Further Validation of a Simple Mathematical Description of Wear and Contact Pressure Evolution in Sliding Contacts
Abstract
1. Introduction
2. Mathematical Procedure
3. Test Cases
3.1. Line Contact
3.2. Frictional Line Contact
3.3. Point Contact
4. Results and Discussion
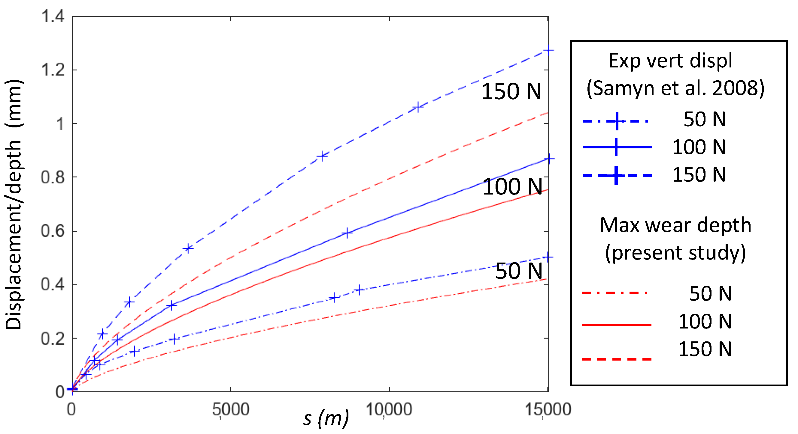
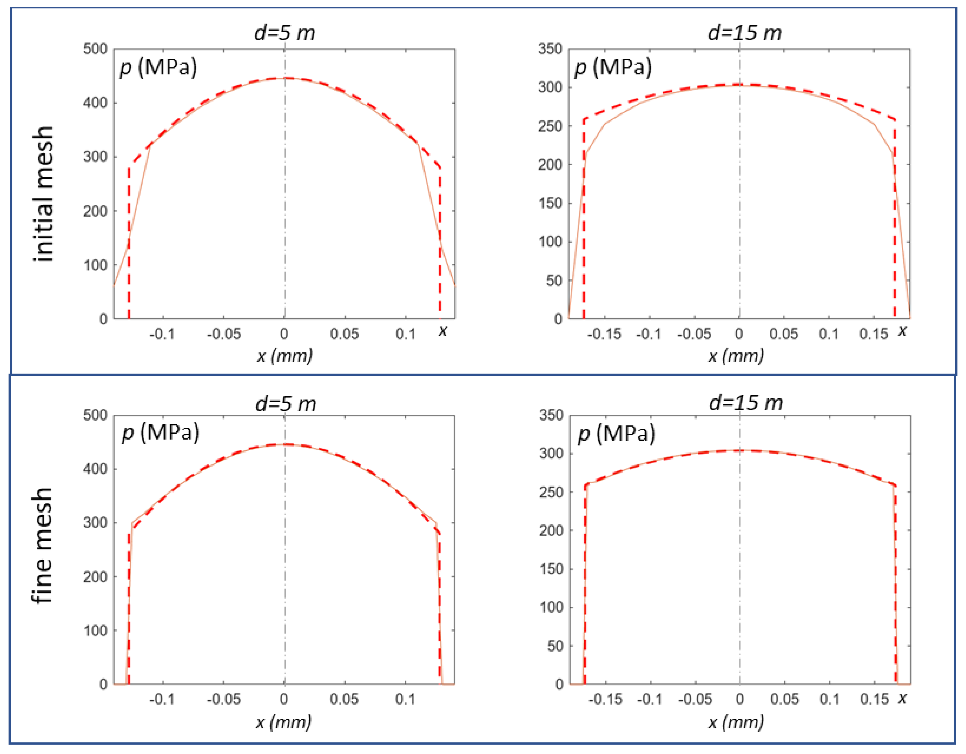
4.1. Line Contact
4.2. Frictional Line Contact
4.3. Point Contact
5. Conclusions
Author Contributions
Funding
Data Availability Statement
Conflicts of Interest
References
- Grabovic, E.; Artoni, A.; Gabiccini, M.; Guiggiani, M.; Mattei, L.; Di Puccio, F.; Ciulli, E. Friction-Induced Efficiency Losses and Wear Evolution in Hypoid Gears. Machines 2022, 10, 748. [Google Scholar] [CrossRef]
- Mattei, L.; Di Puccio, F.; Joyce, T.J.; Ciulli, E. Effect of size and dimensional tolerance of reverse total shoulder arthroplasty on wear: An in-silico study. J. Mech. Behav. Biomed. Mater. 2016, 61, 455–463. [Google Scholar] [CrossRef] [PubMed]
- Hegadekatte, V.; Kurzenhäuser, S.; Huber, N.; Kraft, O. A predictive modeling scheme for wear in tribometers. Tribol. Int. 2008, 41, 1020–1031. [Google Scholar] [CrossRef]
- Öqvist, M. Numerical simulations of mild wear using updated geometry with different step size approaches. Wear 2001, 249, 6–11. [Google Scholar] [CrossRef]
- Bortoleto, E.; Rovani, A.; Seriacopi, V.; Profito, F.; Zachariadis, D.; Machado, I.; Sinatora, A.; Souza, R. Experimental and numerical analysis of dry contact in the pin on disc test. Wear 2013, 301, 19–26. [Google Scholar] [CrossRef]
- Bose, K.; Penchaliah, R. 3-D FEM Wear Prediction of Brass Sliding against Bearing Steel Using Constant Contact Pressure Approximation Technique. Tribol. Online 2019, 14, 194–207. [Google Scholar] [CrossRef]
- Curreli, C.; Di Puccio, F.; Mattei, L. Application of the finite element submodeling technique in a single point contact and wear problem. Int. J. Numer. Methods Eng. 2018, 116, 708–722. [Google Scholar] [CrossRef]
- Di Puccio, F.; Mattei, L. In-silico Analytical Wear Predictions: Application to Joint Prostheses. In Wear in Advanced Engineering Applications and Materials; World Scientific: Lodon, UK, 2022; pp. 123–148. [Google Scholar] [CrossRef]
- Argatov, I.; Chai, Y. A self-similar model for fretting wear contact with the third body in gross slip. Wear 2021, 466–467, 203562. [Google Scholar] [CrossRef]
- Mattei, L.; Di Puccio, F.; Joyce, T.; Ciulli, E. Numerical and experimental investigations for the evaluation of the wear coefficient of reverse total shoulder prostheses. J. Mech. Behav. Biomed. Mater. 2016, 55, 53–66. [Google Scholar] [CrossRef] [PubMed]
- Rodríguez-Tembleque, L.; Abascal, R.; Aliabadi, M. A boundary elements formulation for 3D fretting-wear problems. Eng. Anal. Bound. Elem. 2011, 35, 935–943. [Google Scholar] [CrossRef]
- Di Puccio, F.; Mattei, L. Simple analytical description of contact pressure and wear evolution in non-conformal contacts. Tribol. Int. 2023, 178, 108084. [Google Scholar] [CrossRef]
- Mattei, L.; Di Puccio, F. Influence of the wear partition factor on wear evolution modelling of sliding surfaces. Int. J. Mech. Sci. 2015, 99, 72–88. [Google Scholar] [CrossRef]
- Mattei, L. Effect of Friction on Finite Element Contact and Wear Predictions of Metal-on-Plastic Hip Replacements. Biotribology 2023, 35–36, 100230. [Google Scholar] [CrossRef]
- Mattei, L.; Di Puccio, F. Frictionless vs. frictional contact in numerical wear predictions of conformal and non-conformal sliding couplings (Accepted for publication). Tribol. Lett. 2022, 70, 115. [Google Scholar] [CrossRef]
- Samyn, P.; Quintelier, J.; Schoukens, G. On the Repeatability of Friction and Wear Tests for Polyimides in a Hertzian Line Contact. Exp. Mech. 2008, 48, 233–246. [Google Scholar] [CrossRef]








| Ref. | r0 (mm) | L (mm) | E1 (MPa) | ν1 | E2 (GPa) | ν2 | FN (N) | k (mm2/N) | vs (m/s) | d (m) |
|---|---|---|---|---|---|---|---|---|---|---|
| [16] | 2.5 | 15 | 2480 | 0.4 | 200 | 0.3 | 50, 100, 150 | 10−8 | 0.3 | 15,000 |
| Tests | FN (N) | mw (g) | k (mm2/N) |
|---|---|---|---|
| Test 1 | 50 | 0.0164 | 1.63·10−8 |
| Test 2 | 100 | 0.0392 | 1.95·10−8 |
| Test 3 | 150 | 0.0367 | 2.11·10−8 |
| Ref. | r0 (mm) | E (GPa) | ν | F (N/mm) | k (mm2/N) | vs (m/s) | d (m) |
|---|---|---|---|---|---|---|---|
| [15] | 10 | 200 | 0.3 | 100 | 10−8 | 0.01 | 20 |
| Ref. | r0 (mm) | Ep (GPa) | νp | Ed (GPa) | νd | F (N) | vs (m/s) | d (m) |
|---|---|---|---|---|---|---|---|---|
| [6] | 5 | 100 | 0.33 | 200 | 0.3 | 10, 20, 30 | 0.4 | 500 |
| Tests | F (N) | Vw (mm3) | k (mm2/N) |
|---|---|---|---|
| Test 1 | 10 | 2.144 | 42.288·10−8 |
| Test 2 | 20 | 3.67 | 36.7·10−8 |
| Test 3 | 30 | 5.501 | 36.66·10−8 |
| Ref. | r0 (mm) | Ep = Ed (GPa) | F (N) | vs (m/s) | d (m) | k (mm2 N) | |
|---|---|---|---|---|---|---|---|
| [3] | 0.794 | 304 | 0.24 | 0.2, 0.4, 0.8 | 0.4 | 500 | 13.5·10−9 |
| Test | Experimental Wear Depth (mm) | Estimated Wear Depth (mm) | Error (%) | Experimental Worn Area Diameter (mm) | Estimated Worn Area Diameter (mm) | Error (%) |
|---|---|---|---|---|---|---|
| Test 1 | 0.378 | 0.369 | 2.4 | 3.805 | 3.84 | −0.92 |
| Test 2 | 0.493 | 0.4834 | 1.9 | 4.329 | 4.397 | −1.57 |
| Test 3 | 0.602 | 0.5918 | 1.7 | 4.758 | 4.8654 | −2.25 |
Disclaimer/Publisher’s Note: The statements, opinions and data contained in all publications are solely those of the individual author(s) and contributor(s) and not of MDPI and/or the editor(s). MDPI and/or the editor(s) disclaim responsibility for any injury to people or property resulting from any ideas, methods, instructions or products referred to in the content. |
© 2023 by the authors. Licensee MDPI, Basel, Switzerland. This article is an open access article distributed under the terms and conditions of the Creative Commons Attribution (CC BY) license (https://creativecommons.org/licenses/by/4.0/).
Share and Cite
Di Puccio, F.; Mattei, L. Further Validation of a Simple Mathematical Description of Wear and Contact Pressure Evolution in Sliding Contacts. Lubricants 2023, 11, 230. https://doi.org/10.3390/lubricants11050230
Di Puccio F, Mattei L. Further Validation of a Simple Mathematical Description of Wear and Contact Pressure Evolution in Sliding Contacts. Lubricants. 2023; 11(5):230. https://doi.org/10.3390/lubricants11050230
Chicago/Turabian StyleDi Puccio, Francesca, and Lorenza Mattei. 2023. "Further Validation of a Simple Mathematical Description of Wear and Contact Pressure Evolution in Sliding Contacts" Lubricants 11, no. 5: 230. https://doi.org/10.3390/lubricants11050230
APA StyleDi Puccio, F., & Mattei, L. (2023). Further Validation of a Simple Mathematical Description of Wear and Contact Pressure Evolution in Sliding Contacts. Lubricants, 11(5), 230. https://doi.org/10.3390/lubricants11050230
