999, 27, 1767–1780. [Google Scholar] [CrossRef]
- Cameron, S.L. Insect mitochondrial genomics: Implications for evolution and phylogeny. Annu. Rev. Èntomol. 2014, 59, 95–117. [Google Scholar] [CrossRef] [PubMed]
- Wolstenholme, D.R. Animal mitochondrial DNA: Structure and evolution. Int. Rev. Cytol. 1992, 141, 173–216. [Google Scholar] [CrossRef]
- Curole, J.P.; Kocher, T.D. Mitogenomics: Digging deeper with complete mitochondrial genomes. Trends Ecol. Evol. 1999, 14, 394–398. [Google Scholar] [CrossRef]
- Yu, J.N.; Azuma, N.; Abe, S. Genetic differentiation between collections of hatchery and wild masu salmon (Oncorhynchus masou) inferred from mitochondrial and microsatellite DNA analyses. Environ. Biol. Fishes 2011, 94, 259–271. [Google Scholar] [CrossRef]
- Lin, C.P.; Danforth, B.N. How do insect nuclear and mitochondrial gene substitution patterns differ? Insights from Bayesian analyses of combined datasets. Mol. Phylogenetics Evol. 2004, 30, 686–702. [Google Scholar] [CrossRef]
- Yu, P.F.; Li, Q.; Wang, M.X.; Cheng, P.; Lin, C.; Han, B.Y. Analysis of complete mitochondrial genome and phylogenetic relationship of Bothrogonia ferruginea. J. Agric. Biotechnol. 2019, 27, 1246–1258. (In Chinese) [Google Scholar] [CrossRef]
- Xu, X.L.; Yan, B.; Yu, X.F.; Yang, M.F. The complete mitochondrial genome of Bothrogonia qiongana (Hemiptera: Cicadellidae) with phylogenetic analyses. Mitochondrial DNA Part B 2020, 5, 2750–2751. [Google Scholar] [CrossRef] [PubMed]
- Song, N.; Cai, W.Z.; Li, H. Insufficient power of mitogenomic data in resolving the auchenorrhynchan monophyly. Zool. J. Linn. Soc. 2017, 183, 776–790. [Google Scholar] [CrossRef]
- Zhong, L.K.; Li, H.X.; Yu, X.F.; Yang, M.F. Complete mitochondrial genome sequence of Cicadella viridis (Hemiptera: Cicadellidae: Cicadellinae). Mitochondrial DNA Part B 2019, 4, 1287–1288. [Google Scholar] [CrossRef]
- Zhong, L.K.; Yang, M.F.; Yu, X.F. The mitochondrial genome of Cofana yasumatsui (Hemiptera: Cicadellidae: Cicadellinae). Mitochondrial DNA Part B 2020, 5, 1075–1076. [Google Scholar] [CrossRef]
- He, H.L.; Li, H.X.; Yang, M.F. Complete mitochondrial genome sequence of Mileewa albovittata (Hemiptera: Cicadellidae: Mileewinae). Mitochondrial DNA Part B 2019, 4, 740–741. [Google Scholar] [CrossRef]
- He, H.L.; Yang, M.F. The mitogenome of Mileewa margheritae (Hemiptera: Cicadellidae: Mileewinae). Mitochondrial DNA Part B 2020, 5, 3163–3164. [Google Scholar] [CrossRef] [PubMed]
- He, H.L.; Yang, M.F. Characterization and phylogenetic analysis of the mitochondrial genome of Mileewa ponta (Hemiptera: Cicadellidae: Mileewinae). Mitochondrial DNA Part B 2020, 5, 2976–2977. [Google Scholar] [CrossRef]
- Li, D.F.; Dai, R.H. The complete mitochondrial genome of Tituria pyramidata (Hemiptera: Cicadellidae: Ledrinae) from China. Mitochondrial DNA Part B 2020, 5, 1757–1758. [Google Scholar] [CrossRef]
- Wang, J.J.; Li, D.F.; Li, H.; Yang, M.F.; Dai, R.H. Structural and phylogenetic implications of the complete mitochondrial genome of Ledra auditura. Sci. Rep. 2019, 9, 15746. [Google Scholar] [CrossRef] [PubMed]
- Song, N.; Cai, W.Z.; Li, H. Deep-level phylogeny of Cicadomorpha inferred from mitochondrial genomes sequenced by NGS. Sci. Rep. 2017, 7, 1–11. [Google Scholar] [CrossRef]
- Zhou, N.; Wang, M.; Cui, L.; Chen, X.; Han, B. Complete mitochondrial genome of Empoasca vitis (Hemiptera: Cicadellidae). Mitochondrial DNA 2016, 27, 1052–1053. [Google Scholar] [CrossRef]
- Wang, J.J.; Yang, M.F.; Dai, R.H.; Li, H. Complete mitochondrial genome of Evacanthus heimianus (Hemiptera: Cicadellidae: Evacanthinae) from China. Mitochondrial DNA Part B 2018, 4, 284–285. [Google Scholar] [CrossRef]
- Wang, J.J.; Yang, M.F.; Dai, R.H.; Li, H.; Wang, X.Y. Characterization and phylogenetic implications of the complete mitochondrial genome of Idiocerinae (Hemiptera: Cicadellidae). Int. J. Biol. Macromol. 2018, 120, 2366–2372. [Google Scholar] [CrossRef] [PubMed]
- Dai, R.H.; Wang, J.J.; Yang, M.F. The complete mitochondrial genome of the leafhopper Idioscopus clypealis (Hemiptera: Cicadellidae: Idiocerinae). Mitochondrial DNA Part B 2018, 3, 32–33. [Google Scholar] [CrossRef]
- Choudhary, J.S.; Naaz, N.; Das, B.; Bhatt, B.P.; Prabhakar, C.S. Complete mitochondrial genome of Idioscopus nitidulus (Hemiptera: Cicadellidae). Mitochondrial DNA Part B 2018, 3, 191–192. [Google Scholar] [CrossRef] [PubMed]
- Wang, J.J.; Dai, R.H.; Li, H.; Zhan, H.P. Characterization of the complete mitochondrial genome of Japanagallia spinosa and Durgades nigropicta (Hemiptera: Cicadellidae: Megophthalminae). Biochem. Syst. Ecol. 2017, 74, 33–41. [Google Scholar] [CrossRef]
- Wang, J.J.; Wu, Y.F.; Yang, M.F.; Dai, R.H. The phylogenetic implications of the mitochondrial genomes of Macropsis notata and Oncopsis nigrofasciata. Front. Genet. 2020, 11, 1–9. [Google Scholar] [CrossRef]
- Wang, J.J.; Li, H.; Dai, R.H. Complete mitochondrial genome of Taharana fasciana (Insecta, Hemiptera: Cicadellidae) and comparison with other Cicadellidae insects. Genetica 2017, 145, 593–602. [Google Scholar] [CrossRef]
- Wang, X.Y.; Wang, J.J.; Fan, Z.H.; Dai, R.H. Complete mitogenome of Olidiana ritcheriina (Hemiptera: Cicadellidae) and phylogeny of Cicadellidae. PeerJ 2019, 7, e8072. [Google Scholar] [CrossRef]
- Wang, J.J.; Wu, Y.F.; Dai, R.H.; Yang, M.F. Comparative mitogenomes of six species in the subfamily Iassinae (Hemiptera: Cicadellidae) and phylogenetic analysis. Int. J. Biol. Macromol. 2020, 149, 1294–1303. [Google Scholar] [CrossRef]
- Du, Y.M.; Zhang, C.N.; Dietrich, C.H.; Zhang, Y.L.; Dai, W. Characterization of the complete mitochondrial genomes of Maiestas dorsalis and Japananus hyalinus (Hemiptera: Cicadellidae) and comparison with other Membracoidea. Sci. Rep. 2017, 7, 1–10. [Google Scholar] [CrossRef]
- Wang, J.J.; Xing, J.C. Complete mitochondrial genome of Abrus expansivus (Hemiptera: Cicadellidae: Deltocephalinae) from China. Mitochondrial DNA Part B 2019, 4, 197–198. [Google Scholar] [CrossRef]
- Mao, M.; Yang, X.S.; Bennett, G. The complete mitochondrial genome of Macrosteles quadrilineatus (Hemiptera: Cicadellidae). Mitochondrial DNA Part B 2017, 2, 173–175. [Google Scholar] [CrossRef] [PubMed]
- Du, Y.M.; Dietrich, C.H.; Dai, W. Complete mitochondrial genome of Macrosteles quadrimaculatus (Matsumura) (Hemiptera: Cicadellidae: Deltocephalinae) with a shared tRNA rearrangement and its phylogenetic implications. Int. J. Biol. Macromol. 2019, 122, 1027–1034. [Google Scholar] [CrossRef]
- Du, Y.M.; Dai, W.; Dietrich, C.H. Mitochondrial genomic variation and phylogenetic relationships of three groups in the genus Scaphoideus (Hemiptera: Cicadellidae: Deltocephalinae). Sci. Rep. 2017, 7, 16908. [Google Scholar] [CrossRef][Green Version]
- Wu, Y.F.; Dai, R.H.; Zhan, H.P.; Qu, L. Complete mitochondrial genome of Drabescoides nuchalis (Hemiptera: Cicadellidae). Mitochondrial DNA Part A 2015, 27, 3626–3627. [Google Scholar] [CrossRef]
- Yu, P.F.; Wang, M.X.; Cui, L.; Chen, X.X.; Han, B.Y. The complete mitochondrial genome of Tambocerus sp. (Hemiptera: Cicadellidae). Mitochondrial DNA Part A 2015, 28, 133–134. [Google Scholar] [CrossRef] [PubMed]
- Zhao, X.; Liang, A.P. Complete DNA sequence of the mitochondrial genome of the treehopper Leptobelus gazella (Membracoidea: Hemiptera). Mitochondrial DNA Part A 2016, 27, 3318–3319. [Google Scholar] [CrossRef] [PubMed]
- Li, H.; Leavengood, J.M.; Chapman, E.G.; Burkhardt, D.; Song, F.; Jiang, P.; Liu, J.P.; Zhou, X.G.; Cai, W.Z. Mitochondrial phylogenomics of Hemiptera reveals adaptive innovations driving the diversification of true bugs. Proc. R. Soc. B Biol. Sci. 2017, 284, 20171223. [Google Scholar] [CrossRef] [PubMed]
- Mao, M.; Yang, X.S.; Bennett, G. The complete mitochondrial genome of Entylia carinata (Hemiptera: Membracidae). Mitochondrial DNA Part B 2016, 1, 662–663. [Google Scholar] [CrossRef] [PubMed]
- Liang, A.P.; Gao, J.; Zhao, X. Characterization of the complete mitochondrial genome of the treehopper Darthula hardwickii (Hemiptera: Aetalionidae). Mitochondrial DNA Part A 2015, 27, 3291–3292. [Google Scholar] [CrossRef] [PubMed]
- Liu, J.; Bu, C.P.; Wipfler, B.; Liang, A.P. Comparative analysis of the mitochondrial genomes of Callitettixini Spittlebugs (Hemiptera: Cercopidae) confirms the overall high evolutionary speed of the AT-Rich region but reveals the presence of short conservative elements at the tribal level. PLoS ONE 2014, 9, e109140. [Google Scholar] [CrossRef] [PubMed]
- Du, Z.Y.; Hasegawa, H.; Cooley, J.R.; Simon, C.; Yoshimura, J.; Cai, W.Z.; Sota, T.; Li, H. Mitochondrial genomics reveals shared phylogeographic patterns and demographic history among three periodical Cicada species groups. Mol. Biol. Evol. 2019, 36, 1187–1200. [Google Scholar] [CrossRef] [PubMed]
- Zhang, Z.M.; Kuoh, C.L. Eight new species and a new record species of the genus Atkinsoniella from China (Homoptera: Cicadellidae). J. Anhui Agric. Univ. 1993, 20, 7–17. (In Chinese) [Google Scholar] [CrossRef]
- Yang, M.F.; Li, Z.Z. Two new species of Atkinsoniella from Sichuan Province, China (Homoptera: Cicadellidae). Acta Entomol. Sin. 2002, 45, 40–42. (In Chinese) [Google Scholar] [CrossRef]
- Dierckxsens, N.; Mardulyn, P.; Smits, G. NOVOPlasty: De novo assembly of organelle genomes from whole genome data. Nucleic Acids Res. 2017, 45, e18. [Google Scholar] [CrossRef]
- Meng, G.L.; Li, Y.Y.; Yang, C.T.; Liu, S.L. MitoZ: A toolkit for animal mitochondrial genome assembly, annotation and visualization. Nucleic Acids Res. 2019, 47, e63. [Google Scholar] [CrossRef]
- Bernt, M.; Donath, A.; Jühling, F.; Externbrink, F.; Florentz, C.; Fritzsch, G.; Pütz, J.; Middendorf, M.; Stadler, P.F. MITOS: Improved de novo metazoan mitochondrial genome annotation. Mol. Phylogenet. Evol. 2013, 69, 313–319. [Google Scholar] [CrossRef]
- Lowe, T.M.; Eddy, S.R. tRNAscan-SE: A program for improved detection of transfer RNA genes in genomic sequence. Nucleic Acids Res. 1997, 25, 955–964. [Google Scholar] [CrossRef]
- Lowe, T.M.; Chan, P.P. tRNAscan-SE On-line: Integrating search and context for analysis of transfer RNA genes. Nucleic Acids Res. 2016, 44, W54–W57. [Google Scholar] [CrossRef] [PubMed]
- Greiner, S.; Lehwark, P.; Bock, R. Organellar genome DRAW (OGDRAW) version 1.3.1: Expanded toolkit for the graphical visualization of organellar genomes. Nucleic Acids Res. 2019, 47, W59–W64. [Google Scholar] [CrossRef]
- Perna, N.T.; Kocher, T.D. Patterns of nucleotide composition at fourfold degenerate sites of animal mitochondrial genomes. J. Mol. Evol. 1995, 41, 353–358. [Google Scholar] [CrossRef]
- Tamura, K.; Stecher, G.; Peterson, D.; Filipski, A.; Kumar, S. MEGA6: Molecular evolutionary genetics analysis version 6.0. Mol. Biol. Evol. 2013, 30, 2725–2729. [Google Scholar] [CrossRef] [PubMed]
- Benson, G. Tandem repeats finder: A program to analyze DNA sequences. Nucleic Acids Res. 1999, 27, 573–580. [Google Scholar] [CrossRef]
- Ranwez, V.; Harispe, S.; Delsuc, F.; Douzery, E.J.P. MACSE: Multiple alignment of coding sequences accounting for frameshifts and stop codons. PLoS ONE 2011, 6, e22594. [Google Scholar] [CrossRef] [PubMed]
- Zhang, D.; Gao, F.; Jakovlić, I.; Zhou, H.; Zhang, J.; Li, W.X.; Wang, G.T. PhyloSuite: An integrated and scalable desktop platform for streamlined molecular sequence data management and evolutionary phylogenetics studies. Mol. Ecol. Resour. 2019, 20, 348–355. [Google Scholar] [CrossRef]
- Katoh, K.; Standley, D.M. MAFFT multiple sequence alignment software version 7: Improvements in performance and usability. Mol. Biol. Evol. 2013, 30, 772–780. [Google Scholar] [CrossRef] [PubMed]
- Castresana, J. Selection of conserved blocks from multiple alignments for their use in phylogenetic analysis. Mol. Biol. Evol. 2000, 17, 540–552. [Google Scholar] [CrossRef]
- Talavera, G.; Castresana, J. Improvement of phylogenies after removing divergent and ambiguously aligned blocks from protein sequence alignments. Syst. Biol. 2007, 56, 564–577. [Google Scholar] [CrossRef] [PubMed]
- Lanfear, R.; Frandsen, P.B.; Wright, A.M.; Senfeld, T.; Calcott, B. PartitionFinder 2: New Methods for Selecting Partitioned Models of Evolution for Molecular and Morphological Phylogenetic Analyses. Mol. Biol. Evol. 2017, 34, 772–773. [Google Scholar] [CrossRef]
- Nguyen, L.T.; Schmidt, H.A.; Von Haeseler, A.; Minh, B.Q. IQ-TREE: A fast and effective stochastic algorithm for estimating Maximum-Likelihood phylogenies. Mol. Biol. Evol. 2015, 32, 268–274. [Google Scholar] [CrossRef]
- Ronquist, F.; Huelsenbeck, J.P. MrBayes 3: Bayesian phylogenetic inference under mixed models. Bioinformatics 2003, 19, 1572–1574. [Google Scholar] [CrossRef] [PubMed]
- Wang, W.Q.; Huang, Y.X.; Bartlett, C.R.; Zhou, F.M.; Meng, R.; Qin, D.Z. Characterization of the complete mitochondrial genomes of two species of the genus Aphaena Guérin-Méneville (Hemiptera: Fulgoridae) and its phylogenetic implications. Int. J. Biol. Macromol. 2019, 141, 29–40. [Google Scholar] [CrossRef]
- Huang, W.J.; Zhang, Y.L. Characterization of two complete mitochondrial genomes of Ledrinae (Hemiptera: Cicadellidae) and phylogenetic analysis. Insects 2020, 11, 609. [Google Scholar] [CrossRef]
- Xu, D.L.; Yu, T.H.; Zhang, Y.L. Characterization of the complete mitochondrial genome of Drabescus ineffectus and Roxasellana stellata (Hemiptera: Cicadellidae: Deltocephalinae: Drabescini) and their phylogenetic implications. Insects 2020, 11, 534. [Google Scholar] [CrossRef]
- Tang, J.; Huang, W.J.; Zhang, Y.L. The Complete mitochondrial genome of four Hylicinae (Hemiptera: Cicadellidae): Structural features and phylogenetic implications. Insects 2020, 11, 869. [Google Scholar] [CrossRef]
- Zhang, D.X.; Hewitt, G.M. Insect mitochondrial control region: A review of its structure, evolution and usefulness in evolutionary studies. Biochem. Syst. Ecol. 1997, 25, 99–120. [Google Scholar] [CrossRef]
- Bian, D.D.; Ye, W.T.; Dai, M.L.; Lu, Z.T.; Li, M.X.; Fang, Y.L.; Qu, J.W.; Su, W.J.; Li, F.C.; Sun, H.N.; et al. Phylogenetic relationships of Limacodidae and insights into the higher phylogeny of Lepidoptera. Int. J. Biol. Macromol. 2020, 159, 356–363. [Google Scholar] [CrossRef] [PubMed]
- Yang, M.S.; Song, L.; Mao, J.H.; Shi, Y.X.; Wu, C.J.; Zhang, Y.X.; Huang, L.; Peng, W.F.; Liu, X.M. Complete mitochondrial genome of the soybean leaffolder, Omiodes indicata (Lepidoptera: Pyraloidea: Crambidae), and phylogenetic analysis for Pyraloidea. Int. J. Biol. Macromol. 2018, 115, 53–60. [Google Scholar] [CrossRef] [PubMed]
- Liu, Y.; Xin, Z.Z.; Zhu, X.Y.; Zhao, X.M.; Wang, Y.; Tang, B.P.; Zhang, H.B.; Zhang, D.Z.; Zhou, C.L.; Liu, Q.N. The complete mitochondrial genome of Euproctis similis (Lepidoptera: Noctuoidea: Erebidae) and phylogenetic analysis. Int. J. Biol. Macromol. 2017, 105, 219–227. [Google Scholar] [CrossRef] [PubMed]
- Yang, Z.H.; Yang, T.T.; Liu, Y.; Zhang, H.B.; Tang, B.P.; Liu, Q.N.; Ma, Y.F. The complete mitochondrial genome of Sinna extrema (Lepidoptera: Nolidae) and its implications for the phylogenetic relationships of Noctuoidea species. Int. J. Biol. Macromol. 2019, 137, 317–326. [Google Scholar] [CrossRef]
- Zhu, X.Y.; Xin, Z.Z.; Wang, Y.; Zhang, H.B.; Zhang, D.Z.; Wang, Z.F.; Zhou, C.L.; Tang, B.P.; Liu, Q.N. The complete mitochondrial genome of Clostera anachoreta (Lepidoptera: Notodontidae) and phylogenetic implications for Noctuoidea species. Genomics 2017, 109, 221–226. [Google Scholar] [CrossRef]
- Dietrich, C.H.; Allen, J.M.; Lemmon, A.R.; Lemmon, E.M.; Takiya, D.M.; Evangelista, O.; Walden, K.K.O.; Grady, P.G.S.; Johnson, K.P. Anchored Hybrid Enrichment-Based Phylogenomics of Leafhoppers and Treehoppers (Hemiptera: Cicadomorpha: Membracoidea). Insect Syst. Divers. 2017, 1, 57–72. [Google Scholar] [CrossRef]
- Dietrich, C.; Rakitov, R.; Holmes, J.; Black, W. Phylogeny of the major lineages of Membracoidea (Insecta: Hemiptera: Cicadomorpha) based on 28S rDNA sequences. Mol. Phylogenet. Evol. 2001, 18, 293–305. [Google Scholar] [CrossRef]
- Skinner, R.K.; Dietrich, C.H.; Walden, K.K.O.; Gordon, E.; Sweet, A.D.; Podsiadlowski, L.; Petersen, M.; Simon, C.; Takiya, D.M.; Johnson, K.P. Phylogenomics of Auchenorrhyncha (Insecta: Hemiptera) using transcriptomes: Examining controversial relationships via degeneracy coding and interrogation of gene conflict. Syst. Èntomol. 2019, 45, 85–113. [Google Scholar] [CrossRef]
- Young, D.A. Taxonomic Study of the Cicadellinae (Homoptera: Cicadellidae) pt. 1: Proconiini. Bull. U. S. Natl. Mus. 1968, 261, 1–287. [Google Scholar] [CrossRef]
- Linnavuori, R.; Delong, D.M. Studies of the Neotropical Mileewaninae (Homoptera: Cicadellidae). J. Kans. Entomol. Soc. 1977, 50, 410–421. [Google Scholar]








| Subfamily | Species | Size | A+T (%) | Accession Number | Reference |
|---|---|---|---|---|---|
| Cicadellinae | Bothrogonia ferruginea | 15,262 | 76.5 | KU167550 | [13] |
| Bothrogonia qiongana | 15,304 | 78.4 | NC_049894 | [14] | |
| Cuerna sp. | 12,696 | 77.5 | KX437741 | [15] | |
| Cicadella viridis | 13,461 | 78.8 | KY752061 | Unpublished | |
| Cicadella viridis | 15,891 | 78.1 | MK335936 | [16] | |
| Homalodisca vitripennis | 15,304 | 78.4 | NC_006899 | Unpublished | |
| Cofana yasumatsui | 15,019 | 80.6 | NC_049087 | [17] | |
| Atkinsoniella grahami | 15,621 | 78.6 | MW533713 | This Study | |
| Atkinsoniella xanthonota | 15,895 | 78.3 | MW533712 | This Study | |
| Mileewinae | Mileewa albovittata | 15,079 | 79.6 | MK138358 | [18] |
| Mileewa margheritae | 15,375 | 79.2 | MT483998 | [19] | |
| Mileewa ponta | 15,999 | 79.9 | MT497465 | [20] | |
| Ledrinae | Tituria pyramidata | 15,331 | 75.6 | NC_046701 | [21] |
| Ledra auditura | 16,094 | 76.3 | MK387845 | [22] | |
| Typhlocybinae | Illinigina sp. | 14,803 | 76 | KY039129 | [23] |
| Typhlocyba sp. | 15,223 | 77.1 | KY039138 | [23] | |
| Empoasca onukii | 15,167 | 78.3 | NC_037210 | Unpublished | |
| Empoasca vitis | 15,154 | 78.3 | NC_024838 | [24] | |
| Empoasca sp. | 15,116 | 76.8 | KX437737 | [15] | |
| Evacanthinae | Evacanthus heimianus | 15,806 | 79.9 | MG813486 | [25] |
| Idiocerinae | Populicerus populi | 16,494 | 77.2 | NC_039427 | [26] |
| Idiocerus salicis | 16,436 | 77.3 | NC_046048 | [26] | |
| Idiocerus laurifoliae | 16,811 | 79.5 | NC_039741 | [26] | |
| Idioscopus myrica | 15,423 | 77.9 | MH492317 | [26] | |
| Idioscopus clypealis | 15,393 | 78.3 | NC_039642 | [27] | |
| Idioscopus nitidulus | 15,287 | 78.6 | NC_029203 | [28] | |
| Megophthalminae | Durgades nigropicta | 15,974 | 78.8 | NC_035684 | [29] |
| Japanagallia spinosa | 15,655 | 76.6 | NC_035685 | [29] | |
| Macropsinae | Oncopsis nigrofasciata | 15,927 | 79 | MG813492 | [30] |
| Macropsis notata | 16,323 | 76.8 | NC_042723 | [30] | |
| Coelidiinae | Olidiana sp. | 15,253 | 78.1 | KY039119 | Unpublished |
| Taharana fasciana | 15,161 | 77.9 | NC_036015 | [31] | |
| Olidiana ritcheriina | 15,166 | 78 | NC_045207 | [32] | |
| Iassinae | Batracomorphus lateprocessus | 15,356 | 80.4 | MG813489 | [33] |
| Trocnadella arisana | 15,131 | 80.7 | NC_036480 | [33] | |
| Iassus dorsalis | 15,176 | 80.1 | MN577634 | [33] | |
| Krisna concava | 14,304 | 79.8 | MN577635 | [33] | |
| Krisna rufimarginata | 14,724 | 81.1 | MN577636 | [33] | |
| Gessius rufidorsus | 14,634 | 80.7 | MN577633 | [33] | |
| Deltocephalinae | Maiestas dorsalis | 15,352 | 78.7 | NC_036296 | [34] |
| Japananus hyalinus | 15,364 | 76.6 | NC_036298 | [34] | |
| Alobaldia tobae | 16,026 | 77.3 | KY039116 | [23] | |
| Psammotettix sp. | 12,970 | 74.7 | KX437742 | [15] | |
| Psammotettix sp. | 12,913 | 76.7 | KX437725 | [15] | |
| Yanocephalus yanonis | 15,623 | 74.6 | NC_036131 | [23] | |
| Abrus expansivus | 15,904 | 74.7 | NC_045238 | [35] | |
| Norvellina sp. | 15,594 | 74.5 | KY039131 | [23] | |
| Nephotettix cincticeps | 14,805 | 77.6 | NC_026977 | Unpublished | |
| Exitianus indicus | 16,089 | 75.1 | KY039128 | [23] | |
| Macrosteles quadrilineatus | 16,626 | 78 | NC_034781 | [36] | |
| Macrosteles quadrimaculatus | 15,734 | 77.7 | NC_039560 | [37] | |
| Hishimonoides recurvatis | 14,814 | 76.7 | KY364883 | Unpublished | |
| Scaphoideus maai | 15,188 | 77.2 | KY817243 | [38] | |
| Scaphoideus nigrivalveus | 15,235 | 76.6 | KY817244 | [38] | |
| Scaphoideus varius | 15,207 | 75.9 | KY817245 | [38] | |
| Phlogotettix sp. | 15,136 | 77.9 | KY039135 | [23] | |
| Phlogotettix sp. | 12,794 | 77 | KX437721 | [15] | |
| Drabescoides nuchalis | 15,309 | 75.6 | NC_028154 | [39] | |
| Agellus sp. | 14,819 | 75.8 | KX437738 | [15] | |
| Athysanopsis sp. | 14,573 | 74.1 | KX437726 | [15] | |
| Dryadomorpha sp. | 12,297 | 74.1 | KX437736 | [15] | |
| Tambocerus sp. | 15,955 | 76.4 | KT827824 | [40] | |
| Cicadula sp. | 14,929 | 74.1 | KX437724 | [15] | |
| Orosius orientalis | 15,513 | 72 | KY039146 | [23] | |
| Pellucidus guizhouensis | 16,555 | 78 | MF784429 | Unpublished | |
| Centrotinae | Centrotus cornutus | 14,696 | 76.9 | KX437728 | [15] |
| Tricentrus sp. | 15,419 | 78.5 | KY039118 | Unpublished | |
| Leptobelus gazella | 16,007 | 78.8 | NC_023219 | [41] | |
| Leptobelus sp. | 15,201 | 77.5 | JQ910984 | [42] | |
| Smiliinae | Entylia carinata | 15,662 | 78.1 | NC_033539 | [43] |
| Aetalioninae | Darthula hardwickii | 15,355 | 78 | NC_026699 | [44] |
| outgroup | Callitettix braconoides | 15,637 | 77.2 | NC_025497 | [45] |
| Magicicada tredecim | 14,435 | 76.3 | NC_041652 | [46] |
| Gene | Direction | Location | Anticodon | Size (bp) | Start Codon | Stop Codon | Intergenic Nucleotides |
|---|---|---|---|---|---|---|---|
| trnI | J | 1–63 | GAU | 63 | |||
| trnQ | N | 61–128 | UUG | 68 | −3 | ||
| trnM | J | 139–206 | CAU | 68 | 10 | ||
| ND2 | J | 207–1178 | 972 | ATT | TAA | 0 | |
| trnW | J | 1177–1244 | UCA | 68 | −2 | ||
| trnC | N | 1237–1299 | GCA | 63 | −8 | ||
| trnY | N | 1303–1367 | GUA | 65 | 3 | ||
| COX1 | J | 1371–2906 | 1536 | ATG | TAA | 3 | |
| trnL | J | 2908–2972 | UAA | 65 | 1 | ||
| COX2 | J | 2973–3651 | 679 | ATT | T | 0 | |
| trnK | J | 3652–3722 | CUU | 71 | 0 | ||
| trnD | J | 3722–3784 | GUC | 63 | −1 | ||
| ATP8 | J | 3785–3937 | 153 | TTG | TAA | 0 | |
| ATP6 | J | 3931–4581 | 651 | ATG | TAA | −7 | |
| COX3 | J | 4582–5361 | 780 | ATG | TAA | 0 | |
| trnG | J | 5361–5423 | UCC | 63 | −1 | ||
| ND3 | J | 5424–5777 | 354 | ATT | TAA | 0 | |
| trnA | J | 5780–5840 | UGC | 61 | 2 | ||
| trnR | J | 5841–5902 | UCG | 62 | 0 | ||
| trnN | J | 5902–5967 | GUU | 66 | −1 | ||
| trnS | J | 5967–6032 | GCU | 66 | −1 | ||
| trnE | J | 6033–6095 | UUC | 63 | 0 | ||
| trnF | N | 6095–6161 | GAA | 67 | −1 | ||
| ND5 | N | 6142–7839 | 1698 | ATT | TAA | −20 | |
| trnH | N | 7837–7897 | GUG | 61 | −3 | ||
| ND4 | N | 7897–9219 | 1320 | ATG | TAA | −1 | |
| ND4L | N | 9213–9494 | 282 | ATG | TAA | −7 | |
| trnT | J | 9497–9561 | UGU | 65 | 2 | ||
| trnP | N | 9562–9627 | UGG | 66 | 0 | ||
| ND6 | J | 9630–10,118 | 489 | ATT | TAA | 2 | |
| CYTB | J | 10,111–11,247 | 1137 | ATG | TAG | −8 | |
| trnS | J | 11,246–11,310 | UGA | 65 | −2 | ||
| ND1 | N | 11,326–12,243 | 918 | ATT | TAA | 15 | |
| trnL | N | 12,244–12,306 | UAG | 63 | 0 | ||
| l–rRNA | N | 12,307–13,521 | 1215 | 0 | |||
| trnV | N | 13,522–13,585 | UAC | 64 | 0 | ||
| s–rRNA | N | 13,586–14,325 | 740 | 0 | |||
| Control region | 14,326–15,621 | 1296 |
| Gene | Direction | Location | Anticodon | Size (bp) | Start Codon | Stop Codon | Intergenic Nucleotides |
|---|---|---|---|---|---|---|---|
| trnI | J | 1–63 | GAU | 63 | |||
| trnQ | N | 61–128 | UUG | 68 | −3 | ||
| trnM | J | 139–206 | CAU | 68 | 10 | ||
| ND2 | J | 207–1178 | 972 | ATT | TAA | 0 | |
| trnW | J | 1177–1244 | UCA | 68 | −2 | ||
| trnC | N | 1299–1237 | GCA | 63 | −8 | ||
| trnY | N | 1367–1303 | GUA | 65 | 3 | ||
| COX1 | J | 1371–2906 | 1536 | ATG | TAA | 3 | |
| trnL | J | 2908–2972 | UAA | 65 | 1 | ||
| COX2 | J | 2973–3651 | 679 | ATT | T | 0 | |
| trnK | J | 3652–3722 | CUU | 71 | 0 | ||
| trnD | J | 3722–3784 | GUC | 63 | −1 | ||
| ATP8 | J | 3785–3937 | 153 | TTG | TAG | 0 | |
| ATP6 | J | 3931–4581 | 651 | ATG | TAA | −7 | |
| COX3 | J | 4582–5361 | 780 | ATG | TAA | 0 | |
| trnG | J | 5361–5423 | UCC | 63 | −1 | ||
| ND3 | J | 5424–5777 | 354 | ATT | TAA | 0 | |
| trnA | J | 5780–5840 | UGC | 61 | 2 | ||
| trnR | J | 5841–5902 | UCG | 62 | 0 | ||
| trnN | J | 5902–5967 | GUU | 66 | −1 | ||
| trnS | J | 5967–6032 | GCU | 66 | −1 | ||
| trnE | J | 6033–6095 | UUC | 63 | 0 | ||
| trnF | N | 6160–6095 | GAA | 66 | −1 | ||
| ND5 | N | 7838–6141 | 1698 | ATT | TAA | −20 | |
| trnH | N | 7896–7836 | GUG | 61 | −3 | ||
| ND4 | N | 9218–7896 | 1323 | ATG | TAA | −1 | |
| ND4L | N | 9493–9212 | 282 | ATG | TAA | −7 | |
| trnT | J | 9496–9560 | UGU | 65 | 2 | ||
| trnP | N | 9626–9561 | UGG | 66 | 0 | ||
| ND6 | J | 9629–10,117 | 489 | ATT | TAA | 2 | |
| CYTB | J | 10,110–11,240 | 1131 | ATG | TAA | −8 | |
| trnS | J | 11,244–11,307 | UGA | 64 | 3 | ||
| ND1 | N | 12,240–11,323 | 918 | ATT | TAA | 15 | |
| trnL | N | 12,303–12,241 | UAG | 63 | 0 | ||
| l–rRNA | N | 13,520–12,304 | 1217 | 0 | |||
| trnV | N | 13,583–13,521 | UAC | 63 | 0 | ||
| s–rRNA | N | 14,381–13,584 | 798 | 0 | |||
| Control region | 14,382–15,895 | 1514 |
| Species | Regions | Length (bp) | T% | C% | A% | G% | A+T% | AT Skew | GC Skew |
|---|---|---|---|---|---|---|---|---|---|
| A. grahami | Whole genome | 15,621 | 36.6 | 11.6 | 41.9 | 9.9 | 78.6 | 0.068 | −0.080 |
| PCGs * | 10,972 | 44.6 | 11.1 | 32.9 | 11.4 | 77.5 | −0.150 | 0.012 | |
| 1st codon position ** | 3657 | 38.3 | 10.6 | 35.4 | 15.8 | 73.6 | −0.040 | 0.199 | |
| 2nd codon position ** | 3657 | 48.1 | 17.1 | 20.9 | 13.9 | 69.0 | −0.394 | −0.101 | |
| 3rd codon position ** | 3657 | 47.4 | 5.7 | 42.5 | 4.3 | 90.0 | −0.054 | −0.131 | |
| tRNAs *** | 1426 | 39.2 | 8.4 | 41.0 | 11.4 | 80.2 | 0.022 | 0.152 | |
| rRNAs **** | 1955 | 45.9 | 6.9 | 36.2 | 11.0 | 82.1 | −0.119 | 0.234 | |
| Control region | 1296 | 38.1 | 9.1 | 42.3 | 10.5 | 80.4 | 0.052 | 0.071 | |
| A. xanthonota | Whole genome | 15,894 | 36.7 | 11.7 | 41.8 | 9.9 | 78.4 | 0.065 | −0.082 |
| PCGs * | 10,966 | 44.6 | 11.2 | 32.8 | 11.5 | 77.4 | −0.152 | 0.013 | |
| 1st codon position ** | 3655 | 38.3 | 10.5 | 35.4 | 15.8 | 73.8 | −0.039 | 0.203 | |
| 2nd codon position ** | 3655 | 48.0 | 17.0 | 21.0 | 13.9 | 69.1 | −0.391 | −0.103 | |
| 3rd codon position ** | 3655 | 47.3 | 6.0 | 42.0 | 4.7 | 89.3 | −0.059 | −0.118 | |
| tRNAs *** | 1423 | 39.3 | 8.6 | 40.7 | 11.4 | 80.0 | 0.018 | 0.137 | |
| rRNAs **** | 2015 | 45.8 | 6.9 | 36.2 | 11.1 | 81.9 | −0.117 | 0.231 | |
| Control region | 1513 | 38.8 | 8.9 | 41.1 | 11.2 | 79.9 | 0.029 | 0.118 |
| Species | Whole Genome | PCGs * | tRNAs ** | rRNAs *** | Control Region | |||||||
|---|---|---|---|---|---|---|---|---|---|---|---|---|
| Size (bp) | AT% | AT Skew | GC Skew | Size (bp) | AT% | Size (bp) | AT% | Size (bp) | AT% | Size (bp) | AT% | |
| A. grahami | 15,621 | 78.6 | 0.068 | −0.080 | 10,972 | 77.5 | 1426 | 80.2 | 1955 | 82.1 | 1296 | 80.4 |
| A. xanthonota | 15,894 | 78.4 | 0.065 | −0.082 | 10,973 | 77.4 | 1423 | 80.0 | 2015 | 81.9 | 1513 | 79.9 |
| B. ferruginea | 15,262 | 76.5 | 0.170 | −0.150 | 10,974 | 75.0 | 1443 | 79.9 | 1915 | 78.4 | 1006 | 84.7 |
| B. qiongana | 15,788 | 76.9 | 0.166 | −0.136 | 10,975 | 75.3 | 1437 | 80.0 | 1929 | 78.3 | 1491 | 84.2 |
| Ci. viridis | 13,461 | 78.8 | 0.059 | −0.074 | 10,976 | 78.5 | 1283 | 79.3 | 1193 | 82.1 | / | / |
| Ci. viridis | 15,880 | 78.1 | 0.058 | −0.076 | 10,977 | 77.0 | 1425 | 78.3 | 1919 | 80.9 | 1645 | 82.4 |
| Co. yasumatsui | 15,019 | 77.2 | 0.089 | −0.126 | 10,978 | 75.7 | 1412 | 79.7 | 2020 | 79.7 | 658 | 89.5 |
| Cuerna sp. | 12,597 | 77.5 | 0.062 | −0.089 | 10,979 | 77.1 | 1352 | 79.5 | 313 | 82.1 | / | / |
| H. vitripennis | 15,304 | 78.4 | 0.097 | −0.118 | 10,980 | 77.2 | 1416 | 78.7 | 1929 | 79.7 | 1033 | 88.1 |
Publisher’s Note: MDPI stays neutral with regard to jurisdictional claims in published maps and institutional affiliations. |
© 2021 by the authors. Licensee MDPI, Basel, Switzerland. This article is an open access article distributed under the terms and conditions of the Creative Commons Attribution (CC BY) license (https://creativecommons.org/licenses/by/4.0/).
Share and Cite
Jiang, Y.; Li, H.-X.; Yu, X.-F.; Yang, M.-F. Characterization of Two Complete Mitochondrial Genomes of Atkinsoniella (Hemiptera: Cicadellidae: Cicadellinae) and the Phylogenetic Implications. Insects 2021, 12, 338. https://doi.org/10.3390/insects12040338
Jiang Y, Li H-X, Yu X-F, Yang M-F. Characterization of Two Complete Mitochondrial Genomes of Atkinsoniella (Hemiptera: Cicadellidae: Cicadellinae) and the Phylogenetic Implications. Insects. 2021; 12(4):338. https://doi.org/10.3390/insects12040338
Chicago/Turabian StyleJiang, Yan, Hao-Xi Li, Xiao-Fei Yu, and Mao-Fa Yang. 2021. "Characterization of Two Complete Mitochondrial Genomes of Atkinsoniella (Hemiptera: Cicadellidae: Cicadellinae) and the Phylogenetic Implications" Insects 12, no. 4: 338. https://doi.org/10.3390/insects12040338
APA StyleJiang, Y., Li, H.-X., Yu, X.-F., & Yang, M.-F. (2021). Characterization of Two Complete Mitochondrial Genomes of Atkinsoniella (Hemiptera: Cicadellidae: Cicadellinae) and the Phylogenetic Implications. Insects, 12(4), 338. https://doi.org/10.3390/insects12040338
