The Identification of an Adequate Stressing Level to Find the Proper Running-In Conditions of a Lubricated DLC-Metal-System
Abstract
1. Introduction
2. Experimental Setup
2.1. Radionuclide Tribometry
2.2. Samples and Lubricant
2.3. Test Procedure
3. Results
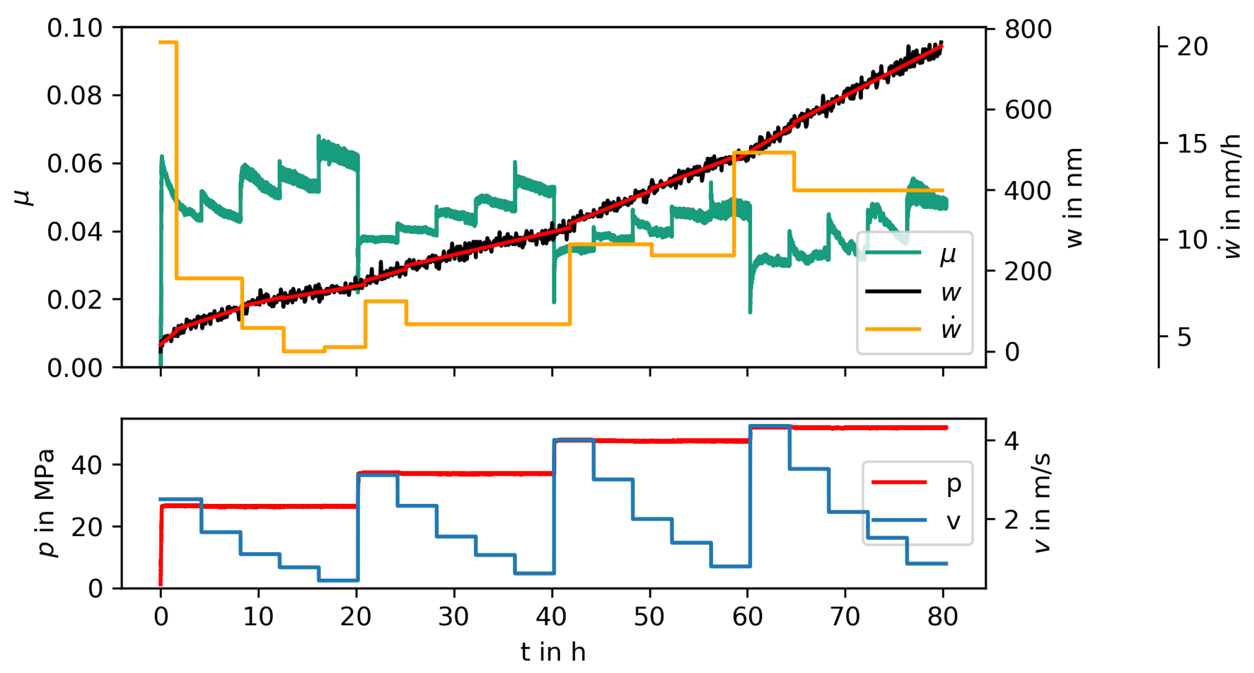
3.1. Initial Parameter Field
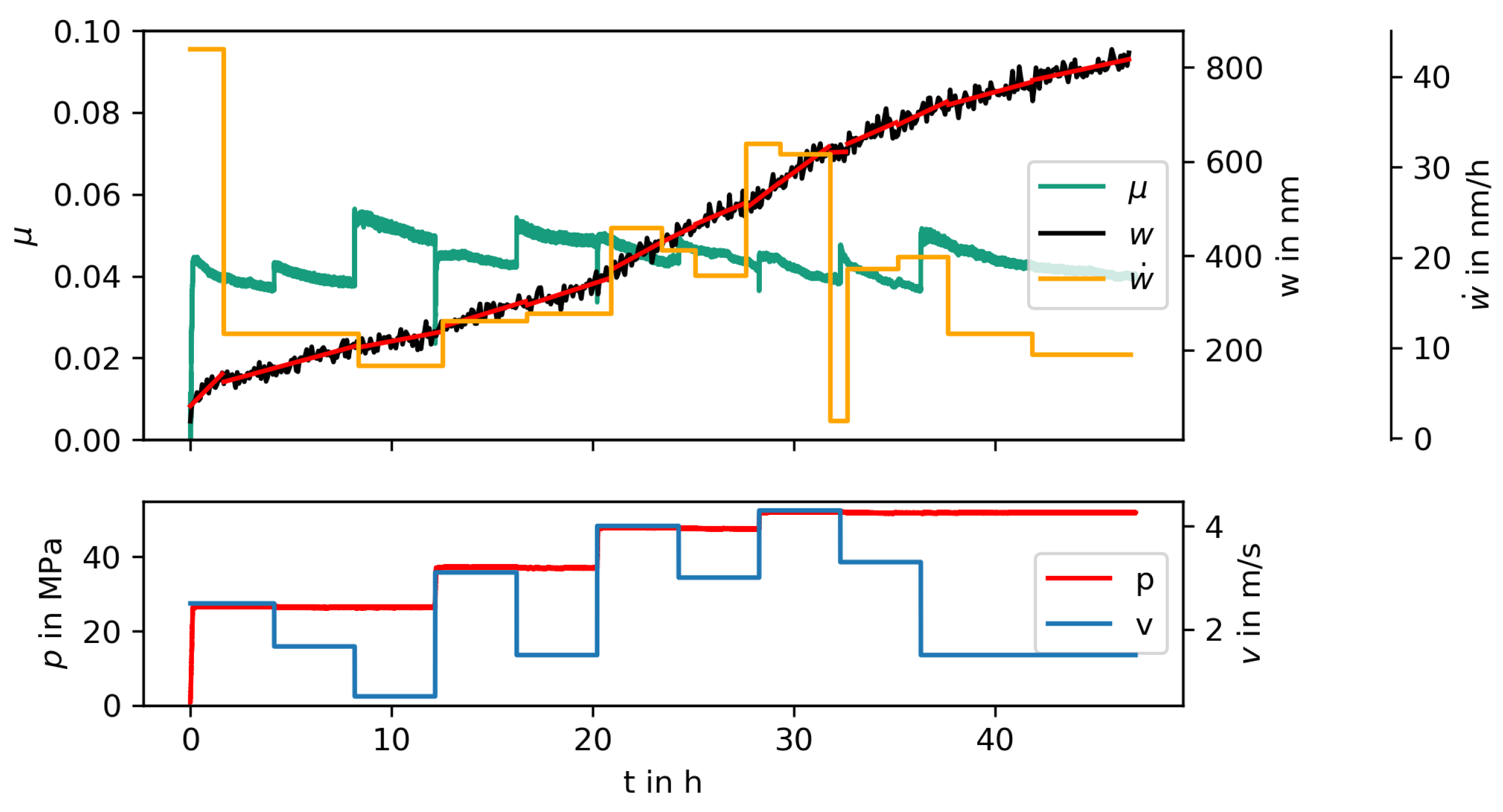
3.2. Derivation of Optimized Parameter Field—Approach I
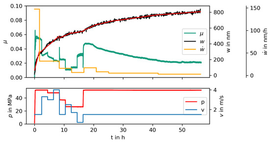
3.3. Derivation of Optimized Parameter Field—Approach II
4. Discussion
5. Conclusions
- With an unknown or altered tribological system, an initial stressing field composed of different load and sliding velocity levels has to be passed. The parameter field should comprise stressing conditions as in real applications. The parameter field should be passed with increasing loads. The ratio has to be controlled to avoid overstressing of the tribological system.
- From stressing levels yielding significant changes in friction and wear rate as well as in system stability and sensitivity, key stressing levels can be identified.
- Using the key levels, a new parameter field can be derived and should be arranged in a way that the high-power key levels start the sequence of stressing states.
- In case this parameter field does not result in ultra-low wear rates and friction coefficients, an additional parameter field should be run to redefine the key levels.
- If additional changes in wear rates and friction coefficient occur after returning to the initial stress level, a redefinition of the key levels is required.
Author Contributions
Funding
Conflicts of Interest
References
- Lalić, B.; Komar, I.; Dobrota, D. Structural Modifications for Improving the Tribological Properties of the Cylinder Unit inTwo-stroke Slow Speed Marine Diesel Engines. Trans. Marit. Sci. 2012, 1, 89–95. [Google Scholar] [CrossRef][Green Version]
- Yousfi, M.; Mezghani, S.; Demirci, I.; El Mansori, M. Smoothness and plateauness contributions to the running-in friction and wear of stratified helical slide and plateau honed cylinder liners. Wear 2015, 332–333, 1238–1247. [Google Scholar] [CrossRef]
- Lyu, F.; Zhang, J.; Sun, G.; Xu, B.; Pan, M.; Huang, X.; Xu, H. Research on wear prediction of piston/cylinder pair in axial piston pumps. Wear 2020, 456–457, 203338. [Google Scholar] [CrossRef]
- Hammami, M.; Rodrigues, N.; Fernandes, C.; Martins, R.; Seabra, J.; Abbes, M.S.; Haddar, M. Axle gear oils: Friction, wear and tribofilm generation under boundary lubrication regime. Tribol. Int. 2017, 114, 88–108. [Google Scholar] [CrossRef]
- Scherge, M. The Running-in of Lubricated Metal-Metal Contacts—A Review on Ultra-Low Wear Systems. Lubricants 2018, 6, 54. [Google Scholar] [CrossRef]
- Dowson, D.; Taylor, C.; Godet, M.; Berthe, D. (Eds.) The Running-in Process in Tribology; Butterworth-Heinemann: Oxford, UK, 1982; p. iv. [Google Scholar] [CrossRef]
- Blau, P.J. Running-in: Art or engineering? J. Mater. Eng. 1991, 13, 47–53. [Google Scholar] [CrossRef]
- Scherge, M.; Linsler, D.; Schlarb, T. The running-in corridor of lubricated metal-metal contacts. Wear 2015, 342–343, 60–64. [Google Scholar] [CrossRef]
- Scherge, M.; Poehlmann, K.; Gerve, A. Wear measurement using radionuclide-technique (RNT). Wear 2003, 254, 801–817. [Google Scholar] [CrossRef]
- Shakhvorostov, D.; Gleising, B.; Buescher, R.; Dudzinski, W.; Fischer, A.; Scherge, M. Microstructure of tribologically induced nanolayers produced at ultra-low wear rates. Wear 2007, 263, 1259–1265. [Google Scholar] [CrossRef]
- Scherge, M.; Brink, A.; Linsler, D. Tribofilms Forming in Oil-Lubricated Contacts. Lubricants 2016, 4, 27. [Google Scholar] [CrossRef]
- Blau, P. On the nature of running-in. Tribol. Int. 2005, 38, 1007–1012. [Google Scholar] [CrossRef]
- Brink, A.; Lichtenberg, K.; Scherge, M. Influencing the tibological performance by different initial microstructures and adjusting stressing levels during the running-in. Wear 2016, 360–361, 114–120. [Google Scholar] [CrossRef]
- Antusch, S.; Dienwiebel, M.; Nold, E.; Albers, P.; Spicher, U.; Scherge, M. On the tribochemical action of engine soot. Wear 2010, 269, 1–12. [Google Scholar] [CrossRef]




| Entity | Unit | Value |
|---|---|---|
| lubricant | Fuchs engine oil SAE 0W20 | |
| samples | pin: iron-coated aluminum/disk: DLC (ta-C) | |
| oil temperature | 80 | |
| velocities | m/s | 0.5–4.2 |
| applied load | N | 500/700/900/980 |
| track radius | mm | 32/39/46 |
| pin diameter | mm | 4.9 |
| nominal pressure | MPa | 26/38/48/52 |
| level duration | h | 4 |
© 2020 by the authors. Licensee MDPI, Basel, Switzerland. This article is an open access article distributed under the terms and conditions of the Creative Commons Attribution (CC BY) license (http://creativecommons.org/licenses/by/4.0/).
Share and Cite
Faller, J.; Scherge, M. The Identification of an Adequate Stressing Level to Find the Proper Running-In Conditions of a Lubricated DLC-Metal-System. Lubricants 2020, 8, 88. https://doi.org/10.3390/lubricants8090088
Faller J, Scherge M. The Identification of an Adequate Stressing Level to Find the Proper Running-In Conditions of a Lubricated DLC-Metal-System. Lubricants. 2020; 8(9):88. https://doi.org/10.3390/lubricants8090088
Chicago/Turabian StyleFaller, Joachim, and Matthias Scherge. 2020. "The Identification of an Adequate Stressing Level to Find the Proper Running-In Conditions of a Lubricated DLC-Metal-System" Lubricants 8, no. 9: 88. https://doi.org/10.3390/lubricants8090088
APA StyleFaller, J., & Scherge, M. (2020). The Identification of an Adequate Stressing Level to Find the Proper Running-In Conditions of a Lubricated DLC-Metal-System. Lubricants, 8(9), 88. https://doi.org/10.3390/lubricants8090088

