Abstract
Recent theoretical developments linking degradation to the thermodynamic concept of entropy have allowed a new approach to modeling all types of degradation. The theory has been successfully applied to wear, fatigue, and numerous other forms of degradation and experimentation has confirmed its applicability to modeling the mechanical degradation of lubricating grease. This paper overviews the mechanical degradation of grease, discusses past and present modeling techniques, shows how new techniques can be used to predict grease life, and provides suggestions for future research.
1. Introduction
Grease is a common lubricant composed of base oil and a thickener and is used extensively in machinery due to its unique properties. It is often the first choice of lubricant for rolling bearings, journal bearings, slider bearings, gears, pivots, couplings, guides, pin-bushings, and sliding contacts, especially if these are to be placed in an inaccessible location [1,2]. Because of its thickener structure, grease has a relatively thick consistency (firmness), which differentiates it from oil. In contrast to oil, this consistency allows grease to stay in place without the need for a complicated distribution system, supply arrangement, or reservoir. Grease has good sealing capacity, resists leakage, provides corrosion prevention properties, and needs little maintenance. Nevertheless, microstructural complexity and its degradation during long-term operation render the development of predictive models of grease behavior a difficult task. Grease is thixotropic, meaning its properties change with time upon agitation (shearing) [3]. When the shearing stops, the properties partially return to their initial state, but not completely [4]. The change in bulk properties due to shearing is mechanical degradation and is one of the main ways through which grease degrades.
Grease degradation can be broken down into two regimes: physical degradation and chemical degradation [5,6,7,8]. Physical degradation includes mechanical degradation of the thickener structure due to shearing, separation of the base oil and thickener, evaporation of the base oil, and contamination of the grease by foreign particles. Chemical degradation [9,10,11] involves all chemical reactions that take place, including oxidation of both the base oil and thickener and the depletion of additives. Chemical degradation is dominant at higher temperatures and during long-term storage of grease, while mechanical degradation is typically dominant when a greased interface is subjected to shearing or working the lubricant at high speeds [7]. This information can be visualized with Figure 1. In practice, both chemical degradation and all types of physical degradation must be considered, and their significance is heavily dependent on grease chemistry [12]. Nevertheless, as long as the operating temperature is well below the oxidation temperature and there is no significant contamination or evaporation, one can assume that mechanical degradation is the main determinant of grease life for many common greases. This is a common situation for lubricated machinery, particularly bearings, and is the main focus of this review paper. For information on additional degradation mechanisms, see the review by Rezasoltani and Khonsari [8].
Figure 1.
Dominant degradation mechanism across shear rate and temperature including long-term storage (no shear); remade from Ito et al. [7].
Degradation is a central issue with the use of grease since it means a grease sample has a limited life. As grease is put to use, its thickener structure degrades, its base oil leaks and/or evaporates, both the thickener and base oil oxidize, and it tends to become contaminated with foreign particles. All of these elements cause the grease’s overall properties to permanently change. Eventually, the properties deteriorate so substantially from those of the pristine grease specified for its application that the degraded grease becomes unusable for its intended purpose and must be replaced. A key property that changes as a grease degrades is consistency: a measure of a grease’s overall “firmness”. Consistency generally determines a grease’s suitability for a particular application and has a major influence on a device’s performance. Pure mechanical degradation causes the consistency to become more fluid since the thickener structure is fragmented into smaller pieces [8,13]. The destruction of the thickener can be visualized through microscopy such as atomic force microscopy (AFM) or scanning electron microscopy (SEM), and Figure 2 shows SEM comparing pristine grease to mechanically degraded grease [8].
Figure 2.
SEM comparing (a) fresh and (b) mechanically degraded grease [8].
Estimating grease life is important since a bearing using grease with degraded properties has the potential for premature failure. Ideally, grease is swept away from moving components once a freshly-greased device begins operation, leaving only a thin film [6]. The excess grease should then remain clear of these components, serving only as a lubricant reservoir. If degradation causes the grease’s consistency to thin sufficiently, the grease may begin to leak out of the bearing, causing lubricant starvation [14]. The degraded grease could also flow into space between moving parts, where it will be churned. Churning can also be catastrophic since it causes significant oil bleed and excessive heat to be generated. Since grease does not have an effective convective mechanism to adequately dissipate this heat, churning can lead to significant chemical degradation. Additionally, the bled oil may leak significantly and the grease will have overall dramatically different properties from what is desired, meaning the lubrication will be ineffective. Poor lubrication will lead to a decrease in mechanical efficiency, wear of solid surfaces, overheating, and eventually failure, causing significant damage to any machine [1].
Life models exist to ensure either a bearing or the grease within is changed before lubrication issues can cause problems. Current widely-used estimates of grease life are mostly used in rolling element bearings and are developed by their manufacturers [2]. The models used are empirical and developed from testing bearings until failure in specially-designed test rigs. These bearing-dependent results are then analyzed with statistical techniques, resulting in the current grease life models used today. The parameter, which represents the amount of time needed for 10% of a set of bearings to fail, is commonly used as a bearing’s life [15,16]. This is dictated by bearing type, geometry, and all modes of grease degradation [6]. Nevertheless, the bearing should be relubricated or replaced well before failure, and common guidelines are to relubricate bearings at approximately half of the [15] or at the [6].
The current grease life estimation methods used by manufacturers for bearings and other greased devices are only valid for those devices, and testing results cannot be reliably applied to others. In addition, these methods are generally incompatible with grease quality monitoring methods. This means that, although a grease’s condition can be analyzed throughout its service life, predicting the remaining life based on this analysis is still not well-defined. Because of these two major issues, developing a model that can predict grease life for a general case and allow the user to update the model through monitoring methods would be a significant step forward in preventing machine failure due to poor lubrication. Promising new approaches for assessing grease degradation that allows both the prediction of grease life and several updates of this estimate have been recently introduced [13,17,18,19,20,21,22,23,24]. This approach involves the application of irreversible thermodynamics to model the irreversible changes that happen to the grease’s microstructure during use.
Irreversible thermodynamics refers to the second law of thermodynamics, which defines entropy (S) and necessitates that the entropy of the universe always increases. The most basic way of thinking about entropy is that it gives details about the direction and method by which processes occur since the entropy of the universe always increases with no exception. When a process involves no dissipative effects and is reversible, there is no change in entropy. A realistic case, however, is a process that has dissipative effects such as heat transfer or chemical reactions where entropy is generated. The generation of entropy means that this process is irreversible. For example, as a grease-lubricated bearing rotates, the grease sample between the moving parts is sheared, irreversibly breaking down its structure. This means that it will never again have exactly the same properties as it did initially. The use of entropy, therefore, offers excellent potential for describing degradation in general and is well-suited for lubricating grease.
Before applying the idea of irreversible thermodynamics to grease, a general framework for formulating degradation was developed and applied to problems involving wear and fatigue. Bryant et al. [25] established the framework for this by proposing the Degradation–Entropy Generation (DEG) theorem, which proposes a degradation measure to be directly proportional to the entropy produced for each dissipative process that occurs. The theorem also establishes that, if there is a critical value of degradation at which a failure occurs, there is also a corresponding critical value of accumulated entropy generation. This idea was then successfully applied to problems involving wear [26,27,28,29] and fatigue [30,31,32,33,34], where the results consistently gave further support to the DEG theorem.
The use of irreversible thermodynamics to model grease degradation was validated as a promising idea by Rezasoltani and Khonsari [17], who established a linear trend between penetration values (a measure of mechanical grease degradation) and entropy density generation (entropy generated per unit volume). This work probed the tribology community to examine the results and to explore the use of entropy generation as an indicator of grease degradation. If a model for grease is fully developed, the DEG theorem could be used to identify the critical accumulated entropy generated by significant degradation processes that results in a sufficiently degraded grease. This then leads to a life estimate for any greased device operating under any conditions. This paper reviews recent development toward this goal, with a summary table of relevant literature given by Table 1.
Table 1.
Summary of literature relating entropy and the mechanical degradation of grease.
The outline of this paper is as follows. In Section 2, the evolution of grease degradation theory is presented. Section 3 then gives details of recent experiments and results, indicating the usefulness of entropy in modeling grease degradation. Section 4 presents a practical application of experimental results and presents a need for future research. Concluding remarks and future suggestions are given in Section 5.
2. Grease Degradation Theory
Degradation is a process by which a system goes from some initial state to one of lesser quality or desirability. Since degradation, by nature, can only decrease the quality or desirability of the studied system, it is inherently linked to the production of entropy. Though the basic idea is a rather simple one, quantifying this information so that it could be used is often difficult. Initial grease degradation models compared the amount of energy used in shearing a grease to the damage on the microstructure. This model [37,38,39] showed promise, but uses many specific parameters unique to one particular shearing situation. It was only after the Degradation–Entropy Generation theorem [25] was established in 2008 that a new modeling technique was developed using entropy. The initial application of the DEG theorem to mechanical degradation of grease [17] showed promising results, making this approach the most recent modeling tool available in describing grease degradation.
2.1. Quantifying Mechanical Degradation
A variety of techniques exist for monitoring the mechanical degradation of grease [8]; each of which tracks a particular property as the grease is sheared. To make the best use of results, the information gathered should be easily quantifiable. Therefore, properties such as shear stress, viscosity, and consistency [22] are used in modeling degradation over time.
2.1.1. Shear Stress
A fundamental property of grease is that it is a shear-thinning fluid, meaning that its viscosity drops with increasing shear rate. This means that the shear stress within a grease is not linearly dependent on shear rate as is true for a Newtonian fluid, shown by Figure 3a [17]. Therefore, the viscosity is a function of shear rate and it has an “apparent” value at a given shear rate. This adds complexity to calculations since the shear rate profile must be known over the entire shearing time in order to accurately calculate the energy dissipated. More importantly in the context of mechanical degradation, grease is thixotropic, meaning that shear stress is a function of time even at a fixed shear rate, shown by Figure 3b [20]. Shear stress can be directly associated with mechanical degradation of grease since the accumulation of stress from shearing causes the structure to break down.
Figure 3.
(a) Grease’s shear-thinning nature [17] and (b) grease’s thixotropic nature [20].
2.1.2. Viscosity
Viscosity can also be used to assess a grease’s degradation. Once again, the shear thinning, thixotropic nature of grease provides somewhat of a challenge, as the viscosity depends on shear rate and time, similar to shear stress. The viscosity of grease over time declines similarly to the shear stress, so viscosity has similar advantages and disadvantages to shear stress as a tool for assessing the mechanical degradation of grease. Overall, the viscosity and shear stress can be measured by a variety of tools such as a rheometer, viscometer, or torque meter by measuring the grease’s resistance to shear at a given shear rate.
2.1.3. Consistency
Consistency is a complex property of grease, which represents the overall “firmness”. Consistency depends heavily on the base oil type, thickener type, thickener concentration, thickener structure, and temperature [1]. Since mechanical degradation causes the thickener structure to permanently change, it results in an overall change to the consistency of a grease sample. Therefore, at a given temperature, the degradation of grease can be assessed by measuring its consistency. The actual methodology for determining consistency has only one formal standard: the cone penetration test given by the American Society for Testing and Materials (ASTM) standard D217 [40] in which a particular cone-shaped weighted tool is allowed to fall into a standardized cup of grease. The depth of penetration after 5 s is measured and used as a measure of consistency. In fact, this consistency measurement is used to categorize a grease into one of nine grades defined by the National Lubricating Grease Institute (NLGI). Since the NLGI grade of a grease is a major consideration in selecting a grease for a given application, this penetration test is ubiquitous in the grease industry. Nevertheless, many researchers find this test requires too large a grease sample and is inadequate for monitoring grease degradation, so they opt to establish consistency through methods discussed in Section 3.1.2.
2.1.4. Infrared Spectroscopy
Grease can also be analyzed through infrared spectral analysis, where the absorbance at a range of wave numbers is established. This method is extremely useful for examining the extent of changes to the chemistry of the grease structure since any chemical reactions will cause a shift in the absorbance. Changes in base oil content (due to evaporation) and additive content (due to oxidation) can be established by infrared spectroscopy [8,41], but its use is limited in monitoring mechanical degradation. Rather, it can be used as a justification that mechanical degradation is dominant by finding that chemical reactions do not take place [13,36].
2.2. An Energy Approach
Before the DEG was established, Kuhn developed a promising approach for characterizing a grease’s degradation behavior subjected to shear [37,38,39]. This approach involved relating the changes in a grease’s microstructure to the work done by shearing it, and he developed a grease degradation model with similarities to solid body wear models. By relating wear rate with viscosity degradation rate and establishing a limiting viscosity, Kuhn then found the amount of frictional energy required per unit volume to be dissipated in the grease to reach the limiting viscosity [37]. This was established as the limiting energy density. The accumulated energy dissipated per unit volume, , can then be compared to the limiting energy density for that particular grease to assess microstructure damage. The calculation of is given by Equation (1). Here, the accumulated frictional energy, , is a function of shear rate, (t), and shear stress, τ(t), integrated over the shearing time interval:
Once a grease reaches the limiting energy density, the grease has reached the state of maximum structural degradation. By using an empirical relation for (t) given by Equation (2), can be given as a function of time and structural degradation intensity, n. and are the shear stress and time corresponding to the state of limiting viscosity:
Equation (2) is then used with Equation (1), yielding Equation (3). This equation describes the structural degradation as a function of time, but the exponent n depends both on the grease used and the shearing conditions:
While this method is grease- and process-specific, it is a promising approach since, if the details are known about a specific shearing process, then the critical accumulated energy density could be used as a criterion for failure, and this is simply a material property. The problem that arises is that this analysis is limited to one specific process with one specific grease and changes to either one means that n must be reevaluated. Therefore, a more robust method that can be more easily applied to any shearing process with any grease is highly desirable.
This energy approach, related to mechanical wear quantification techniques, was used due to the existing degradation theory. However, as the use of entropy to model degradation was studied further, researchers found encouraging results. Experimental results, which strongly link entropy to degradation date back to 2000, when many researchers [42,43,44] found a strong correlation between wear and the production of entropy. As this linear trend between degradation and entropy was observed in an increasing variety of experiments, a theory was developed to link them.
2.3. The Entropy Approach
2.3.1. Degradation–Entropy Generation Theorem (2008)
The DEG theorem [25] was established in 2008 upon consideration of the gap between existing testing machinery capabilities and a scientific theory that had the ability to model degradation dynamics. The main idea of the DEG theorem is to use entropy generation as a fundamental measure of degradation, leading to the creation of appropriate degradation models that are consistent with the laws of thermodynamics. The power of the DEG theorem is in its description of some measure of degradation, w, as a function of some quantity, i, of dissipative processes. This degradation measure is a linear combination of the entropy generated, , by each process multiplied by a corresponding degradation coefficient, B. The simplified main equation can be given in rate form as Equation (4):
For example, if two independent dissipative processes cause a system to degrade, Equation (4) can be rewritten as (5), with a dot signifying a derivative:
After identifying each dissipative process, their corresponding B values can be determined through isolation, and thus the degradation rate can be defined as a function of entropy generation rate. An important consequence of this relation is that, if there is a critical degradation measure at which the studied system is considered sufficiently degraded, there is a corresponding sum of accumulated entropy generation from each dissipative process which consistently yields that state.
Immediately after the DEG was proposed, it was found to yield remarkably accurate results compared with existing degradation equations, such as Archard wear [45] and fretting wear [46]. In fact, it was shown that the use of the DEG theorem results in a relationship that subsumed Archard’s adhesive wear model. Furthermore, by using the DEG theorem, these equations could be examined in greater depth [27,47]. More importantly, the DEG theorem was then used to describe degradation mechanisms that did not have previously existing equations, such as fatigue fracture [31,47,48] in metals and composites, battery degradation [22,49,50], and grease degradation [13,17,18,19,20,21,22,23,24]. In fact, its use in modeling fatigue fracture led to the discovery of a so-called Fatigue Fracture Entropy. The DEG theorem is currently being used with success in an increasing number of fields, and it has proven to be a useful tool in modeling many types of degradation.
2.3.2. Entropy Generation by Shearing Grease
Entropy is produced through dissipative processes. These processes could include heat transfer, adhesion, abrasion, plastic deformation, fracture, phase change, chemical reactions, diffusion, mixing, or some combination of these [22]. For quantifying the rate of change of the specific entropy of a tribological system in the context of wear, Equation (6) is used—the derivation of which is given by Lijesh et al. [29]:
This equation breaks down the total rate of entropy change of a system into five terms. The first (and most dominant in describing mechanical grease degradation) consists of stress induced by shearing, σ, strain rate, , density, ρ, and temperature, T. This first term describes the entropy generated from friction between two rubbing bodies which plastically deforms the asperities in contact. The second term describes entropy generated from mass transfer, and consists of the rate of heat removed through mass transfer, , and temperature. The third term gives the entropy produced by heat transfer through conduction and uses the thermal conductivity, k, the temperature gradient, and the temperature. The fourth term, , represents the entropy flow due to mass leaving the control volume. Finally, the fifth term uses the chemical potential, , and the number of moles, , to describe entropy change due to chemical reactions.
Through reasonable assumptions for investigating mechanical degradation of grease, this equation can be heavily simplified. The second and fourth terms are eliminated by considering a grease sample as a closed system. The third term can be eliminated by assuming that a negligible temperature increase occurs due to shearing the grease, which is acceptable for the aging devices used to induce mechanical degradation. The fifth and final term can be eliminated by neglecting all negligible chemical reactions that may take place during mechanical aging. This leaves only the first term, which describes an accumulation of stresses induced by shearing. This term can be rewritten in its most useful form for grease shearing as Equation (7) [17]:
This equation gives the accumulated entropy density generation, , as a function of the shear stress, τ, and shear rate, . According to the DEG theorem and assuming the grease only degrades through shear, this value is directly proportional to the degradation of the grease with a coefficient, B, to be found experimentally.
3. Application of DEG Theorem to Grease—Testing and Results
The first use of the DEG theorem for describing grease degradation was performed by Rezasoltani and Khonsari [17], whose experimental results showed a clear linear trend between comparative penetration values and in 2014. This is shown in Figure 4. The trend remained true independent of shear rate and temperature, although a limited temperature window exists in which the temperature is not too high to induce significant oxidation and not too low to induce excessive condensation from the air in the room. The trend was even validated through the use of completely different testing devices. This initial work connecting the DEG theorem to grease proved a major step forward in gaining the ability to accurately predict grease life.
Figure 4.
Rheometer aging test results [17].
3.1. Experimental Procedures
To test the application of the DEG theorem to mechanical degradation, experiments were carefully designed to ensure that mechanical degradation was the dominant degradation mechanism.
3.1.1. Aging Methods
To induce mechanical degradation, grease is stressed in some way. For a short period of aging time, this can even be done with a rheometer [17,18] which allows continuous measurements of rheological properties during the degradation. To age grease for extended periods of time, researchers [13,21] developed custom Couette-type rigs such as the one shown in Figure 5 [13]; others used a journal bearing [17] or a paint stirrer [23]. Additionally, researchers used a grease worker to age grease similarly to the prolonged working section of ASTM standard D217 [13,17,21].
Figure 5.
Couette aging test rig used by Zhou et al. [13].
3.1.2. Degradation Measurement
Common choices for measuring mechanical degradation are changes in shear stress, viscosity, and consistency. As previously discussed, shear stress and viscosity are intimately related properties that change similar to degradation. Consistency, however, is a bulk property with numerous proposed methods for its quantification, and each can give slightly different results.
Shear stress and viscosity can be found by measurements with numerous rotating measurement devices, such as a rheometer, a viscometer, and a torque meter. Use of a rheometer and viscometer provides a direct way of measuring viscosity or shear stress, as a range of shear rates are imposed on the sample and the resulting resistance to rotation is measured by the device. These machines output “flow curves”, which can show viscosity or shear stress as a function of shear rate. Results can be compared over time to observe the decrease in shear stress or viscosity at a given shear rate. The use of a torque meter is not quite as straightforward, as it must be linked to a motor or other rotational power supply. The initial conditions for the torque meter must be carefully determined so that future measurements are accurate. Lijesh and Khonsari [21] give a methodology for the use of a torque meter in monitoring mechanical degradation, and its implementation proves useful in allowing online degradation monitoring.
Consistency measurement has one accepted standard—the cone penetration test—but its use in mechanical degradation experiments is impractical. ASTM standard D217 [40] requires a large cup of grease in order to perform tests. Even a ¼ scale penetration test [51] requires a quantity of grease that is excessive for many mechanical aging devices. Therefore, researchers use alternative methods, such as a fixed-load compression test or an oscillatory strain sweep test in a rheometer to evaluate consistency. The fixed-load compression test is similar to the cone penetration test. In this test used by references [17,21], a grease sample is placed at the base of a rheometer and the top plate is lowered until a gap of 1.5 mm exists between it and the base. A compressive force of 2 N is applied, and the resulting displacement of the top plate is used as an indication of consistency in a similar manner as the cone penetration test.
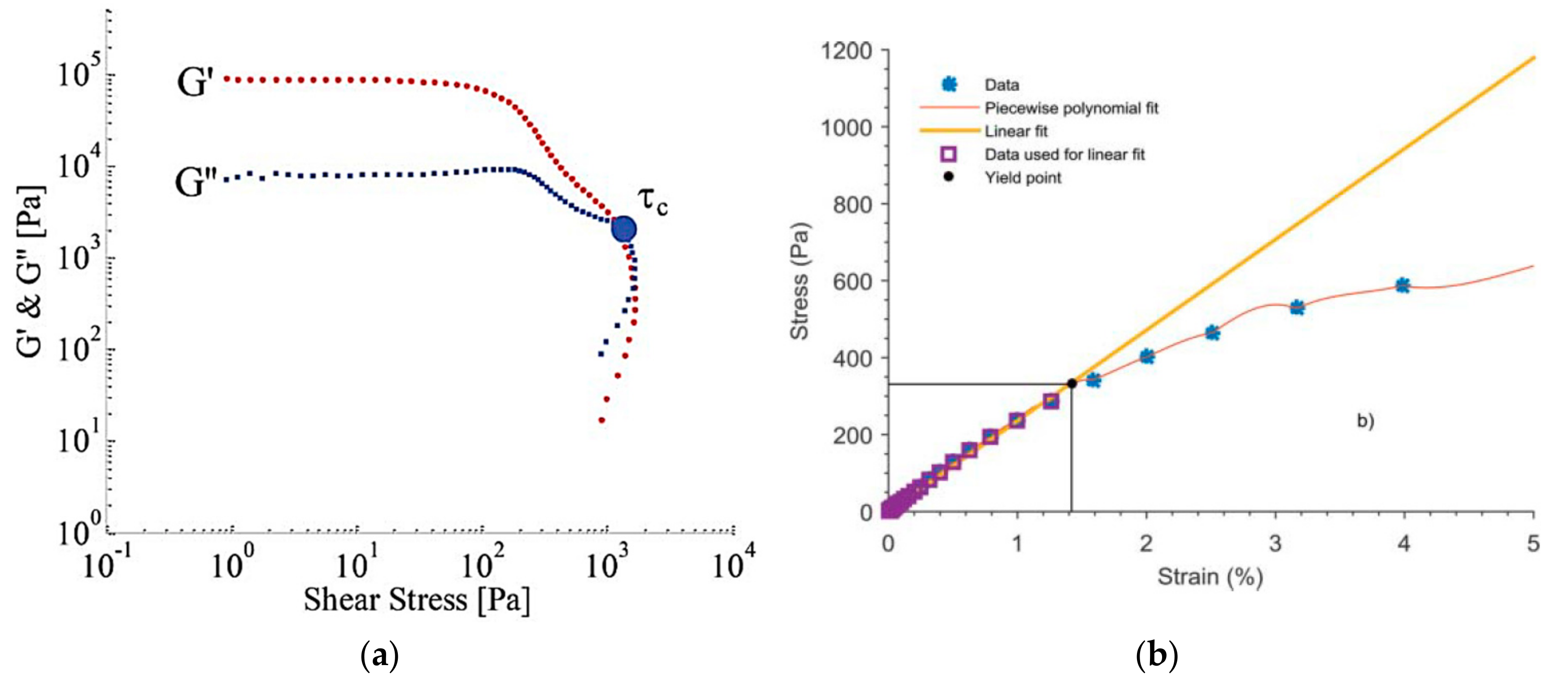
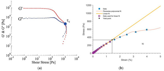
Alternatively, the yield stress or crossover stress of a grease sample can be used as an indication of consistency. There exist numerous methods of calculating yield stress, with each method potentially yielding vastly different results. Cyriac et al. [52] propose a yield stress evaluation method that gives repeatable results. This procedure uses an amplitude sweep oscillatory test in a rheometer, typical results of which are given by Figure 6a [13]. This test involves placing the grease sample between rheometer plates, where the top plate oscillates at a fixed frequency but an increasing amplitude. As stress begins to build within the grease, it will eventually reach the yield stress, where grease structure begins to break down. Cyriac et al. [52] define the yield stress as the first point on a stress–strain plot at which there is 0.5% deviance from a line (shown in Figure 6b [53]). This is calculated based on a piecewise third-order polynomial curve fit among adjoining measurement points. The crossover stress, , can also be found in the amplitude sweep oscillatory test, and is marked in Figure 6a. Both the yield stress and crossover stress can be used as an indication of consistency, but depend on the oscillatory frequency chosen.
Figure 6.
(a) Typical results of amplitude sweep oscillatory test with crossover point marked [13] and (b) test results used to determine yield stress [53]; note that these figures are from different studies.
3.2. Experimental Results
Rezasoltani and Khonsari [17] established a linear trend between net penetration and entropy generated per unit volume, , for mechanically degraded grease, shown by Figure 4. Similar results were obtained through aging in a rheometer, grease worker, and journal bearing, indicating that this line was indicative of the degradation behavior of that particular grease. Using the linear nature of the DEG theorem, the slope of this “characteristic line” relating consistency (a measure of degradation) and entropy represents the B coefficient for mechanical degradation from Equation (2).
Additional experiments were performed by various researchers [13,18,21] seeking to repeat and more completely describe this behavior. Zhou et al. [13] performed mechanical aging across a wider range of values and calculated representative penetration values for direct comparison to the results of Rezasoltani and Khonsari, shown in Figure 7. These results indicated two separate regions of grease degradation with two different slopes: an initial, relatively brief, region with rapid degradation followed by a long region with slower degradation.
Figure 7.
Degradation vs. entropy—results of (a) Rezasoltani and Khonsari compared to those of (b) Zhou et al. [13].
Lijesh and Khonsari [21] compared this behavior to the transient/run-in and steady-state regions of mechanical wear and reported that the length of the transient region is dependent on shearing conditions. They showed that degradation takes a longer time to reach steady-state when sheared at a higher shear rate. This information was then used as an explanation for why two slopes were not observed during the initial experiments of Rezasoltani and Khonsari: the shear rates used for this experimentation could be considered relatively low, meaning the transient region makes up a negligible portion of the total aging period. Despite its typically brief nature, it is important to understand how a grease changes throughout the transient region to ensure that proper lubrication is maintained throughout and after it. Nevertheless, since grease degradation is associated with prolonged shearing, the effect of the first slope is typically negligible.
4. Practical Application
These experimental results are an encouragement for the use of the DEG theorem in grease life modeling, showing that the cumulative amount of entropy generated in shearing a grease serves as an ideal description of the grease’s state of mechanical degradation. Such a model only requires the user to establish the amount of entropy generated in order to determine how much mechanical degradation has occurred. Once the amount of entropy generated can be described in terms of time, a life prediction model can be developed.
4.1. Predicting Grease Life
The first step in developing a grease life model is establishing a point at which grease is considered failed. Since grease is often selected for its consistency grade for a given application, some researchers [20,21] have defined grease failure as the point at which grease is no longer within the same NLGI grade as it was initially. This means that, once the consistency of grease has degraded to that of the grade below it, it can be considered failed. Using this information, one can simply determine the amount of entropy that must be generated in order to reach this failure state.
The steady-state characteristic line (from Figure 5) of a grease provides the ability to estimate the life of grease based on a change in the consistency. By defining failure as a drop in consistency by one NLGI grade, one must first find the consistency of the lower NLGI grade by the same method that will be used to describe degradation. Rezasoltani and Khonsari used fixed-load compressive tests in a rheometer and found the penetration corresponding to a grade 1 grease. The characteristic line of a grade 2 grease was then used to find the amount of entropy generated corresponding to this amount of penetration, shown in Figure 8 [20]. Generating this amount of entropy through purely mechanical degradation should then consistently yield this failure state, so details about a particular shearing situation are required to find the time needed to generate this much entropy.
Figure 8.
NLGI grade 2 grease penetration vs. with failure criterion [20].
Equation (4) gives the entropy generated as a function of time for pure mechanical degradation and can be used in estimating grease life. Assuming the shear rate and temperature are constant throughout shearing, the only parameter that must be determined is the shear stress. Using the Maxwell model for estimating shear stress over time, the shear stress becomes a first-order differential equation [20]. All required information then becomes available for predicting the life of a grease. Though it will complicate the evaluation of Equation (7), this model allows for changes in operating conditions, such as a change in rotational speed of a shaft. This concept is demonstrated by Rezasoltani and Khonsari [20], who apply this model to a grease sheared for 22 h at one shear rate, then at another until its consistency drops by one NLGI grade. Calculations show good agreement with experimental data.
Alternatively, a method has been proposed [21] which monitors the entropy generation rate as a grease degrades. This method proposes that grease has failed once its entropy generation rate reaches the starting entropy generation rate of a grease one NLGI grade below it. If grease is sheared at a constant shear rate and temperature, the entropy generation rate is proportional to the shear stress. The relationship is demonstrated in Figure 9 [20,21].
Figure 9.
(a) Shear stress vs. time [20] compared with (b) entropy generation rate vs. time [21] at a fixed shear rate.
Figure 10 shows the decrease in entropy generation rate over time for an NLGI grade 1 grease. The dashed blue line represents the starting entropy generation rate of an NLGI grade 00 grease, and the grade 1 grease is considered failed once its entropy generation rate declines to this point. The calculation of the entropy generation rate was performed through the use of a torque meter, which recorded the instantaneous torque acting on the shaft. By comparing torque readings across time, one can monitor the changes to a grease’s rheological properties. This allows online monitoring of the grease’s state of degradation.
Figure 10.
Entropy generation rate over an extended period of time [21].
Such an online monitoring method has the potential to drastically reduce machine failure since it can give details on the lubrication performance in real time. This method can be applied to any industrial machinery for which it is practical to dedicate a torque sensor. Though only minimal testing has been performed and this should be viewed as a proof of concept, this method could provide another significant step forward in improving machine reliability. Further improvements in this technique should include additional information such as oil bleed, film thickness, and temperature. Though monitoring only the temperature of a bearing can be an effective way of determining that it is about to fail [54], this method does not give sufficient warning, meaning significant damage may occur before it can be taken out of service.
4.2. Future Directions
The application of irreversible thermodynamics has provided a path forward for the evolution of grease life models, but there remains research to be performed before the models can be confidently used in practice. The overall intent of these models is to describe grease performance so that machinery operates as efficiently as possible or for as long as possible. To this end, quantifying the failure conditions for each particular device should be further explored. For example, the proposal that grease is failed upon a consistency or viscosity reduction to a lower NLGI grade should be adjusted to more completely describe conditions leading to failure.
So far, the entropic model has been applied to pure mechanical degradation with success, but the testing environments used do not resemble field applications of grease. All research discussed has treated grease as homogeneous, without considering the intricate and chaotic nature [54] of grease flow within a field environment. Therefore, a complete model would likely have to be developed for each particular grease application, since the conditions can vary significantly. Such a model would account for the transient phases of grease flow, oil separation and leakage, and the corresponding changes to the effectiveness of lubrication.
In addition, there are clearly other mechanisms of degradation that lead to machinery failure and are not included in mechanical degradation. For some grease microstructures, mechanical degradation does not even have a significant effect on the overall changes to the structure [12]. For these greases especially, a model that includes other forms of degradation—particularly oxidation—is essential. A promising start to incorporating thermal effects (without oxidation) into mechanical degradation models has been introduced by Zhou et al. [36]. Additionally, Osara and Bryant [23] provide a DEG-based approach that incorporates thermal effects with high accuracy, and this proves a step forward in the development of a complete model. Further research can expand on this approach, adding further degradation mechanisms such as contamination and evaporation. Overall, any model developed must be validated with field testing in order to be used with confidence.
5. Conclusions
Entropy has proven to be an effective tool in developing models of degradation, and its application to grease shows promise for useful life prediction. This approach is the first to be based on thermodynamic degradation theory instead of empirical studies, meaning it is not restricted to a particular set of degradation conditions. Experimentation conducted so far shows that a basic model of pure mechanical degradation of any grease can be easily developed. For greases that show dramatic changes through mechanical degradation and are used in situations where mechanical degradation is dominant, such a basic model could be reasonable for estimating grease life. For many situations, however, mechanical degradation is relatively insignificant and a model must include additional degradation mechanisms. In addition, the details of grease lubrication are complicated, and many simple models are inadequate to properly describe the changes to grease properties and grease flow that lead to failure.
Further research should be performed linking changing grease properties to machinery failure for a range of operating conditions, which will help establish more suitable failure criteria for grease degradation. This information can then be used with advancing thermodynamic grease models to give more meaningful life estimations. Additionally, all mechanisms of grease degradation must be considered, particularly oxidation, contamination, and oil leakage. Most importantly, any model developed must be thoroughly field-tested to ensure it can be reasonably applied to real situations. Overall, the concept of entropy has proven to be a promising tool in modeling grease degradation, and these thermodynamic models have enormous potential to allow grease-lubricated machinery to last significantly longer.
Author Contributions
A.G. is the main author of the paper who received significant guidance, insight, and technical assistance from M.K. during writing.
Funding
NLGI: LSU #46895.
Acknowledgments
This review paper is a part of a research initiative conducted at the LSU Center for Rotating Machinery and funded in part by NLGI (LSU #46895). The authors gratefully acknowledge this support.
Conflicts of Interest
The authors declare no conflict of interest.
References
- Lansdown, A.R. Lubrication and Lubricant Selection: A Practical Guide; ASME Press: New York, NY, USA, 2004. [Google Scholar]
- Lugt, P.M. A Review on Grease Lubrication in Rolling Bearings. Tribol. Trans. 2009, 52, 470–480. [Google Scholar] [CrossRef]
- Barnes, H.A. Thixotropy—A review. J. Non-Newtonian Fluid Mech. 1997, 70, 1–33. [Google Scholar] [CrossRef]
- Paszkowski, M.; Sylwia, O.J. Grease thixotropy: Evaluation of grease microstructure change due to shear and relaxation. Ind. Lubr. Tribol. 2014, 66, 223–237. [Google Scholar] [CrossRef]
- Cann, P.M.; Doner, J.P.; Webster, M.N.; Wikstrom, V. Grease Degradation in Rolling Element Bearings. Tribol. Trans. 2001, 44, 399–404. [Google Scholar] [CrossRef]
- Lugt, P.M. Grease Lubrication in Rolling Bearings; John Wiley & Sons: Hoboken, NJ, USA, 2012. [Google Scholar]
- Ito, H.; Masami, T.; Toshiro, S. Physical and chemical aspects of grease deterioration in sealed ball bearings. Lubr. Eng. 1988, 44, 872–879. [Google Scholar]
- Rezasoltani, A.; Khonsari, M. On Monitoring Physical and Chemical Degradation and Life Estimation Models for Lubricating Greases. Lubricants 2016, 4, 34. [Google Scholar] [CrossRef]
- Araki, C.; Kanzaki, H.; Taguchi, T. Study on the thermal degradation of lubricating greases. NLGI Spokesman 1995, 59, 15–23. [Google Scholar]
- Huang, L.; Guo, D.; Cann, P.M.; Wan, G.T.Y.; Wen, S. Thermal Oxidation Mechanism of Polyalphaolefin Greases with Lithium Soap and Diurea Thickeners: Effects of the Thickener. Tribol. Trans. 2016, 59, 801–809. [Google Scholar] [CrossRef]
- Rezasoltani, A.; Khonsari, M. Experimental investigation of the chemical degradation of lubricating grease from an energy point of view. Tribol. Int. 2019, 137, 289–302. [Google Scholar] [CrossRef]
- Zhou, Y.; Bosman, R.; Lugt, P.M. On the Shear Stability of Dry and Water-Contaminated Calcium Sulfonate Complex Lubricating Greases. Tribol. Trans. 2019, 62, 626–634. [Google Scholar] [CrossRef]
- Zhou, Y.; Bosman, R.; Lugt, P.M. A Model for Shear Degradation of Lithium Soap Grease at Ambient Temperature. Tribol. Trans. 2018, 61, 61–70. [Google Scholar] [CrossRef]
- Lundberg, J.; Höglund, E. A new method for determining the mechanical stability of lubricating greases. Tribol. Int. 2000, 33, 217–223. [Google Scholar] [CrossRef]
- Khonsari, M.M.; Booser, E.R. Applied Tribology—Bearing Design and Lubrication; John Wiley & Sons: West Sussex, UK, 2017. [Google Scholar]
- Booser, E.R.; Khonsari, M.M. Systematically selecting the best grease for long life. Mach. Lubr. 2007, 19–25. [Google Scholar]
- Rezasoltani, A.; Khonsari, M. On the correlation between mechanical degradation of lubricating grease and entropy. Tribol. Lett. 2014, 56, 197–204. [Google Scholar] [CrossRef]
- Kuhn, E. Correlation between System Entropy and Structural Changes in Lubricating Grease. Lubricants 2015, 3, 332–345. [Google Scholar] [CrossRef]
- Kuhn, E. Tribological Stress of Lubricating Greases in the Light of System Entropy. Lubricants 2016, 4, 37. [Google Scholar] [CrossRef]
- Rezasoltani, A.; Khonsari, M. An engineering model to estimate consistency reduction of lubricating grease subjected to mechanical degradation under shear. Tribol. Int. 2016, 103, 465–474. [Google Scholar] [CrossRef]
- Lijesh, K.P.; Khonsari, M. On the Assessment of Mechanical Degradation of Grease Using Entropy Generation Rate. Tribol. Lett. 2019, 67, 50. [Google Scholar] [CrossRef]
- Osara, J.A. The Thermodynamics of Degradation. Ph.D. Thesis, The University of Texas at Austin, Austin, TX, USA, 2017. [Google Scholar]
- Osara, J.A.; Bryant, M.D. Thermodynamics of grease degradation. Tribol. Int. 2019, 137, 433–445. [Google Scholar] [CrossRef]
- Rezasoltani, A.; Khonsari, M. Mechanical degradation of lubricating grease in an EHL line contact. Tribol. Int. 2017, 109, 541–551. [Google Scholar] [CrossRef]
- Bryant, M.; Khonsari, M.; Ling, F. On the thermodynamics of degradation. Proc. R. Soc. A 2008, 464, 2001–2014. [Google Scholar] [CrossRef]
- Aghdam, A.B.; Khonsari, M.M. On the correlation between wear and entropy in dry sliding contact. Wear 2011, 270, 781–790. [Google Scholar] [CrossRef]
- Bryant, M.; Khonsari, M. Application of Degradation–Entropy Generation Theorem to Dry Sliding Friction and Wear. In Proceedings of the International Joint Tribology Conference, Miami, FL, USA, 20–22 October 2008. [Google Scholar]
- Gidwani, A.; James, S.; Jagtap, S.; Karthikeyan, R.; Vincent, S. Effect of Entropy Generation on Wear Mechanics and System Reliability. In IOP Conference Series: Materials Science and Engineering; IOP Publishing: Bristol, UK, 2018; Volume 346, p. 012076. [Google Scholar] [CrossRef]
- Lijesh, K.P.; Khonsari, M.M.; Kailas, S.V. On the integrated degradation coefficient for adhesive wear: A thermodynamic approach. Wear 2018, 408–409, 138–150. [Google Scholar] [CrossRef]
- Amiri, M.; Khonsari, M. On the Role of Entropy Generation in Processes Involving Fatigue. Entropy 2012, 14, 24–31. [Google Scholar] [CrossRef]
- Naderi, M.; Amiri, M.; Khonsari, M. On the thermodynamic entropy of fatigue fracture. Proc. R. Soc. A Math. Phys. Eng. Sci. 2010, 466, 423–438. [Google Scholar] [CrossRef]
- Naderi, M.; Khonsari, M. An experimental approach to low-cycle fatigue damage based on thermodynamic entropy. Int. J. Solids Struct. 2010, 47, 875–880. [Google Scholar] [CrossRef]
- Naderi, M.; Khonsari, M. Real-time fatigue life monitoring based on thermodynamic entropy. Struct. Health Monit. 2010, 10, 189–197. [Google Scholar] [CrossRef]
- Naderi, M.; Khonsari, M. A comprehensive fatigue failure criterion based on thermodynamic approach. J. Compos. Mater. 2011, 46, 437–447. [Google Scholar] [CrossRef]
- Kuhn, E. Friction and wear of a grease lubricated contact—An energetic approach. In Tribology: Fundamentals and Advancements; Gegner, J., Ed.; IntechOpen: London, UK, 2013. [Google Scholar]
- Zhou, Y.; Bosman, R.; Lugt, P. A Master Curve for the Shear Degradation of Lubricating Greases with a Fibrous Structure. Tribol. Trans. 2019, 62, 78–87. [Google Scholar] [CrossRef]
- Kuhn, E. Description of the energy level of tribologically stressed greases. Wear 1995, 188, 138–141. [Google Scholar] [CrossRef]
- Kuhn, E. Investigations into the Degradation of the Structure of Lubricating Greases. Tribol. Trans. 1998, 41, 247–250. [Google Scholar] [CrossRef]
- Kuhn, E.; Balan, C. Experimental procedure for the evaluation of the friction energy of lubricating greases. Wear 1997, 209, 237–240. [Google Scholar] [CrossRef]
- ASTM D217-17. Standard Test Methods for Cone Penetration of Lubricating Grease; ASTM International: West Conshohocken, PA, USA, 2017. [Google Scholar]
- Cann, P.M.; Webster, M.N.; Doner, J.P.; Wikstrom, V.; Lugt, P. Grease Degradation in R0F Bearing Tests. Tribol. Trans. 2007, 50, 187–197. [Google Scholar] [CrossRef]
- Abdel-Aal, H.A. Wear and irreversible entropy generation in dry sliding. Ann. Dunarea de Jos Galati Fascicle 2006, VIII, 34–44. [Google Scholar]
- Doelling, K.L.; Ling, F.F.; Bryant, M.D.; Heilman, B.P. An experimental study of the correlation between wear and entropy flow in machinery components. J. Appl. Phys. 2000, 88, 2999–3003. [Google Scholar] [CrossRef]
- Ling, F.F.; Bryant, M.D.; Doelling, K.L. On irreversible thermodynamics for wear prediction. Wear 2002, 253, 1165–1172. [Google Scholar] [CrossRef]
- Archard, J.F. Contact and Rubbing of Flat Surfaces. J. Appl. Phys. 1953, 24, 981–988. [Google Scholar] [CrossRef]
- Fouvry, S.; Paulin, C.; Liskiewicz, T. Application of an energy wear approach to quantify fretting contact durability: Introduction of a wear energy capacity concept. Tribol. Int. 2007, 40, 1428–1440. [Google Scholar] [CrossRef]
- Amiri, M.; Khonsari, M. On the Thermodynamics of Friction and Wear—A Review. Entropy 2010, 12, 1021–1249. [Google Scholar] [CrossRef]
- Khonsari, M.; Amiri, M. Introduction to Thermodynamics of Mechanical Fatigue; CRC Press: Boca Raton, FL, USA, 2017. [Google Scholar]
- Bryant, M.D. Modeling degradation using thermodynamic entropy. In Proceedings of the Annual Conference of the Prognostics and Health Management Society, Fort Worth, TX, USA, 29 September 2014. [Google Scholar]
- Osara, A.J.; Bryant, M.D. A Thermodynamic Model for Lithium-Ion Battery Degradation: Application of the Degradation–Entropy Generation Theorem. Inventions 2019, 4, 23. [Google Scholar] [CrossRef]
- ASTM D1403-18. Standard Test Methods for Cone Penetration of Lubricating Grease Using One-Quarter and One-Half Scale Cone Equipment; ASTM International: West Conshohocken, PA, USA, 2018. [Google Scholar]
- Cyriac, F.; Lugt, P.; Bosman, R. On a New Method to Determine the Yield Stress in Lubricating Grease. Tribol. Trans. 2015, 58, 1021–1030. [Google Scholar] [CrossRef]
- Cyriac, F.; Lugt, P.; Bosman, R. The Impact of Water on the Yield Stress and Startup Torque of Lubricating Greases. Tribol. Trans. 2017, 60, 824–831. [Google Scholar] [CrossRef][Green Version]
- Lugt, P.M.; Velickov, S.; Tripp, J.H. On the Chaotic Behavior of Grease Lubrication in Rolling Bearings. Tribol. Trans. 2009, 52, 581–590. [Google Scholar] [CrossRef]
© 2019 by the authors. Licensee MDPI, Basel, Switzerland. This article is an open access article distributed under the terms and conditions of the Creative Commons Attribution (CC BY) license (http://creativecommons.org/licenses/by/4.0/).









