Effect of TiO2 and SiO2 Nanoparticles on Traction, Wear, and High-Shear Viscosity of PAG Lubricants Under Elastohydrodynamic (EHL) Conditions for Refrigeration Systems
Abstract
1. Introduction
2. Materials and Methods
2.1. Ball-on-Disc Rig and Test Parameters
- is the entrainment speed, which is the average speed of the two surfaces.
- is the sliding speed, or the difference between them.

- is the measured traction force.
- is the applied normal load.
- is the initial thickness.
- is the final thickness.
2.2. High-Shear Viscosity
- η is viscosity.
- τ is shear stress.
- is the applied shear rate.
2.3. Nanolubricant Preparation and Stability
- is the nanolubricant volume concentration.
- is the nanoparticle mass.
- is the PAG mass.
- is the PAG density.
| Property | PAG | TiO2 | SiO2 |
|---|---|---|---|
| Viscosity at 40 °C (cSt) | 66.6 | - | - |
| Viscosity at 100 °C (cSt) | 9.4 | - | - |
| Pour point (°C) | −39 | - | - |
| Density at 20 °C (g/mL) | 0.99 | - | - |
| Flash point (°C) | 250 | - | - |
| Thermal conductivity (W/m·K) | - | 8.4 | 1.4 |
| Specific heat (J/kg·K) | - | 692 | 745 |
| Density at 20 °C (kg/m3) | - | 4230 | 2220 |
| Molecular mass (g/mol) | - | 79.86 | 60.08 |
| Average particle diameter (nm) | - | 50 | 30 |

2.4. Testing Conditions
3. Results
3.1. Visual Stability of Nanolubricant
3.2. Traction–SRR Curve
3.3. Elastohydrodynamic Lubrication Behaviour at Fixed SRR (150 to 25%)
3.4. Wear
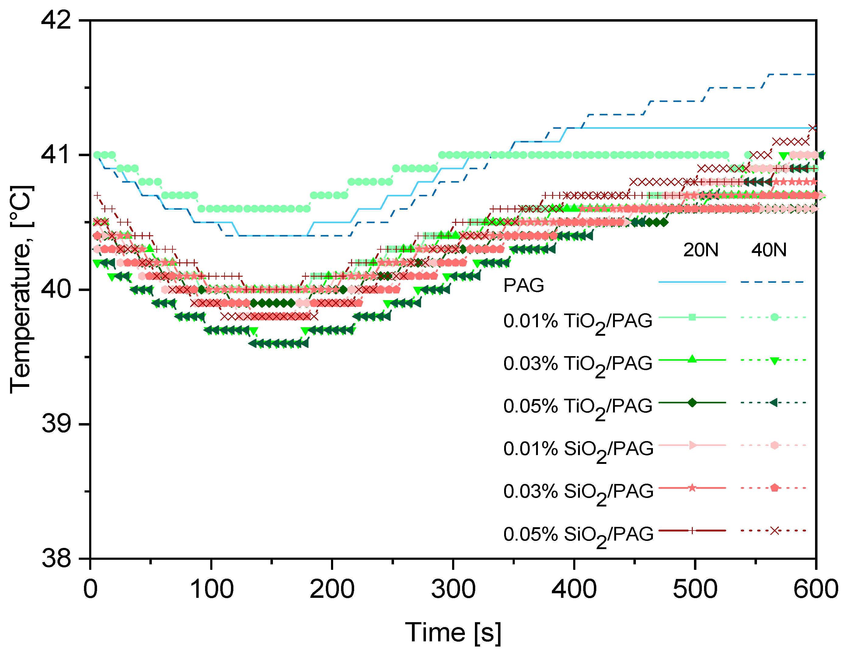
3.5. Temperature Stability
3.6. High-Shear Rate Viscosity Behaviour
4. Conclusions
Author Contributions
Funding
Data Availability Statement
Acknowledgments
Conflicts of Interest
Abbreviations
| Symbol | Abbreviation Definition Unit |
| µ | Traction coefficient |
| Traction force, N | |
| Normal load, N | |
| SRR | Slide-to-roll ratio, % |
| Entrainment speed, average speed of ball and disc, mm/s | |
| Sliding speed, difference between disc and ball speeds, mm/s | |
| Disc surface speed, mm/s | |
| Ball surface speed, mm/s | |
| Dynamic viscosity Pa·s | |
| Shear stress, Pa | |
| Shear rate s−1 | |
| Initial ball holder height, mm | |
| Final ball holder height mm | |
| Nanoparticle volume concentration, % | |
| Nanoparticle mass, g | |
| Lubricant mass, g | |
| Lubricant density, kg/m3 | |
| EHL | Elastohydrodynamic lubrication |
| MTM | Mini Traction Machine |
| USV | Ultra Shear Viscometer |
| PAG | Polyalkylene glycol lubricant |
| TiO2 | Titanium dioxide nanoparticles |
| SiO2 | Silicon dioxide nanoparticles |
References
- Zaki, S.M.; Abd Aziz, M.S.; Ismail, M.F.; Abdollah, M.F.; Ramadhan, A.I.; Nugroho, A. Critical Properties of Refrigeration Lubricants in Modern Refrigeration System: A Review. J. Adv. Res. Fluid Mech. Therm. Sci. 2025, 131, 244262. [Google Scholar] [CrossRef]
- Gangopadhyay, A.; Cuthbert, J. Opportunities and Challenges with Polyalkylene Glycol for Engine Oil Application. Lubricants 2018, 6, 72. [Google Scholar] [CrossRef]
- Hofmann, S.; Lohner, T.; Stahl, K. Influence of water content on elastohydrodynamic friction and film thickness of water-containing polyalkylene glycols. Front. Mech. Eng. 2023, 9, 1128447. [Google Scholar] [CrossRef]
- Sanukrishna, S.S.; Vishnu, S.; Jose Prakash, M. Experimental investigation on thermal and rheological behaviour of PAG lubricant modified with SiO2 nanoparticles. J. Mol. Liq. 2018, 261, 411–422. [Google Scholar] [CrossRef]
- Ali, M.K.A.; Ezzat, F.M.H.; El–Gawwad, K.A.A.; Salem, M.M.M. Effect of Lubricant Contaminants on Tribological Characteristics During Boundary Lubrication Reciprocating Sliding. arXiv 2017, arXiv:1710.04448. [Google Scholar] [CrossRef]
- Hamisa, A.H.; Azmi, W.H.; Ismail, M.F.; Rahim, R.A.; Ali, H.M. Tribology Performance of Polyol-Ester Based TiO2, SiO2, and Their Hybrid Nanolubricants. Lubricants 2023, 11, 18. [Google Scholar] [CrossRef]
- Madyira, D.; Babarinde, T. TiO2, CNTs, and SiO2 nanolubricant: An approach to improving the efficiency of a domestic refrigerator. J. Phys. Conf. Ser. 2024, 2748, 012003. [Google Scholar] [CrossRef]
- Ismail, M.F.; Wan Hamzah, W.A. Tribological Performance Effect of SiO2 and TiO2 Nanoparticles as Lubricating Oil Additives. In Proceedings of the 2nd Energy Security and Chemical Engineering Congress; Lecture Notes in Mechanical Engineering; Springer: Singapore, 2023. [Google Scholar]
- Zeng, K.; Cheng, L.; Hu, W.; Li, J. Synthesis, Stability, and Tribological Performance of TiO2 Nanomaterials for Advanced Applications. Lubricants 2025, 13, 56. [Google Scholar] [CrossRef]
- Cortés, V.; Sánchez, K.; Gonzalez, R.; Alcoutlabi, M.; Ortega, J. The Performance of SiO2 and TiO2 Nanoparticles as Lubricant Additives in Sunflower Oil. Lubricants 2020, 8, 10. [Google Scholar] [CrossRef]
- Xie, H.; Jiang, B.; Hu, X.; Peng, C.; Guo, H.; Pan, F. Synergistic Effect of MoS2 and SiO2 Nanoparticles as Lubricant Additives for Magnesium Alloy–Steel Contacts. Nanomaterials 2017, 7, 154. [Google Scholar] [CrossRef]
- Luo, Z.; Yu, J.; Xu, Y.; Xi, H.; Cheng, G.; Yao, L.; Song, R.; Dearn, K. Surface characterization of steel/steel contact lubricated by PAO6 with novel black phosphorus nanocomposites. Friction 2020, 9, 723–733. [Google Scholar] [CrossRef]
- Sanukrishna, S.S.; Jose Prakash, M. Experimental studies on thermal and rheological behaviour of TiO2-PAG nanolubricant for refrigeration system. Int. J. Refrig. 2018, 86, 356–372. [Google Scholar] [CrossRef]
- Sharif, M.Z.; Azmi, W.H.; Ghazali, M.F.; Zawawi, N.N.; Ali, H.M. Viscosity and Friction Reduction of Double-End-Capped Polyalkylene Glycol Nanolubricants for Eco-Friendly Refrigerant. Lubricants 2023, 11, 129. [Google Scholar] [CrossRef]
- Ahmed Abdalglil Mustafa, W.; Dassenoy, F.; Sarno, M.; Senatore, A. A review on potentials and challenges of nanolubricants as promising lubricants for electric vehicles. Lubr. Sci. 2022, 34, 1–29. [Google Scholar] [CrossRef]
- Liu, X.; Xu, N.; Li, W.; Zhang, M.; Chen, L.; Lou, W.; Wang, X. Exploring the effect of nanoparticle size on the tribological properties of SiO2/polyalkylene glycol nanofluid under different lubrication conditions. Tribol. Int. 2017, 109, 467–472. [Google Scholar] [CrossRef]
- Wei, Y.-K.; Dai, L.-Y.; Zhong, H.-C.; Liao, H.-F.; Hou, X.-B. Preparation and Tribological Properties of a Multilayer Graphene-Reinforced TiO2 Composite Nanolubricant Additive. ACS Omega 2022, 7, 42242–42255. [Google Scholar] [CrossRef] [PubMed]
- Ishii, N.; Tsuji, T.; Oku, T.; Anami, K.; Morimoto, T. Elasto-Hydrodynamic Lubrication Effect in ThrustSlide Bearings of Scroll Compressors. In International Compressor Engineering Conference; Purdue University: West Lafayette, IN, USA, 2012. [Google Scholar]
- Wei, C.; Song, H.; Hu, Z.; Wang, W. Mixed Lubrication Analysis of Scrolls Lubricated With CO2/Oil Mixture Based on a Homogeneous Model. J. Tribol. 2023, 145, 112201. [Google Scholar] [CrossRef]
- ISO 14635-1; Gears-FZG Test Procedures-Part 1: FZG Test Method A/8,3/90 for Relative Scuffing Load-Carrying Capacity of Oils. International Organization for Standardization: Geneva, Switzerland, 2000; p. 1.
- Boidi, G.; Tertuliano, I.S.; Profito, F.J.; de Rossi, W.; Machado, I.F. Effect of laser surface texturing on friction behaviour in elastohydrodynamically lubricated point contacts under different sliding-rolling conditions. Tribol. Int. 2020, 149, 105613. [Google Scholar] [CrossRef]
- Morales-Espejel, G.E.; Hauleitner, R. Lubrication Quality of Compressor Rolling Bearings with Oil-Refrigerant Mixtures. Tribol. Online 2020, 15, 45–52. [Google Scholar] [CrossRef]
- Redhwan, A.A.M.; Azmi, W.H.; Najafi, G.; Sharif, M.Z.; Zawawi, N.N.M. Application of response surface methodology in optimization of automotive air-conditioning performance operating with SiO2/PAG nanolubricant. J. Therm. Anal. Calorim. 2019, 135, 1269–1283. [Google Scholar] [CrossRef]
- Hamisa, A.H.; Azmi, W.H.; Zawawi, N.N.M.; Yusof, T.M.; Aziah, A.N.; Syafiq, A.M. Assessment of the Stability of Nanolubricants for SiO2 and TiO2 Nanoparticles Suspended in Polyol-Ester Lubricant. In Proceedings of the 11th International Conference on Mechanical, Automotive and Materials Engineering; Lecture Notes in Mechanical Engineering; Springer: Singapore, 2026. [Google Scholar]
- Zhang, J.; Tan, A.; Spikes, H. Effect of Base Oil Structure on Elastohydrodynamic Friction. Tribol. Lett. 2017, 65, 13. [Google Scholar] [CrossRef]
- Zhang, J.; Spikes, H. Measurement of EHD Friction at Very High Contact Pressures. Tribol. Lett. 2020, 68, 42. [Google Scholar] [CrossRef]
- Sun, J.; Bai, L.; Guo, F.; Khan, Z. Experimental Study on the Effect of Micro-Texture on EHL Point-Contact Film Thickness Subject to Sliding Conditions. Materials 2022, 15, 7926. [Google Scholar] [CrossRef]
- Morshed, A.; Wu, H.; Ren, M.; Xing, Z.; Jiao, S.; Jiang, Z. A Study of Water-Based Nanolubricants Using Hexagonal Boron Nitride (hBN)-Based Nanocomposites as Lubricant Additives. Lubricants 2024, 12, 123. [Google Scholar] [CrossRef]
- Wang, C.; Sun, J.; He, J.; Ge, C. Friction-induced motion evolution of reduced graphene oxide-Al2O3 at contact interface to achieve superior lubrication performance. Appl. Surf. Sci. 2022, 604, 154479. [Google Scholar] [CrossRef]
- Yeap, S.P.; Lim, J.; Ooi, B.S.; Ahmad, A.L. Agglomeration, colloidal stability, and magnetic separation of magnetic nanoparticles: Collective influences on environmental engineering applications. J. Nanopart. Res. 2017, 19, 368. [Google Scholar] [CrossRef]
- Zhao, J.; Huang, Y.; He, Y.; Shi, Y. Nanolubricant additives: A review. Friction 2021, 9, 891–917. [Google Scholar] [CrossRef]
- Birleanu, C.; Pustan, M.; Cioaza, M.; Molea, A.; Popa, F.; Contiu, G. Effect of TiO2 nanoparticles on the tribological properties of lubricating oil: An experimental investigation. Sci. Rep. 2022, 12, 5201. [Google Scholar] [CrossRef]
- Wu, H.; Zhao, J.; Cheng, X.; Xia, W.; He, A.; Yun, J.-H.; Huang, S.; Wang, L.; Huang, H.; Jiao, S.; et al. Friction and wear characteristics of TiO2 nano-additive water-based lubricant on ferritic stainless steel. Tribol. Int. 2018, 117, 24–38. [Google Scholar] [CrossRef]
- Kim, B.; Hyun, J.; Kim, Y.; Ryu, J.; Segu, D.; Kang, S. Effect of Boundary Layer Modification and Enhanced Thermal Characteristics on Tribological Performance of Alumina Nanofluids Dispersed in Lubricant Oil. Exp. Tech. 2022, 47, 737–746. [Google Scholar] [CrossRef]
- Sandy Prayogo, G.; Mamat, R.; Ghazali, M.F.; Nugroho, A.; Ngurah Bagus Catrawedarma, I.G.; Muriban, J.; Zikri, M. A Bibliometric Review of the Research Progress and Trends in Nanolubricants for Refrigeration Systems (2003–2025). Int. J. Automot. Sci. Technol. 2025, 9, 353–373. [Google Scholar] [CrossRef]











| Parameter | Details |
|---|---|
| Oil types | PAG, TiO2/PAG, SiO2/PAG |
| Concentrations | 0.01%, 0.03%, 0.05% |
| Loads | 20 N, 40 N |
| SRR range | 0 to 150% |
| Entrainment speeds | 10 to 500 mm/s |
| Bath temperature | 40 °C |
| Formulation | Load | Net Traction Change vs. PAG (SRR 0 to 100%) | Wear Behaviour | Equilibrium Temperature | Relative High-Shear Viscosity vs. PAG |
|---|---|---|---|---|---|
| PAG | 20 N | Baseline | Highest wear | About 41.0 °C | Baseline |
| PAG | 40 N | Baseline | Highest wear | About 41.0 °C | |
| TiO2 0.01 vol% | 20 N | Increase of 1.2% | Small wear reduction | 40.2–40.5 °C | TiO2 at 0.01 vol% shows approximately equal to PAG |
| TiO2 0.01 vol% | 40 N | Increase of 0.1% | Small wear reduction | 40.2–40.5 °C | |
| TiO2 0.03 vol% | 20 N | Increase of 0.3% | Clear wear reduction | 40.2–40.5 °C | TiO2 at 0.03 vol% shows slight increase over PAG |
| TiO2 0.03 vol% | 40 N | Increase of 0.6% | Lowest wear; about 35 µm reduction | 40.2–40.5 °C | |
| TiO2 0.05 vol% | 20 N | Reduction of 4.02% | Moderate wear; reduction slightly higher than 0.03% | 40.2–40.4 °C | TiO2 at 0.05 vol% shows up to 12% higher at 40–60 °C |
| TiO2 0.05 vol% | 40 N | Reduction of 1.7% | Moderate wear reduction | 40.3–40.5 °C | |
| SiO2 0.01 vol% | 20 N | Reduction of 0.49% | Small wear reduction | 40.3–40.5 °C | SiO2 at 0.01 vol% shows approximately equal to PAG |
| SiO2 0.01 vol% | 40 N | Increase of 0.04% | Small wear reduction | 40.3–40.5 °C | |
| SiO2 0.03 vol% | 20 N | Increase of 0.06% | Clear wear reduction | 40.3–40.5 °C | SiO2 at 0.03 vol% shows slight increase over PAG |
| SiO2 0.03 vol% | 40 N | Reduction of 0.24% | Moderate wear reduction; higher than TiO2 | 40.3–40.5 °C | |
| SiO2 0.05 vol% | 20 N | Reduction of 1.7% | Moderate wear reduction | 40.3–40.5 °C | SiO2 at 0.05 vol% shows small viscosity increase |
| SiO2 0.05 vol% | 40 N | Reduction of 1.2% | Moderate wear reduction | 40.3–40.5 °C |
Disclaimer/Publisher’s Note: The statements, opinions and data contained in all publications are solely those of the individual author(s) and contributor(s) and not of MDPI and/or the editor(s). MDPI and/or the editor(s) disclaim responsibility for any injury to people or property resulting from any ideas, methods, instructions or products referred to in the content. |
© 2026 by the authors. Licensee MDPI, Basel, Switzerland. This article is an open access article distributed under the terms and conditions of the Creative Commons Attribution (CC BY) license.
Share and Cite
Sharif, M.Z.; Aziz, M.S.A.; Ismail, M.F.; Bin Abdollah, M.F.; Redhwan, A.A.M.; Ngatiman, N.A.; Ramadhan, A.I. Effect of TiO2 and SiO2 Nanoparticles on Traction, Wear, and High-Shear Viscosity of PAG Lubricants Under Elastohydrodynamic (EHL) Conditions for Refrigeration Systems. Lubricants 2026, 14, 78. https://doi.org/10.3390/lubricants14020078
Sharif MZ, Aziz MSA, Ismail MF, Bin Abdollah MF, Redhwan AAM, Ngatiman NA, Ramadhan AI. Effect of TiO2 and SiO2 Nanoparticles on Traction, Wear, and High-Shear Viscosity of PAG Lubricants Under Elastohydrodynamic (EHL) Conditions for Refrigeration Systems. Lubricants. 2026; 14(2):78. https://doi.org/10.3390/lubricants14020078
Chicago/Turabian StyleSharif, Mohd Zaki, Mohd Syafiq Abd Aziz, Mohd Farid Ismail, Mohd Fadzli Bin Abdollah, Abdul Aziz Mohamad Redhwan, Nor Azazi Ngatiman, and Anwar Ilmar Ramadhan. 2026. "Effect of TiO2 and SiO2 Nanoparticles on Traction, Wear, and High-Shear Viscosity of PAG Lubricants Under Elastohydrodynamic (EHL) Conditions for Refrigeration Systems" Lubricants 14, no. 2: 78. https://doi.org/10.3390/lubricants14020078
APA StyleSharif, M. Z., Aziz, M. S. A., Ismail, M. F., Bin Abdollah, M. F., Redhwan, A. A. M., Ngatiman, N. A., & Ramadhan, A. I. (2026). Effect of TiO2 and SiO2 Nanoparticles on Traction, Wear, and High-Shear Viscosity of PAG Lubricants Under Elastohydrodynamic (EHL) Conditions for Refrigeration Systems. Lubricants, 14(2), 78. https://doi.org/10.3390/lubricants14020078

