ColEval: Honeybee COLony Structure EVALuation for Field Surveys
Abstract
1. Introduction
2. Materials and Methods
2.1. Description of the ColEval Method
- Number for worker bees;
- Number for capped and open brood cells;
- Area (dm2) for cells filled with honey/nectar or pollen.
2.2. Learning and Training
2.3. Data Collection Support Spreadsheet
2.4. Impact on Colony
3. Results
3.1. Data Transformation
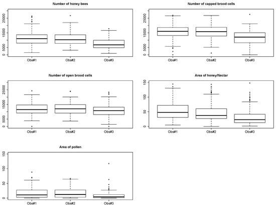
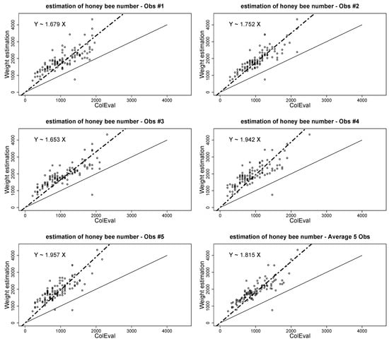
3.2. Method Validation
4. Discussion
Supplementary Materials
Author Contributions
Funding
Acknowledgments
Conflicts of Interest
References
- Rosenkranz, P.; Aumeier, P.; Ziegelmann, B. Biology and control of Varroa destructor. J. Invertebr. Pathol. 2010, 103, S96–S119. [Google Scholar] [CrossRef] [PubMed]
- Nazzi, F.; Le Conte, Y. Ecology of Varroa destructor, the major ectoparasite of the western honey bee, Apis mellifera. Annu. Rev. Entomol. 2016, 61, 417–432. [Google Scholar] [CrossRef] [PubMed]
- Van Engelsdorp, D.; Meixner, M.D. A historical review of managed honey bee populations in Europe and the United States and the factors that may affect them. J. Invertebr. Pathol. 2010, 103, S80–S95. [Google Scholar] [CrossRef] [PubMed]
- Ellis, J.D.; Evans, J.D.; Pettis, J. Colony losses, managed colony population decline, and Colony Collapse Disorder in the United States. J. Apic. Res. 2010, 49, 134–136. [Google Scholar] [CrossRef]
- Neumann, P.; Carreck, N.L. Honey bee colony losses. J. Apic. Res. 2010, 49, 104–106. [Google Scholar] [CrossRef]
- Potts, S.G.; Roberts, S.P.M.; Dean, R.; Maris, G.; Brown, M.A.; Jones, R.; Neumann, P.; Settele, J. Declines of managed honey bees and beekeepers in Europe. J. Apic. Res. 2010, 49, 15–22. [Google Scholar] [CrossRef]
- Evans, J.D.; Saegerman, C.; Mullin, C.; Haubruge, E.; Nguyen, B.K.; Frazier, M.; Frazier, J.; Cox-Foster, D.; Chen, Y.; Underwood, R.; et al. Colony collapse disorder: A descriptive study. PLoS ONE 2009, 4, e6481. [Google Scholar]
- Pettis, J.S.; Delaplane, K.S. Coordinated responses to honey bee decline in the USA. Apidologie 2010, 41, 256–263. [Google Scholar] [CrossRef]
- Dietemann, V.; Ellis, J.D.; Neumann, P. The Coloss Beebook, Volume I: Standard Methods for Apis Mellifera Research; International Bee Research Association: Cardiff, UK, 2013; p. 636. ISBN 978-0-86098-274-6. [Google Scholar]
- Delaplane, K.S.; van der Steen, J.; Guzmann, E. Standard methods for estimating strength parameters of Apis mellifera colonies. In The Coloss Beebook, Volume I: Standard Methods for Apis Mellifera Research; Dietemann, V., Ellis, J.D., Neumann, P., Eds.; International Bee Research Association: Cardiff, UK, 2013; Volume 52. [Google Scholar] [CrossRef]
- Marchetti, S. Il metodo dei sesti per la valutazione numerica degli adulti in famiglie di Apis mellifera L. Apicoltura 1985, 1, 41–61. [Google Scholar]
- Imdorf, A.; Buehlmann, G.; Gerig, L. A test of the method of estimation of brood areas and number of worker bees in free-flying colonies [Liebefeld method]. Apidologie 1987, 18, 137–146. [Google Scholar] [CrossRef]
- Imdorf, A.; Gerig, L. Course in determination of colony strength. Swiss Federal Dairy Research Institute, Liebefeld CH-3003 Bern Switzerland. Schweiz Bienen-Zeitung 2001, 106, 199–204. [Google Scholar]
- Pirk, C.W.; De Miranda, J.R.; Kramer, M.; Murray, T.E.; Nazzi, F.; Shutler, D.; Van der Steen Jozef, J.M.; Van Dooremalen, C. Statistical guidelines for Apis mellifera research. J. Apic. Res. 2013, 52, 1–24. [Google Scholar] [CrossRef]
- Cornelissen, B.; Blacquière, T.; van der Steen, J. Estimating honey bee colony size using digital photography. In Proceedings of the 41st International Apicultural Congress, Montpellier, France, 15–20 September 2009; p. 48. [Google Scholar]
- WSC Scientific GmbH. Honeybee Complete Version 4.2; DE282765405; WSC Scientific GmbH: Heidelberg, Germany, 2014. [Google Scholar]
- Yoshiyama, M.; Kimura, K.; Saitoh, K.; Iwata, H. Measuring colony development in honey bees by simple digital analysis. J. Apic. Res. 2011, 50, 170–172. [Google Scholar] [CrossRef]
- Sparavigna, A.C. Analysis of a natural honeycomb by means of an image segmentation. Philica 2016, 2016, hal-01416832. [Google Scholar]
- Jeker, L.; Schmid, L.; Meschberger, T.; Candolfi, M.; Pudenz, S.; Magyar, J.P. Computer-assisted digital image analysis and evaluation of brood development in honey bee combs. J. Apic. Res. 2012, 51, 63–73. [Google Scholar] [CrossRef]
- Colin, T.; Bruce, J.; Meikle, W.G.; Barron, A.B. The development of honey bee colonies assessed using a new semi-automated brood counting method: CombCount. PLoS ONE 2018, 13, e0205816. [Google Scholar] [CrossRef]
- Alburaki, M.; Mercier, S.B.P.L.; Loublier, Y.; Chagnon, M.; Derome, N. Neonicotinoid-Coated Zea mays Seeds Indirectly Affect Honeybee Performance and Pathogen Susceptibility in Field Trials. PLoS ONE 2018, 10, e0125790. [Google Scholar] [CrossRef]
- Alburaki, M.; Steckel, S.J.; Williams, M.T.; Skinner, J.A.; Tarpy, D.R.; Meikle, W.G.; Adamczyk, J.; Stewart, S.D. Agricultural Landscape and Pesticide Effects on Honey Bee (Hymenoptera: Apidae) Biological Traits. J. Econ. Entomol. 2015, 110, 835–847. [Google Scholar] [CrossRef]
- Genersch, E.; von der Ohe, W.; Kaatz, H.; Schroeder, A.; Otten, C.; Büchler, R.; Berg, S.; Ritter, W.; Mühlen, W.; Gisder, S.; et al. The German bee monitoring project: A long-term study to understand periodically high winter losses of honey bee colonies. Apidologie 2010, 41, 332–352. [Google Scholar] [CrossRef]
- Kretzschmar, A.; Maisonnasse, A.; Dussaubat, C.; Cousin, M.; Vidau, C. Performances des colonies vues par les observatoires de ruchers. Innov. Agron. 2016, 53, 39–50. [Google Scholar]
- Becher, M.A.; Osborne, J.L.; Thorbek, P.; Kennedy, P.J.; Grimm, V. Towards a systems approach for understanding honeybee decline: A stocktaking and synthesis of existing models. J. Appl. Ecol. 2013, 50, 868–880. [Google Scholar] [CrossRef] [PubMed]
- Gonsamo, A.; D’Odorico, P. Citizen science: Best practices to remove observer bias in trend analysis. Int. J. Biometeorol. 2014, 58, 2159–2163. [Google Scholar] [CrossRef] [PubMed]
- Fitzpatrick, M.C.; Preisser, E.L.; Ellison, A.M.; Elkinton, J.S. Observer bias and the detection of low-density populations. Ecol. Appl. 2009, 19, 1673–1679. [Google Scholar] [CrossRef] [PubMed]
- Alaux, C.; Soubeyrand, S.; Prado, A.; Peruzzi, M.; Maisonnasse, A.; Vallon, J.; Hernandez, J.; Jourdan, P.; Le Conte, Y. Measuring biological age to assess colony demographics in honeybees. PLoS ONE 2018, 13, e0209192. [Google Scholar] [CrossRef]
- Dubois, E.; Reis, C.; Schurr, F.; Cougoule, N.; Ribière-Chabert, M. Effect of pollen traps on the relapse of chronic bee paralysis virus in honeybee (Apis mellifera) colonies. Apidologie 2018, 49, 235–242. [Google Scholar] [CrossRef]
- Kretzschmar, A.; Frontero, L. Factors of honeybee colony performances on sunflower at apiary scale. OCL 2017, 24, D604. [Google Scholar] [CrossRef]
- Rollin, O.; Garibaldi, L.A. Impacts of honeybee density on crop yield: A meta-analysis. J. Appl. Ecol. 2019, 56, 1152–1163. [Google Scholar] [CrossRef]
- Monchanin, C.; Henry, M.; Decourtye, A.; Dalmon, A.; Fortini, D.; Bœuf, E.; Fourrier, J. Hazard of a neonicotinoid insecticide on the homing flight of the honeybee depends on climatic conditions and Varroa infestation. Chemosphere 2019, 224, 360–368. [Google Scholar] [CrossRef]
- Sutter, L.; Aebi, A.; Buchwalder, G.; Caballé, P.; Dietemann, V.; Girardin, O.; Hernandez, J.; Jacopin-Bucher, E.; Mayor, P.; Ménétrier, V.; et al. Agriculteurs, apiculteurs et chercheurs unis pour la sauvegarde des pollinisateurs. Rech. Agron. Suisse 2019, 10, 424–429. [Google Scholar]
- Hernandez, J. Etablissement et Validation D’une Méthode Pour L’estimation de L’état des Colonies D’abeilles. Méthode ColEval. Master’s Thesis, Université de Montpellier, Montpellier, France, 2013; p. 16. [Google Scholar]
- Abràmoff, M.D.; Magalhães, P.J.; Ram, S.J. Image processing with ImageJ. Biophotonics Int. 2004, 11, 36–42. [Google Scholar]
- R Core Team. R: A Language and Environment for Statistical Computing. R Foundation for Statistical Computing; R Core Team: Vienna, Austria, 2018; Available online: https://www.R-project.org/ (accessed on 2 May 2019).
- Lehziel, A. Validation D’une Methode Non Destructive D’estimation de L’infestation D’une Ruche en Varroas. Master’s Thesis, Université de Nancy INPL, Nancy, France, 2011. [Google Scholar]
- Burgett, M.; Burikam, I. Number of adult honey bees (Hymenoptera: Apidae) occupying a comb: A standard for estimating colony populations. J. Econ. Entomol. 1985, 78, 1154–1156. [Google Scholar] [CrossRef]
- Imdorf, A.; Ruoff, K.; Fluri, P. Le développement des colonies chez l’abeille méllifère. In Proceedings of the ALP Forum, Ho Chi Minh City, Vietnam, 5–6 December 2017; Volume 68, p. 67. [Google Scholar]
- Avni DKielmanowicz, M.G.; Inberg, A.; Golani, Y.; Lerner, I.M.; Gafni, G.; Mahler, T. Quantitative analytical tools for bee health (Apis mellifera) assessment. In Proceedings of the Hazards of Pesticides to Bees—12th International Symposium of the ICP-PR Bee Protection Group, Ghent, Belgium, 15–17 September 2014; pp. 103–110. [Google Scholar]
- Winston, M.L. The Biology of the Honey Bee; Harvard University Press: Cambridge, MA, USA, 1987. [Google Scholar]





| Hive Type | Number of Honeybees | Number of Capped Cells | Number of Open Cells | Area of Pollen (dm2) | Area of Honey/Nectar (dm2) |
|---|---|---|---|---|---|
| Dadant (hive) | 14 | 40 | 40 | 0.1134 | 0.114 |
| Langstroth (hive) * | 11 | 30.2 | 30.2 | 0.0903 | 0.0903 |
| Dadant (supper) | 7 | 20 | 20 | 0.057 | 0.057 |
© 2020 by the authors. Licensee MDPI, Basel, Switzerland. This article is an open access article distributed under the terms and conditions of the Creative Commons Attribution (CC BY) license (http://creativecommons.org/licenses/by/4.0/).
Share and Cite
Hernandez, J.; Maisonnasse, A.; Cousin, M.; Beri, C.; Le Quintrec, C.; Bouetard, A.; Castex, D.; Decante, D.; Servel, E.; Buchwalder, G.; et al. ColEval: Honeybee COLony Structure EVALuation for Field Surveys. Insects 2020, 11, 41. https://doi.org/10.3390/insects11010041
Hernandez J, Maisonnasse A, Cousin M, Beri C, Le Quintrec C, Bouetard A, Castex D, Decante D, Servel E, Buchwalder G, et al. ColEval: Honeybee COLony Structure EVALuation for Field Surveys. Insects. 2020; 11(1):41. https://doi.org/10.3390/insects11010041
Chicago/Turabian StyleHernandez, Julie, Alban Maisonnasse, Marianne Cousin, Constance Beri, Corentin Le Quintrec, Anthony Bouetard, David Castex, Damien Decante, Eloïs Servel, Gerald Buchwalder, and et al. 2020. "ColEval: Honeybee COLony Structure EVALuation for Field Surveys" Insects 11, no. 1: 41. https://doi.org/10.3390/insects11010041
APA StyleHernandez, J., Maisonnasse, A., Cousin, M., Beri, C., Le Quintrec, C., Bouetard, A., Castex, D., Decante, D., Servel, E., Buchwalder, G., Brunet, F., Feschet-Destrella, E., de Bellescize, K., Kairo, G., Frontero, L., Pédehontaa-Hiaa, M., Buisson, R., Pouderoux, T., Aebi, A., & Kretzschmar, A. (2020). ColEval: Honeybee COLony Structure EVALuation for Field Surveys. Insects, 11(1), 41. https://doi.org/10.3390/insects11010041

