A Computational Fluid Dynamics-Based Study on the Effect of Bionic-Compound Recess Structures in Aerostatic Thrust Bearings
Abstract
1. Introduction
2. Compound Recess Based on the Bionic Concept
2.1. Bionic Recess Design
2.2. Physical Models
3. Numerical Modeling
3.1. Governing Equations
3.2. Computational Domain and Mesh
4. Result and Discussion
4.1. SOR Bearings with Different Recess Ratios
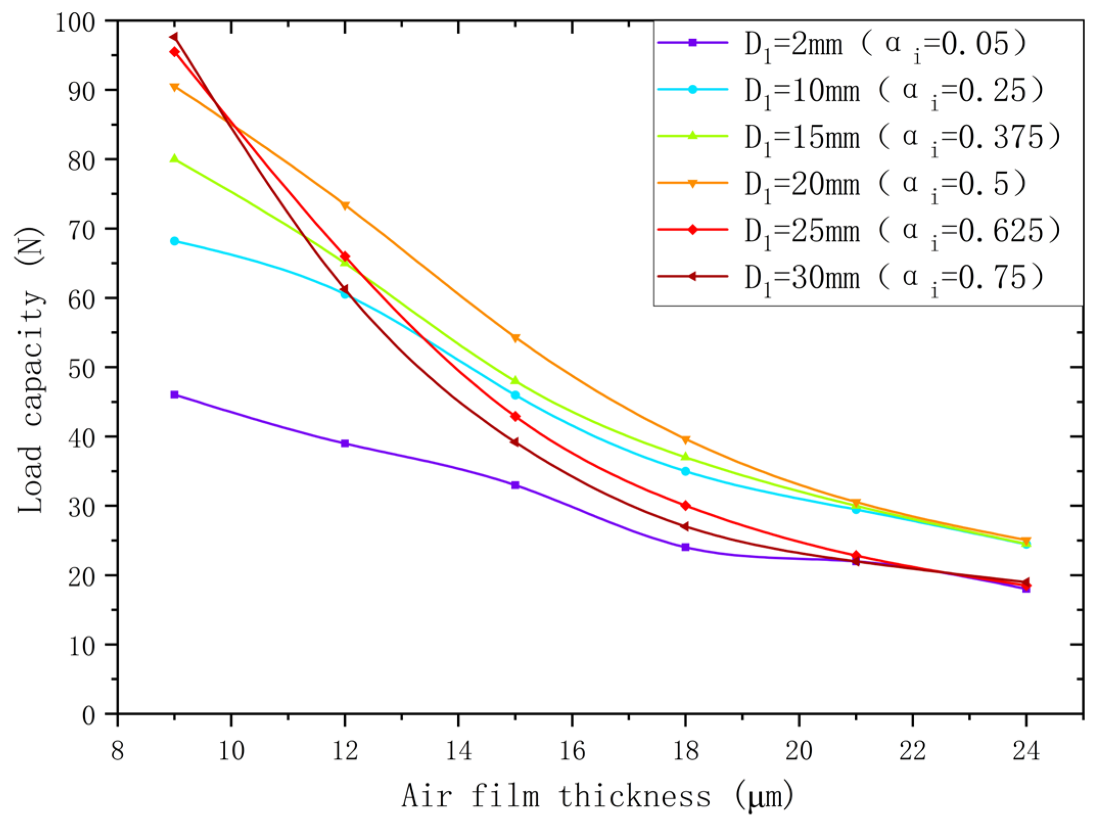
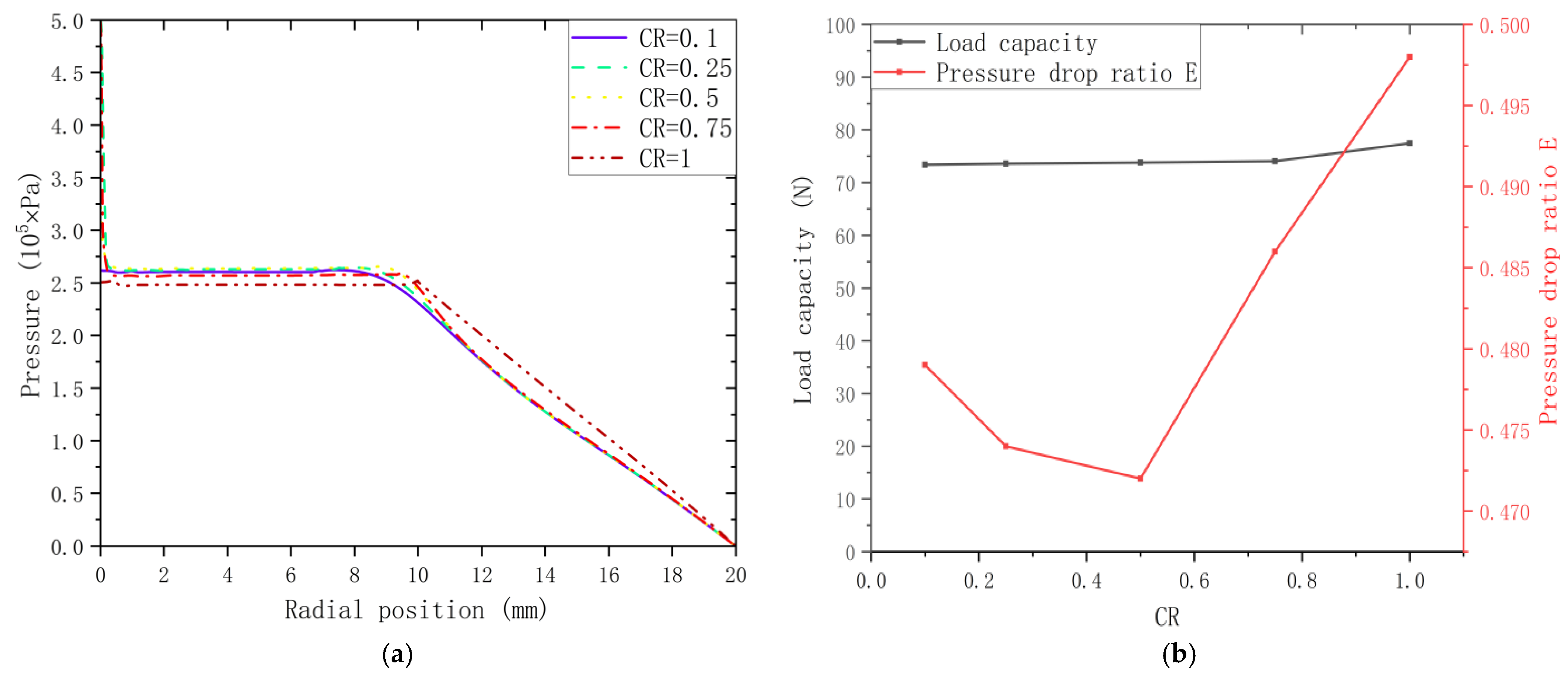
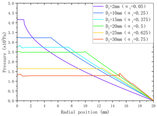
4.1.1. Load Capacity and Pressure Distribution of SOR Bearings
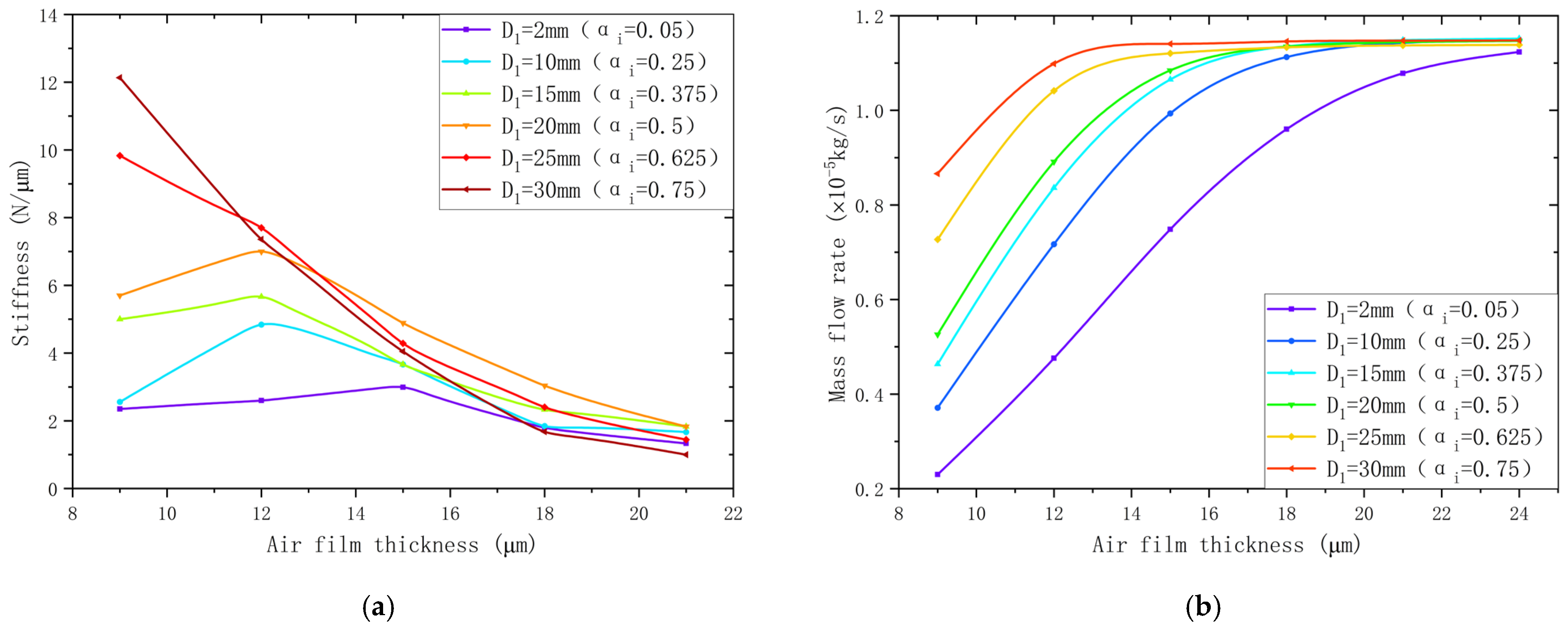
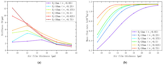
4.1.2. Stiffness and Mass Flow Rate of SOR Bearings
4.1.3. Dynamic Performance of SOR Bearings
4.2. Effect of Different Recesses on Bearing Performance
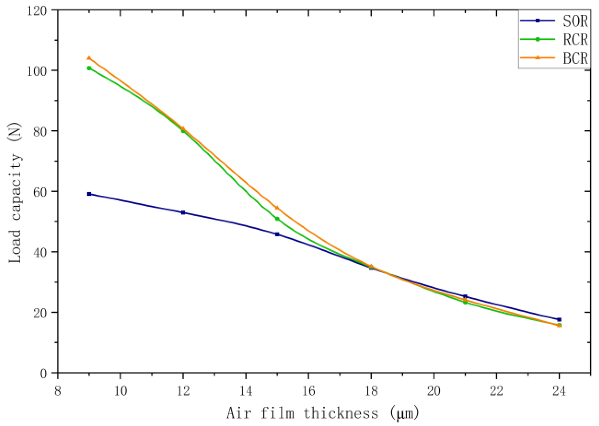
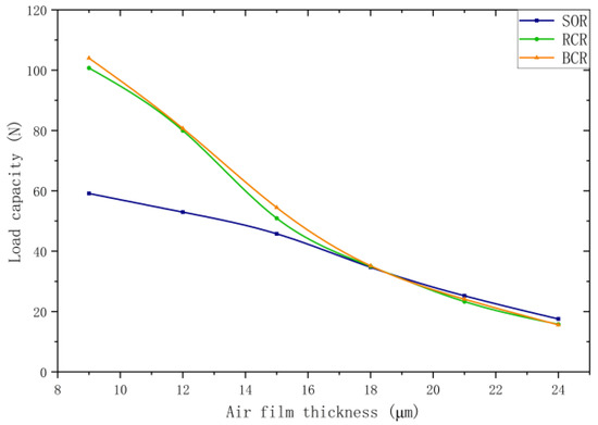
4.2.1. Static Performance of Different Types of Recesses
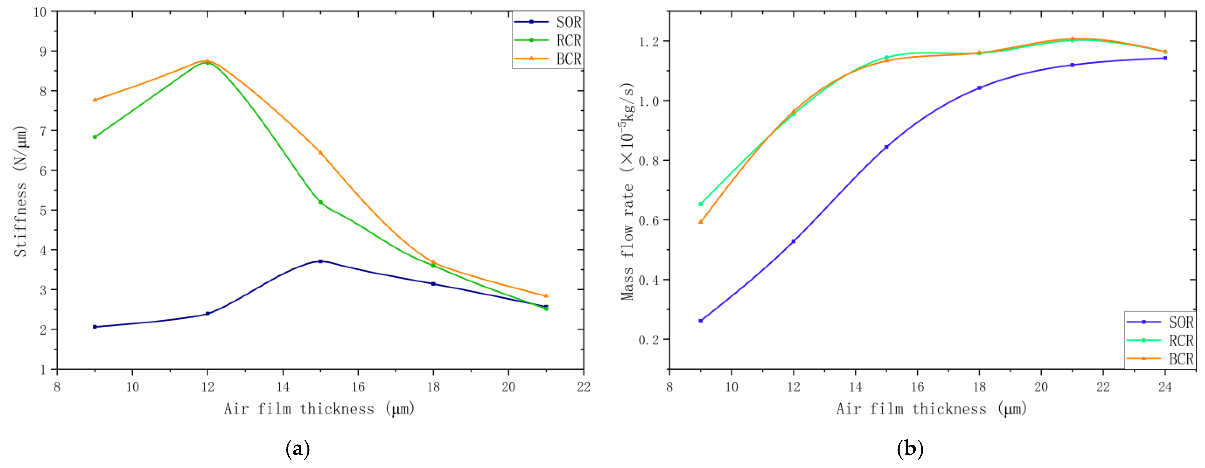
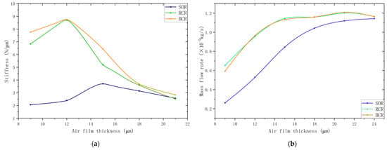
4.2.2. Dynamic Performance of Different Types of Recesses
4.3. Effect of Different Partition Ratios of BCRs on Bearing Performance
4.3.1. Static Performance BCR Bearings
4.3.2. Dynamic Performance of BCR Bearings
5. Conclusions
- (1)
- The throttling effect and pressure-holding effect of the recess are the primary factors determining the static performance of the bearing, and they exhibit opposite trends as the recess’s radial ratio αi changes.
- (2)
- An effective strategy to enhance the bearing’s performance is reducing the flow resistance of the recess structure, ensuring that the pressure drop in the throttling region rises slowly, remains stable, or even decreases as αi increases. This approach strikes an optimal compromise between the pressure-holding effect and the pressure drop.
- (3)
- The compound recess balances both the throttling effect and pressure-holding effect, significantly improving the static performance of the bearing. Moreover, due to its smaller air capacity compared to the traditional simple-chamber recess, it offers a clear advantage in stability, achieving an effective balance between the static and dynamic performance of the bearing.
- (4)
- The BCR equipped with a branch structure has excellent fluid distribution capability. It effectively controls the flow resistance in the recess while ensuring that the recess structures’ ratio αi is sufficiently large. Additionally, the branch structure reduces the impact of sudden changes in the structural dimensions at the boundary between the recess and the air film on the pressure distribution at the air inlet. As a result, it performs exceptionally well in both static and dynamic aspects.
Author Contributions
Funding
Data Availability Statement
Conflicts of Interest
References
- Yan, R.; Zhang, H. Analysis of the Dynamic Characteristics of Downsized Aerostatic Thrust Bearings with Different Pressure Equalizing Grooves at High or Ultra-High Speed. Adv. Mech. Eng. 2021, 13, 168781402110180. [Google Scholar] [CrossRef]
- Wang, Y.; Wu, H.; Rong, Y. Analysis of Hydrostatic Bearings Based on a Unstructured Meshing Scheme and Turbulence Model. Machines 2022, 10, 1072. [Google Scholar] [CrossRef]
- Sahto, M.P.; Wang, W.; Sanjrani, A.N.; Hao, C.; Shah, S.A. Dynamic Performance of Partially Orifice Porous Aerostatic Thrust Bearing. Micromachines 2021, 12, 989. [Google Scholar] [CrossRef] [PubMed]
- Hashimoto, H.; Ochiai, M.; Namba, T. Optimization of Groove Geometry for Thrust Air Bearing According to Various Objective Functions. ASME J. Tribol. 2009, 131, 041704. [Google Scholar] [CrossRef]
- Yoshimura, T.; Hanafusa, T.; Kitagawa, T.; Hirayama, T.; Matsuoka, T.; Yabe, H. Clarifications of the Mechanism of Nano-Fluctuation of Aerostatic Thrust Bearing with Surface Restriction. Tribol. Int. 2012, 48, 29–34. [Google Scholar] [CrossRef]
- Chen, Y.; Huo, D.; Wang, G.; Zhong, L.; Gong, Z. Modelling and Performance Improvement of an Annular Grooved Thrust Air Bearing. ILT 2023, 75, 1116–1124. [Google Scholar] [CrossRef]
- Colombo, F. Dynamic Characterisation of Rectangular Aerostatic Pads with Multiple Inherent Orifices. Tribol. Lett. 2018, 66, 133. [Google Scholar] [CrossRef]
- Yu, P.; Lu, J.; Luo, Q.; Li, G.; Yin, X. Optimization Design of Aerostatic Bearings with Square Micro-Hole Arrayed Restrictor for the Improvement of Stability: Theoretical Predictions and Experimental Measurements. Lubricants 2022, 10, 295. [Google Scholar] [CrossRef]
- Zhuang, H.; Ding, J.; Chen, P.; Chang, Y.; Zeng, X.; Yang, H.; Liu, X.; Wei, W. Numerical Study on Static and Dynamic Performances of a Double-Pad Annular Inherently Compensated Aerostatic Thrust Bearing. J. Tribol. 2019, 141, 051701. [Google Scholar] [CrossRef]
- Gao, S.; Cheng, K.; Chen, S.; Ding, H.; Fu, H. CFD Based Investigation on Influence of Orifice Chamber Shapes for the Design of Aerostatic Thrust Bearings at Ultra-High Speed Spindles. Tribol. Int. 2015, 92, 211–221. [Google Scholar] [CrossRef]
- Yu, P.; Zuo, T.; Lu, J.; Zhong, M.; Zhang, L. Static and Dynamic Performances of Novel Aerostatic Bearings with Primary and Secondary Orifice Restrictors. Lubricants 2023, 11, 518. [Google Scholar] [CrossRef]
- Qiao, Y.J.; Luo, R.; Shi, K.J. Analysis on the Influence for the Sectional Shape of Compound Pressure-Equalizing Groove to the Supporting and Bearing Characteristics of Precision Aerostatic Bearing. AMM 2014, 494–495, 598–601. [Google Scholar] [CrossRef]
- Eleshaky, M.E. CFD Investigation of Pressure Depressions in Aerostatic Circular Thrust Bearings. Tribol. Int. 2009, 42, 1108–1117. [Google Scholar] [CrossRef]
- Li, W.; Wang, G.; Feng, K.; Zhang, Y.; Wang, P. CFD-Based Investigation and Experimental Study on the Performances of Novel Back-Flow Channel Aerostatic Bearings. Tribol. Int. 2022, 165, 107319. [Google Scholar] [CrossRef]
- Gao, S.; Shang, Y.; Gao, Q.; Lu, L.; Zhu, M.; Sun, Y.; Yu, W. CFD-Based Investigation on Effects of Orifice Length–Diameter Ratio for the Design of Hydrostatic Thrust Bearings. Appl. Sci. 2021, 11, 959. [Google Scholar] [CrossRef]
- Yan, R.; Wang, L.; Wang, S. Investigating the Influences of Pressure-Equalizing Grooves on Characteristics of Aerostatic Bearings Based on CFD. ILT 2019, 71, 853–860. [Google Scholar] [CrossRef]
- Feng, K.; Wang, P.; Zhang, Y.; Hou, W.; Li, W.; Wang, J.; Cui, H. Novel 3-D Printed Aerostatic Bearings for the Improvement of Stability: Theoretical Predictions and Experimental Measurements. Tribol. Int. 2021, 163, 107149. [Google Scholar] [CrossRef]
- Jing, D.; He, L.; Wang, X. Optimization Analysis of Fractal Tree-like Microchannel Network for Electroviscous Flow to Realize Minimum Hydraulic Resistance. Int. J. Heat Mass Transf. 2018, 125, 749–755. [Google Scholar] [CrossRef]
- Zhu, R.; Li, K.; Wang, D.; Fei, J.; Yan Tan, J.; Li, S.; Zhang, J.; Li, H.; Fu, S. Biomimetic Optimized Concept with Murray Networks for Accelerated Solar-Driven Water Evaporation. Chem. Eng. J. 2023, 467, 143383. [Google Scholar] [CrossRef]
- Zhou, G.; Zhou, J.; Huai, X. High Performance Vapor Chamber Enabled by Leaf-Vein-Inspired Wick Structure for High-Power Electronics Cooling. Appl. Therm. Eng. 2023, 230, 120859. [Google Scholar] [CrossRef]
- Chai, S.; Mei, X.; Xie, Y.; Lu, L. Inspired Biomimetic Design for Efficient Fluid Channel Configuration Based on Leaf Vein Structures. Numer. Heat Transf. Part B Fundam. 2023, 1, 1–14. [Google Scholar] [CrossRef]
- Peng, Y.; Liu, W.; Wang, N.; Tian, Y.; Chen, X. A Novel Wick Structure of Vapor Chamber Based on the Fractal Architecture of Leaf Vein. Int. J. Heat Mass Transf. 2013, 63, 120–133. [Google Scholar] [CrossRef]
- Wan, X.; Cao, J.; Yang, X.; Wang, L.; Chen, Y.; Cheng, B. Research on The Flow Field of The Pemfc Bipolar Plate Based on The Tree-Like Fractal Theory. Fractals 2023, 31, 2340185. [Google Scholar] [CrossRef]
- Ma, C.; Sun, Y.; Wu, Y.; Zhang, Q.; Wang, Y.; Ding, G. A Bio-Inspired Fractal Microchannel Heat Sink with Secondary Modified Structure and Sub-Total-Sub Fluid Transmission Mode for High Heat Flux and Energy-Saving Heat Dissipation. Int. J. Heat Mass Transf. 2023, 202, 123717. [Google Scholar] [CrossRef]
- Sack, L.; Scoffoni, C. Leaf Venation: Structure, Function, Development, Evolution, Ecology and Applications in the Past, Present and Future. New Phytol. 2013, 198, 983–1000. [Google Scholar] [CrossRef]
- Zhang, G.; Huang, M.; Chen, G.; Li, J.; Liu, Y.; He, J.; Zheng, Y.; Tang, S.; Cui, H. Design and Optimization of Fluid Lubricated Bearings Operated with Extreme Working Performances—A Comprehensive Review. Int. J. Extrem. Manuf. 2024, 6, 022010. [Google Scholar] [CrossRef]
- Shan, X.D.; Wang, M.; Guo, Z.Y. Geometry Optimization of Self-Similar. Math. Probl. Eng. 2011, 11, 421526. [Google Scholar] [CrossRef]
- Ashgriz, N.; Mostaghimi, J. An Introduction to Computational Fluid Dynamics, 2nd ed.; Pearson Education Limited: London, UK, 2007; pp. 30–33. [Google Scholar]
- Belforte, G.; Raparelli, T.; Viktorov, V.; Trivella, A. Discharge Coefficients of Orifice-Type Restrictor for Aerostatic Bearings. Tribol. Int. 2007, 40, 512–521. [Google Scholar] [CrossRef]
- Gao, Q.; Chen, W.; Lu, L.; Huo, D.; Cheng, K. Aerostatic Bearings Design and Analysis with the Application to Precision Engineering: State-of-the-Art and Future Perspectives. Tribol. Int. 2019, 135, 1–17. [Google Scholar] [CrossRef]
- Zhou, Y.; Chen, X.; Chen, H. A Hybrid Approach to the Numerical Solution of Air Flow Field in Aerostatic Thrust Bearings. Tribol. Int. 2016, 102, 444–453. [Google Scholar] [CrossRef]
- Chen, X.; Chen, H.; Luo, X.; Ye, Y.; Hu, Y.; Xu, J. Air Vortices and Nano-Vibration of Aerostatic Bearings. Tribol. Lett. 2011, 42, 179–183. [Google Scholar] [CrossRef]






















| Restrictor Type | Load Capacity | Stiffness | Stability | Air Consumption | |
|---|---|---|---|---|---|
| Annular orifice | ![]() | Low | Low | Fair | Small |
| Simple orifice | ![]() | High | High | Poor | Small |
| Slot | ![]() | Medium | Medium | Good | Large |
| Groove | ![]() | High | High | Good | Medium |
| Porous | ![]() | High | High | Excellent | Large |
| Calculation Parameters | Value | ||
|---|---|---|---|
| SOR | RCR | BCR | |
| Chamber diameter D1/(mm) | 2~30 | 2 | 2 |
| Chamber height H1/(mm) | 1 | 1 | 1 |
| Orifice diameter D2/(mm) | 0.2 | 0.2 | 0.2 |
| Orifice height H2/(mm) | 0.3 | 0.3 | 0.3 |
| Pitch diameter D0/(mm) | / | 20 | 20 |
| Recess structure ratio αi | 0.05~0.75 | 0.5 | 0.5 |
| Primary branch width L/(mm) | / | 1 | 1 |
| Secondary branch width L1/(mm) | / | / | 0.6 |
| Branch angle θ/(°) | / | / | 20 |
| Secondary angle θ1/(°) | / | / | 14 |
| Air-film thickness h/(μm) | 9~24 | ||
| Air temperature T/(K) | 293.15 | ||
| Density ρ/(kg/m3) | 1.202 | ||
| Specific Heat c/(J/(kg/m3)) | 1006.43 | ||
| Heat Conductivity k/(W/(m·K)) | 0.0242 | ||
| Viscosity μ/(kg/(m·s)) | 1.7894 × 10−3 | ||
| Molecular weight mmo/(kg/mol) | 28.966 × 10−3 | ||
| Supply pressure PS/(MPa) | 0.5/0.6 | ||
| Environmental pressure PO/(MPa) | 1.01325 | ||
| Parameters | D1 = 2 mm | D1 = 10 mm | D1 = 15 mm | D1 = 20 mm | D1 = 25 mm | D1 = 30 mm |
|---|---|---|---|---|---|---|
| Pressure drop (Pa) | 1250 | 8023 | 10,046 | 15,535 | 16,028 | 16,980 |
| Recess Types (Parameters) | SOC (D1 = 2 mm / | SOC (D1 = 20 mm / | ||
|---|---|---|---|---|
| Pressure drop (Pa) | 1250 | 15,535 | 7961 | 5470 |
| Parameters | CR = 0.1 | CR = 0.25 | CR = 0.5 | CR = 0.75 | CR = 1 |
|---|---|---|---|---|---|
| Pressure drop (Pa) | 5470 | 9041 | 10,623 | 13,786 | 15,535 |
Disclaimer/Publisher’s Note: The statements, opinions and data contained in all publications are solely those of the individual author(s) and contributor(s) and not of MDPI and/or the editor(s). MDPI and/or the editor(s) disclaim responsibility for any injury to people or property resulting from any ideas, methods, instructions or products referred to in the content. |
© 2024 by the authors. Licensee MDPI, Basel, Switzerland. This article is an open access article distributed under the terms and conditions of the Creative Commons Attribution (CC BY) license (https://creativecommons.org/licenses/by/4.0/).
Share and Cite
Yuan, F.; Xiu, H.; Cao, G.; Zhang, J.; Chen, B.; Wang, Y.; Zhou, X. A Computational Fluid Dynamics-Based Study on the Effect of Bionic-Compound Recess Structures in Aerostatic Thrust Bearings. Lubricants 2024, 12, 385. https://doi.org/10.3390/lubricants12110385
Yuan F, Xiu H, Cao G, Zhang J, Chen B, Wang Y, Zhou X. A Computational Fluid Dynamics-Based Study on the Effect of Bionic-Compound Recess Structures in Aerostatic Thrust Bearings. Lubricants. 2024; 12(11):385. https://doi.org/10.3390/lubricants12110385
Chicago/Turabian StyleYuan, Fangjian, Hang Xiu, Guohua Cao, Jingran Zhang, Bingshu Chen, Yutang Wang, and Xu Zhou. 2024. "A Computational Fluid Dynamics-Based Study on the Effect of Bionic-Compound Recess Structures in Aerostatic Thrust Bearings" Lubricants 12, no. 11: 385. https://doi.org/10.3390/lubricants12110385
APA StyleYuan, F., Xiu, H., Cao, G., Zhang, J., Chen, B., Wang, Y., & Zhou, X. (2024). A Computational Fluid Dynamics-Based Study on the Effect of Bionic-Compound Recess Structures in Aerostatic Thrust Bearings. Lubricants, 12(11), 385. https://doi.org/10.3390/lubricants12110385






