Insights into the Corrosion Inhibition Performance of Three 2-Isoxazoline-γ-Lactones for Carbon Steel in Acidic Medium: Linking Molecular and Experimental-Level Information with Microscopic-Scale Modeling
Abstract
1. Introduction
2. Materials and Methods
2.1. Materials, Inhibitors and Solutions
2.2. Electrochemical Measurements
2.3. Surface Analysis
2.4. Quantum Chemical Calculations
2.5. Monte CarloSimulation
2.6. SCC-DFTB Simulation
3. Results and Discussion
3.1. OCP Measurements
3.2. Potentiodynamic Polarization Curves
3.3. Electrochemical Impedance Spectroscopy
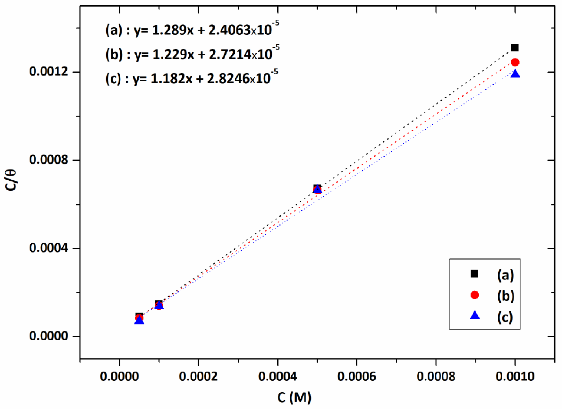
3.4. Adsorption Isotherm
3.5. Surface Characterization
3.6. Global Reactivity Descriptors
3.7. Monte Carlo Simulations
3.8. DFTB Simulations
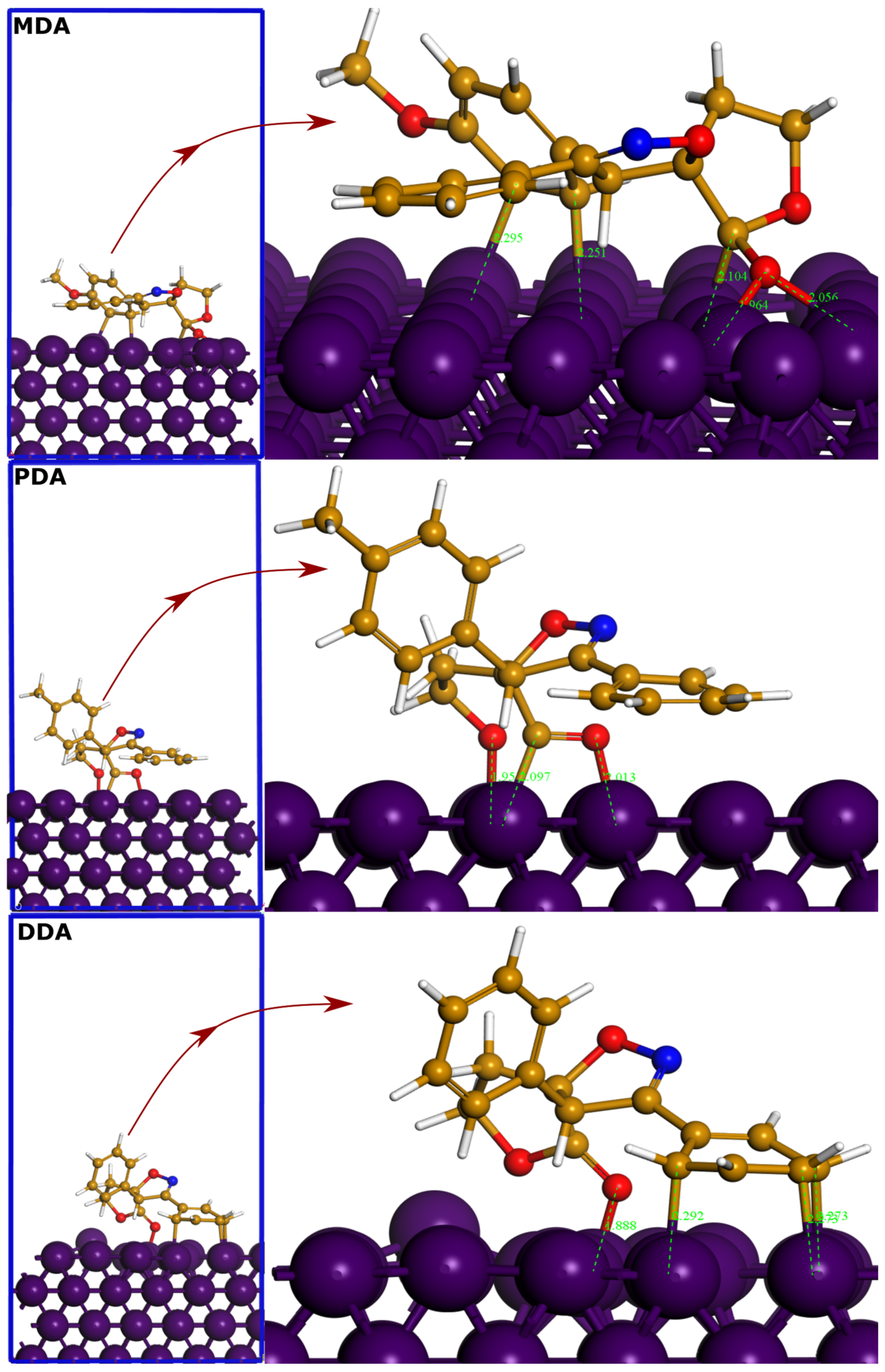
3.8.1. Adsorption Geometries
3.8.2. Projected Density of States
3.9. Mechanism of Adsorption and Inhibition
4. Conclusions
Author Contributions
Funding
Data Availability Statement
Conflicts of Interest
References
- Tang, Z.; Hu, X.; Jiang, J.; Xue, H.; Zhuge, H. Effects of Pre-Fatigue Damages on Ultimate Strength of Steel Columns: From Material to Structure. J. Constr. Steel Res. 2022, 195, 107358. [Google Scholar] [CrossRef]
- Popoola, L.T.; Grema, A.S.; Latinwo, G.K.; Gutti, B.; Balogun, A.S. Corrosion problems during oil and gas production and its mitigation. Int. J. Ind. Chem. 2013, 4, 35. [Google Scholar] [CrossRef]
- Rodgers, G.W.; Chase, J.G.; Causse, R.; Chanchi, J.; MacRae, G.A. Performance and Degradation of Sliding Steel Friction Connections: Impact of Velocity, Corrosion Coating and Shim Material. Eng. Struct. 2017, 141, 292–302. [Google Scholar] [CrossRef]
- Znini, M.; Majidi, L.; Bouyanzer, A.; Paolini, J.; Desjobert, J.-M.; Costa, J.; Hammouti, B. Essential Oil of Salvia Aucheri Mesatlantica as a Green Inhibitor for the Corrosion of Steel in 0.5M H2SO4. Arab. J. Chem. 2012, 5, 467–474. [Google Scholar] [CrossRef]
- Abdel-Karim, A.M.; El-Shamy, A.M. A Review on Green Corrosion Inhibitors for Protection of Archeological Metal Artifacts. J. Bio-Tribo-Corros. 2022, 8, 35. [Google Scholar] [CrossRef]
- Senthilkumar, G.; Umarani, C.; Ramachandran, A. Investigation on Corrosion Inhibition Effect of N-[4-(1,3-Benzo[d]Thiazol-2-Ylcarbamoyl)Phenyl]Quinoline-6-Carboxamide as a Novel Organic Inhibitor on Mild Steel in 1N HCl at Different Temperatures: Experimental and Theoretical Study. J. Indian Chem. Soc. 2021, 98, 100079. [Google Scholar] [CrossRef]
- Quraishi, M.A.; Chauhan, D.S.; Saji, V.S. Heterocyclic Organic Corrosion Inhibitors: Principles and Applications; Elsevier: Amsterdam, The Netherlands, 2020; ISBN 978-0-12-819694-6. [Google Scholar]
- Quraishi, M.A.; Chauhan, D.S.; Saji, V.S. Heterocyclic Biomolecules as Green Corrosion Inhibitors. J. Mol. Liq. 2021, 341, 117265. [Google Scholar] [CrossRef]
- Liu, Z.-Y.; Wang, D.; Li, D.-T.; Wang, H.-Q. The Inhibition Efficiencies of Some Organic Corrosion Inhibitors of Iron: An Insight from Density Functional Theory Study. Comput. Theor. Chem. 2022, 1214, 113759. [Google Scholar] [CrossRef]
- Pradhan, B. A Study on Effectiveness of Inorganic and Organic Corrosion Inhibitors on Rebar Corrosion in Concrete: A Review. Mater. Today Proc. 2022, 65, 1360–1366. [Google Scholar]
- Aslam, J.; Aslam, R.; Alrefaee, S.H.; Mobin, M.; Aslam, A.; Parveen, M.; Hussain, C.M. Gravimetric, Electrochemical, and Morphological Studies of an Isoxazole Derivative as Corrosion Inhibitor for Mild Steel in 1 M HCl. Arab. J. Chem. 2020, 13, 7744–7758. [Google Scholar] [CrossRef]
- Crossley, D.L.; Gabbutt, C.D.; Heron, B.M.; Kay, P.; Mogstad, M. Synthesis and Photochromic Properties of Spiro [Naphthopyran-7′ H-Benzocyclohepta-5′, 8′-Dienes]. Dyes Pigment. 2012, 95, 62–68. [Google Scholar] [CrossRef]
- Gonçalves, R.S.B.; Santos, M.D.; Bernadat, G.; Bonnet-Delpon, D.; Crousse, B. A One-Pot Synthesis of 3-Trifluoromethyl-2-Isoxazolines from Trifluoromethyl Aldoxime. Beilstein J. Org. Chem. 2013, 9, 2387–2394. [Google Scholar] [CrossRef] [PubMed]
- Fernandes, R.A.; Gangani, A.J.; Panja, A. Synthesis of 5-Vinyl-2-Isoxazolines by Palladium-Catalyzed Intramolecular O-Allylation of Ketoximes. Org. Lett. 2021, 23, 6227–6231. [Google Scholar] [CrossRef] [PubMed]
- Frerot, E.; Bagnoud, A. Easy Access to Aroma Active Unsaturated γ-Lactones by Addition of Modified Titanium Homoenolate to Aldehydes. J. Agric. Food Chem. 2011, 59, 4057–4061. [Google Scholar] [CrossRef]
- Yanai, H. Chapter 13–Green and Catalytic Methods for γ-Lactone Synthesis. In Green Synthetic Approaches for Biologically Relevant Heterocycles, 2nd ed.; Brahmachari, G., Ed.; Advances in Green and Sustainable Chemistry; Elsevier: Amsterdam, The Netherlands, 2021; pp. 537–615. ISBN 978-0-12-820792-5. [Google Scholar]
- Nwankwo, H.U.; Olasunkanmi, L.O.; Ebenso, E.E. Experimental, Quantum Chemical and Molecular Dynamic Simulations Studies on the Corrosion Inhibition of Mild Steel by Some Carbazole Derivatives. Sci. Rep. 2017, 7, 1–18. [Google Scholar] [CrossRef] [PubMed]
- Oukhrib, R.; Abdellaoui, Y.; Berisha, A.; Abou Oualid, H.; Halili, J.; Jusufi, K.; Ait El Had, M.; Bourzi, H.; El Issami, S.; Asmary, F.A. DFT, Monte Carlo and Molecular Dynamics Simulations for the Prediction of Corrosion Inhibition Efficiency of Novel Pyrazolylnucleosides on Cu (111) Surface in Acidic Media. Sci. Rep. 2021, 11, 3771. [Google Scholar] [CrossRef] [PubMed]
- Kokalj, A. Molecular Modeling of Organic Corrosion Inhibitors: Calculations, Pitfalls, and Conceptualization of Molecule–Surface Bonding. Corros. Sci. 2021, 193, 109650. [Google Scholar] [CrossRef]
- Kokalj, A.; Lozinšek, M.; Kapun, B.; Taheri, P.; Neupane, S.; Losada-Pérez, P.; Xie, C.; Stavber, S.; Crespo, D.; Renner, F.U.; et al. Simplistic Correlations between Molecular Electronic Properties and Inhibition Efficiencies: Do They Really Exist? Corros. Sci. 2021, 179, 108856. [Google Scholar] [CrossRef]
- Kokalj, A. Ab Initio Modeling of the Bonding of Benzotriazole Corrosion Inhibitor to Reduced and Oxidized Copper Surfaces. Faraday Discuss. 2015, 180, 415–438. [Google Scholar] [CrossRef]
- Kokalj, A.; Peljhan, S.; Finšgar, M.; Milošev, I. What Determines the Inhibition Effectiveness of ATA, BTAH, and BTAOH Corrosion Inhibitors on Copper? J. Am. Chem. Soc. 2010, 132, 16657–16668. [Google Scholar] [CrossRef]
- El-Haitout, B.; Selatnia, I.; Lgaz, H.; Al-Hadeethi, M.R.; Lee, H.-S.; Chaouiki, A.; Ko, Y.G.; Ali, I.H.; Salghi, R. Exploring the Feasibility of New Eco-Friendly Heterocyclic Compounds for Establishing Efficient Corrosion Protection for N80 Steel in a Simulated Oil Well Acidizing Environment: From Molecular-Level Prediction to Experimental Validation. Colloids Surf. Physicochem. Eng. Asp. 2023, 656, 130372. [Google Scholar] [CrossRef]
- Lgaz, H.; Lee, H. Facile Preparation of New Hydrazone Compounds and Their Application for Long-Term Corrosion Inhibition of N80 Steel in 15% HCl: An Experimental Study Combined with DFTB Calculations. J. Mol. Liq. 2022, 347, 117952. [Google Scholar] [CrossRef]
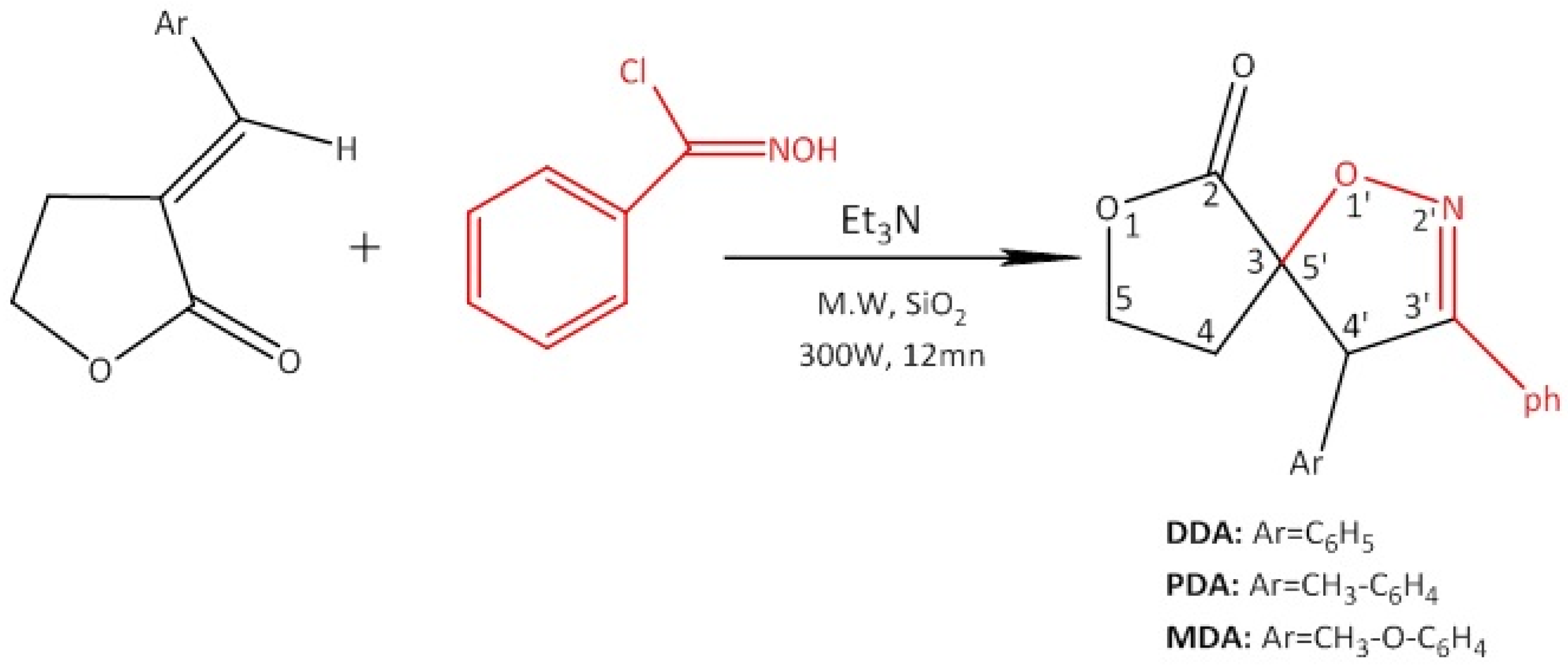
- Youssefi, Y.; Ou-ani, O.; Oucheikh, L. Synthesis of New Heterocycles with a Spiran Junction (Spiro 2-Isoxazoline-γ-Lactone) Using the Microwave Oven Technique in a Dry Environment (SiO2). Org. Chem. Ind. J. 2021, 15, 32. [Google Scholar]
- Parveen, M.; Mobin, M.; Zehra, S.; Aslam, R. L-Proline Mixed with Sodium Benzoate as Sustainable Inhibitor for Mild Steel Corrosion in 1 M HCl: An Experimental and Theoretical Approach. Sci. Rep. 2018, 8, 7489. [Google Scholar] [CrossRef]
- Chafiq, M.; Chaouiki, A.; Damej, M.; Lgaz, H.; Salghi, R.; Ali, I.H.; Benmessaoud, M.; Masroor, S.; Chung, I.-M. Bolaamphiphile-Class Surfactants as Corrosion Inhibitor Model Compounds against Acid Corrosion of Mild Steel. J. Mol. Liq. 2020, 309, 113070. [Google Scholar] [CrossRef]
- Abu-Awwad, F.; Politzer, P. Variation of Parameters in Becke-3 Hybrid Exchange-correlation Functional. J. Comput. Chem. 2000, 21, 227–238. [Google Scholar] [CrossRef]
- Ansari, A.; Ou-Ani, O.; Oucheikh, L.; Youssefi, Y.; Chebabe, D.; Oubair, A.; Znini, M. Experimental, Theoretical Modeling and Optimization of Inhibitive Action of Ocimum Basilicum Essential Oil as Green Corrosion Inhibitor for C38 Steel in 0.5 M H2SO4 Medium. Chem. Afr. 2022, 5, 37–55. [Google Scholar] [CrossRef]
- Hourahine, B.; Aradi, B.; Blum, V.; Bonafé, F.; Buccheri, A.; Camacho, C.; Cevallos, C.; Deshaye, M.; Dumitrică, T.; Dominguez, A. DFTB+, a Software Package for Efficient Approximate Density Functional Theory Based Atomistic Simulations. J. Chem. Phys. 2020, 152, 124101. [Google Scholar] [CrossRef]
- Perdew, J.P.; Burke, K.; Ernzerhof, M. Generalized Gradient Approximation Made Simple. Phys. Rev. Lett. 1996, 77, 3865. [Google Scholar] [CrossRef] [PubMed]
- Grimme, S. Semiempirical GGA-Type Density Functional Constructed with a Long-Range Dispersion Correction. J. Comput. Chem. 2006, 27, 1787–1799. [Google Scholar] [CrossRef]
- Guo, L.; Obot, I.B.; Zheng, X.; Shen, X.; Qiang, Y.; Kaya, S.; Kaya, C. Theoretical Insight into an Empirical Rule about Organic Corrosion Inhibitors Containing Nitrogen, Oxygen, and Sulfur Atoms. Appl. Surf. Sci. 2017, 406, 301–306. [Google Scholar] [CrossRef]
- Sabet Bokati, K.; Dehghanian, C.; Yari, S. Corrosion Inhibition of Copper, Mild Steel and Galvanically Coupled Copper-Mild Steel in Artificial Sea Water in Presence of 1H-Benzotriazole, Sodium Molybdate and Sodium Phosphate. Corros. Sci. 2017, 126, 272–285. [Google Scholar] [CrossRef]
- Simonović, A.T.; Tasić, Ž.Z.; Radovanović, M.B.; Petrović Mihajlović, M.B.; Antonijević, M.M. Influence of 5-Chlorobenzotriazole on Inhibition of Copper Corrosion in Acid Rain Solution. ACS Omega 2020, 5, 12832–12841. [Google Scholar] [CrossRef] [PubMed]
- Sherif, E.-S.M.; Erasmus, R.M.; Comins, J.D. In Situ Raman Spectroscopy and Electrochemical Techniques for Studying Corrosion and Corrosion Inhibition of Iron in Sodium Chloride Solutions. Electrochim. Acta 2010, 55, 3657–3663. [Google Scholar] [CrossRef]
- Ramkumar, S.; Nalini, D.; Quraishi, M.A.; Ebenso, E.E.; Verma, C. Anti-Corrosive Property of Bioinspired Environmental Benign Imidazole and Isoxazoline Heterocyclics: A Cumulative Studies of Experimental and DFT Methods. J. Heterocycl. Chem. 2020, 57, 103–119. [Google Scholar] [CrossRef]
- Ahamad, I.; Quraishi, M.A. Mebendazole: New and Efficient Corrosion Inhibitor for Mild Steel in Acid Medium. Corros. Sci. 2010, 52, 651–656. [Google Scholar] [CrossRef]
- Elqars, E.; Hachim, M.E.; Oubella, A.; Byadi, S.; Bahsis, L.; Auhmani, A.; Guennoun, M.; Essadki, A.; Ait Itto, M.Y.; Nbigui, T. The Inhibitory Action of 3-Phenyl-Isoxazoline-Carvone on Carbon Steel in HCl Solution Was Investigated Experimentally and Theoretically. J. Adhes. Sci. Technol. 2022, 36, 2346–2367. [Google Scholar] [CrossRef]
- Sengupta, S.; Murmu, M.; Mandal, S.; Hirani, H.; Banerjee, P. Competitive Corrosion Inhibition Performance of Alkyl/Acyl Substituted 2-(2-Hydroxybenzylideneamino)Phenol Protecting Mild Steel Used in Adverse Acidic Medium: A Dual Approach Analysis Using FMOs/Molecular Dynamics Simulation Corroborated Experimental Findings. Colloids Surf. Physicochem. Eng. Asp. 2021, 617, 126314. [Google Scholar] [CrossRef]
- Laabaissi, T.; Rbaa, M.; Benhiba, F.; Rouifi, Z.; Kumar, U.P.; Bentiss, F.; Oudda, H.; Lakhrissi, B.; Warad, I.; Zarrouk, A. Insight into the Corrosion Inhibition of New Benzodiazepine Derivatives as Highly Efficient Inhibitors for Mild Steel in 1 M HCl: Experimental and Theoretical Study. Colloids Surf. Physicochem. Eng. Asp. 2021, 629, 127428. [Google Scholar] [CrossRef]
- Damej, M.; Kaya, S.; EL Ibrahimi, B.; Lee, H.-S.; Molhi, A.; Serdaroğlu, G.; Benmessaoud, M.; Ali, I.H.; EL Hajjaji, S.; Lgaz, H. The Corrosion Inhibition and Adsorption Behavior of Mercaptobenzimidazole and Bis-Mercaptobenzimidazole on Carbon Steel in 1.0 M HCl: Experimental and Computational Insights. Surf. Interfaces 2021, 24, 101095. [Google Scholar] [CrossRef]
- Khamis, E.; Hefnawy, A.; El-Demerdash, A.M. Acid Cleaning of Steel Using Arghel Echo Friendly Corrosion Inhibitor. Mater. Werkst. 2007, 38, 227–232. [Google Scholar] [CrossRef]
- Mansfeld, F. Recording and Analysis of AC Impedance Data for Corrosion Studies. Corrosion 1981, 37, 301–307. [Google Scholar] [CrossRef]
- Macdonald, J.R. Impedance Spectroscopy and Its Use in Analyzing the Steady-State AC Response of Solid and Liquid Electrolytes. J. Electroanal. Chem. Interfacial Electrochem. 1987, 223, 25–50. [Google Scholar] [CrossRef]
- Qiang, Y.; Guo, L.; Li, H.; Lan, X. Fabrication of Environmentally Friendly Losartan Potassium Film for Corrosion Inhibition of Mild Steel in HCl Medium. Chem. Eng. J. 2021, 406, 126863. [Google Scholar] [CrossRef]
- Hsu, C.H.; Mansfeld, F. Concerning the Conversion of the Constant Phase Element Parameter Y0 into a Capacitance. Corrosion 2001, 57, 747–748. [Google Scholar] [CrossRef]
- Mashuga, M.E.; Olasunkanmi, L.O.; Lgaz, H.; Sherif, E.-S.M.; Ebenso, E.E. Aminomethylpyridazine Isomers as Corrosion Inhibitors for Mild Steel in 1 M HCl: Electrochemical, DFT and Monte Carlo Simulation Studies. J. Mol. Liq. 2021, 344, 117882. [Google Scholar] [CrossRef]
- He, J.; Li, Q.; Li, X.; An, J.; Chen, G.; Zhao, L.; Li, W. Insight into the Anti-Corrosion Mechanism of 2-Aminobenzenethiol as the Inhibitor for Copper in Acid Environment. J. Mol. Liq. 2020, 320, 114494. [Google Scholar] [CrossRef]
- Peme, T.; Olasunkanmi, L.; Bahadur, I.; Adekunle, A.; Kabanda, M.; Ebenso, E. Adsorption and Corrosion Inhibition Studies of Some Selected Dyes as Corrosion Inhibitors for Mild Steel in Acidic Medium: Gravimetric, Electrochemical, Quantum Chemical Studies and Synergistic Effect with Iodide Ions. Molecules 2015, 20, 16004–16029. [Google Scholar] [CrossRef]
- Berdimurodov, E.; Kholikov, A.; Akbarov, K.; Xu, G.; Abdullah, A.M.; Hosseini, M. New Anti-Corrosion Inhibitor (3ar,6ar)-3a,6a-Di-p-Tolyltetrahydroimidazo [4,5-d]Imidazole-2,5(1 h,3h)-Dithione for Carbon Steel in 1 M HCl Medium: Gravimetric, Electrochemical, Surface and Quantum Chemical Analyses. Arab. J. Chem. 2020, 13, 7504–7523. [Google Scholar] [CrossRef]
- Bahron, H.; Ghani, A.A.; Anouar, E.H.; Embong, Z.; Alharthi, A.I.; Harun, M.K.; Alias, Y. Adsorption, Electrochemistry, DFT and Inhibitive Effect of Imines Derived from Tribulin on Corrosion of Mild Steel in 1 M HCl. J. Mol. Struct. 2021, 1235, 130206. [Google Scholar] [CrossRef]
- Hashim, N.Z.N.; Anouar, E.H.; Kassim, K.; Zaki, H.M.; Alharthi, A.I.; Embong, Z. XPS and DFT Investigations of Corrosion Inhibition of Substituted Benzylidene Schiff Bases on Mild Steel in Hydrochloric Acid. Appl. Surf. Sci. 2019, 476, 861–877. [Google Scholar] [CrossRef]
- Kokalj, A. Corrosion Inhibitors: Physisorbed or Chemisorbed? Corros. Sci. 2022, 196, 109939. [Google Scholar] [CrossRef]
- Walczak, M.S.; Morales-Gil, P.; Lindsay, R. Determining Gibbs Energies of Adsorption from Corrosion Inhibition Efficiencies: Is It a Reliable Approach? Corros. Sci. 2019, 155, 182–185. [Google Scholar] [CrossRef]
- Verma, C.; Olasunkanmi, L.O.; Ebenso, E.E.; Quraishi, M.A. Substituents Effect on Corrosion Inhibition Performance of Organic Compounds in Aggressive Ionic Solutions: A Review. J. Mol. Liq. 2018, 251, 100–118. [Google Scholar] [CrossRef]
- Srivastava, V.; Haque, J.; Verma, C.; Singh, P.; Lgaz, H.; Salghi, R.; Quraishi, M.A. Amino Acid Based Imidazolium Zwitterions as Novel and Green Corrosion Inhibitors for Mild Steel: Experimental, DFT and MD Studies. J. Mol. Liq. 2017, 244, 340–352. [Google Scholar] [CrossRef]
- Panda, J.N.; Wong, B.C.; Medvedovski, E.; Egberts, P. Enhancement of Tribo-Corrosion Performance of Carbon Steel through Boronizing and BN-Based Coatings. Tribol. Int. 2021, 153, 106666. [Google Scholar] [CrossRef]
- Dehghani, A.; Bahlakeh, G.; Ramezanzadeh, B.; Ramezanzadeh, M. Potential Role of a Novel Green Eco-Friendly Inhibitor in Corrosion Inhibition of Mild Steel in HCl Solution: Detailed Macro/Micro-Scale Experimental and Computational Explorations. Constr. Build. Mater. 2020, 245, 118464. [Google Scholar] [CrossRef]
- Singh, A.; Ansari, K.; Haque, J.; Dohare, P.; Lgaz, H.; Salghi, R.; Quraishi, M. Effect of Electron Donating Functional Groups on Corrosion Inhibition of Mild Steel in Hydrochloric Acid: Experimental and Quantum Chemical Study. J. Taiwan Inst. Chem. Eng. 2018, 82, 233–251. [Google Scholar] [CrossRef]
- Zhang, X.; Yang, L.; Zhang, Y.; Tan, B.; Zheng, X.; Li, W. Combined Electrochemical/Surface and Theoretical Assessments of Rosa Laevigata Extract as an Eco-Friendly Corrosion Inhibitor for Copper in Acidic Medium. J. Taiwan Inst. Chem. Eng. 2022, 136, 104408. [Google Scholar] [CrossRef]
- El-Katori, E.E.; Ahmed, M.; Nady, H. Imidazole Derivatives Based on Glycourils as Efficient Anti-Corrosion Inhibitors for Copper in HNO3 Solution: Synthesis, Electrochemical, Surface, and Theoretical Approaches. Colloids Surf. Physicochem. Eng. Asp. 2022, 649, 129391. [Google Scholar] [CrossRef]
- Verma, C.; Quraishi, M.; Singh, A. 5-Substituted 1H-Tetrazoles as Effective Corrosion Inhibitors for Mild Steel in 1 M Hydrochloric Acid. J. Taibah Univ. Sci. 2016, 10, 718–733. [Google Scholar] [CrossRef]
- Zehra, B.F.; Said, A.; Eddine, H.M.; Hamid, E.; Najat, H.; Rachid, N.; Toumert, L.I. Crataegus Oxyacantha Leaves Extract for Carbon Steel Protection against Corrosion in 1M HCl: Characterization, Electrochemical, Theoretical Research, and Surface Analysis. J. Mol. Struct. 2022, 1259, 132737. [Google Scholar] [CrossRef]
- Lgaz, H.; Lee, H. First-principles Based Theoretical Investigation of the Adsorption of Alkanethiols on the Iron Surface: A DFT-D3 Study. J. Mol. Liq. 2022, 348, 118071. [Google Scholar] [CrossRef]
- Cordero, B.; Gómez, V.; Platero-Prats, A.E.; Revés, M.; Echeverría, J.; Cremades, E.; Barragán, F.; Alvarez, S. Covalent Radii Revisited. Dalton Trans. 2008, 21, 2832–2838. [Google Scholar] [CrossRef]
- Pinho e Melo, T.M.V.D. 4-Isoxazolines: Scaffolds for Organic Synthesis. Eur. J. Org. Chem. 2010, 2010, 3363–3376. [Google Scholar] [CrossRef]
- Guo, L.; Ren, X.; Zhou, Y.; Xu, S.; Gong, Y.; Zhang, S. Theoretical Evaluation of the Corrosion Inhibition Performance of 1,3-Thiazole and Its Amino Derivatives. Arab. J. Chem. 2017, 10, 121–130. [Google Scholar] [CrossRef]
- Dehghani, A.; Mostafatabar, A.H.; Bahlakeh, G.; Ramezanzadeh, B.; Ramezanzadeh, M. Detailed-Level Computer Modeling Explorations Complemented with Comprehensive Experimental Studies of Quercetin as a Highly Effective Inhibitor for Acid-Induced Steel Corrosion. J. Mol. Liq. 2020, 309, 113035. [Google Scholar] [CrossRef]
- Bahlakeh, G.; Dehghani, A.; Ramezanzadeh, B.; Ramezanzadeh, M. Highly Effective Mild Steel Corrosion Inhibition in 1 M HCl Solution by Novel Green Aqueous Mustard Seed Extract: Experimental, Electronic-Scale DFT and Atomic-Scale MC/MD Explorations. J. Mol. Liq. 2019, 293, 111559. [Google Scholar] [CrossRef]
- Znini, M.; Ansari, A.; Costa, J.; Senhaji, O.; Paolini, J.; Majidi, L. Experimental, Quantum Chemical and Molecular Dynamic Simulations Studies on the Corrosion Inhibition of C38 Steel in 1 M HCl by Anethum Graveolens Essential Oil. Anal. Bioanal. Electrochem. 2019, 11, 1426–1451. [Google Scholar]
- Palcut, M.; Benko, J.; Müller, N.; Hritzová, O.; Vollárová, O.; Melikian, G.S. Base-Catalysed Hydrolysis and Reactivity-Spectra Correlations of (Z)-4-Benzylidene-2-(Substituted Phenyl)Oxazol-5(4H)-Ones. J. Chem. Res. 2004, 2004, 649–653. [Google Scholar] [CrossRef]
- Sastri, V.S.; Perumareddi, J.R. Molecular Orbital Theoretical Studies of Some Organic Corrosion Inhibitors. Corrosion 1997, 53, 617–622. [Google Scholar] [CrossRef]
- Allah, A.G.G.; Moustafa, H. Quantum Mechanical Calculations of Amino Pyrazole Derivatives as Corrosion Inhibitors for Zinc, Copper and α-Brass in Acid Chloride Solution. J. Appl. Electrochem. 1992, 22, 644–648. [Google Scholar] [CrossRef]
- McCafferty, E. Introduction to Corrosion Science; Springer Science & Business Media: New York, NY, USA, 2010; ISBN 1-4419-0454-9. [Google Scholar]

















| Inhibitors | C (mol/L) | Ecorr (mV vs. Ag/AgCl) | icorr (mA/cm2) | βc (mV/dec) | βa (mV/dec) | θ | |
|---|---|---|---|---|---|---|---|
| Blank | 1.0 | −443.37 | 351.38 | 130.9 | 108.6 | - | - |
| DDA | 5 × 10−5 | −437.40 | 158.02 | 111.8 | 96.8 | 0.55 | 55.03 |
| 10−4 | −454.29 | 114.23 | 90.4 | 156 | 0.67 | 67.49 | |
| 5 × 10−4 | −456.52 | 90.23 | 101.7 | 165.8 | 0.74 | 74.32 | |
| 10−3 | −472.92 | 83.43 | 146.1 | 170.2 | 0.76 | 76.26 | |
| PDA | 5 × 10−5 | −460.90 | 143.55 | 86.9 | 104.2 | 0.59 | 59.15 |
| 10−4 | −454.91 | 102.15 | 106.9 | 187.8 | 0.71 | 70.93 | |
| 5 × 10−4 | −467.29 | 87.59 | 119.5 | 184.5 | 0.75 | 75.07 | |
| 10−3 | −472.95 | 69.2 | 124.6 | 157.5 | 0.80 | 80.31 | |
| MDA | 5 × 10−5 | −448.21 | 103.8 | 122.8 | 197.5 | 0.70 | 70.46 |
| 10−4 | −459.26 | 98.35 | 108.9 | 173.6 | 0.72 | 72.01 | |
| 5 × 10−4 | −462.92 | 86.93 | 108 | 185.4 | 0.75 | 75.26 | |
| 10−3 | −468.03 | 60.02 | 124.4 | 161.6 | 0.83 | 82.91 |
| Inhibitor | C (M) | Rs (Ω cm2) | Rp (Ω cm2) | n | Cdl (µF cm−2) | ηEIS (%) |
|---|---|---|---|---|---|---|
| Blank | 0 | 1.8 | 34.59 | 0.867 | 200 | - |
| DDA | 5 × 10−5 | 1.71 | 79.81 | 0.848 | 111.3 | 56.66 |
| 10−4 | 1.41 | 111.2 | 0.846 | 82.63 | 68.89 | |
| 5 × 10−4 | 2.15 | 132.5 | 0.851 | 50.09 | 73.89 | |
| 10−3 | 1.08 | 145.1 | 0.838 | 16.15 | 76.16 | |
| PDA | 5 × 10−5 | 2.4 | 83.12 | 0.844 | 148 | 58.38 |
| 10−4 | 2.14 | 118.2 | 0.819 | 81.2 | 70.74 | |
| 5 × 10−4 | 1.61 | 136.6 | 0.837 | 51.03 | 74.68 | |
| 10−3 | 1.22 | 172.7 | 0.823 | 11.32 | 79.97 | |
| MDA | 5 × 10−5 | 2.72 | 111.9 | 0.859 | 70.23 | 69.09 |
| 10−4 | 0.22 | 124.9 | 0.839 | 71.64 | 72.30 | |
| 5 × 10−4 | 2.65 | 141.4 | 0.828 | 13.55 | 75.54 | |
| 10−3 | 1.87 | 187.5 | 0.832 | 10.43 | 81.55 |
| Inhibitors | R2 | Kads (L/mol) | ∆G°ads (KJ/mol) |
|---|---|---|---|
| DDA | 0.999 | 41,557.0599 | −36.28 |
| PDA | 0.999 | 36,745.7926 | −35.98 |
| MDA | 0.997 | 35,402.6163 | −35.88 |
| Atoms | DDA | PDA | MDA |
|---|---|---|---|
| 1 C | −0.555680 | −0.622185 | −0.458684 |
| 2 C | 0.337767 | 0.443252 | 0.397635 |
| 3 C | 0.214206 | 0.343435 | 0.294192 |
| 4 N | −0.565198 | −0.593659 | −0.544043 |
| 5 O | 0.285610 | 0.310972 | 0.282805 |
| 6 C | 0.898736 | 1.093186 | 0.838113 |
| 7 C | 0.260993 | 0.347017 | 0.277495 |
| 8 C | −0.455695 | −0.445829 | −0.417968 |
| 9 C | −0.126592 | −0.148791 | −0.115754 |
| 10 C | −0.181017 | −0.198834 | −0.136307 |
| 11 C | −0.264764 | −0.492874 | −0.282585 |
| 12 C | 1.140272 | 0.995259 | 0.686477 |
| 13 C | 0.061893 | −0.117591 | −0.175991 |
| 14 C | −0.226879 | −0.389585 | 0.147142 |
| 15 C | −0.168224 | 0.307614 | −0.617954 |
| 16 C | −0.241291 | −0.321524 | −0.163799 |
| 17 C | −0.471165 | −0.444933 | −0.046391 |
| 18 C | 0.168083 | 0.193856 | 0.151601 |
| 19 O | −0.054074 | −0.058607 | −0.051422 |
| 20 C | −0.060601 | −0.057089 | −0.045683 |
| 21 C | 0.329729 | 0.316278 | 0.312156 |
| 22 O | −0.326108 | −0.322670 | −0.328247 |
| 37 C | - | −0.136699 | - |
| 37 O | - | - | −0.192714 |
| 38 C | - | - | 0.189926 |
| Quantum Parameters | DDA | PDA | MDA |
|---|---|---|---|
| EHOMO (eV) | −6.69 | −6.66 | −6.45 |
| ELUMO (eV) | −1.89 | −1.89 | −1.86 |
| Dipolar moment µ (debye) | 8.85 | 9.55 | 10.32 |
| σ (mollesse) | 0.42 | 0.42 | 0.44 |
| I (eV) | 6.69 | 6,66 | 6.45 |
| Χ (electronegativity) | 4.29 | 4.28 | 4.15 |
| A (eV) | 1.89 | 1.89 | 1.86 |
| η (hardness) | 2.40 | 2.38 | 2.29 |
| ω (electrophilicity index) | 3.84 | 3.83 | 3.76 |
| ΔE (gap) (eV) | 4.80 | 4.77 | 4.59 |
Disclaimer/Publisher’s Note: The statements, opinions and data contained in all publications are solely those of the individual author(s) and contributor(s) and not of MDPI and/or the editor(s). MDPI and/or the editor(s) disclaim responsibility for any injury to people or property resulting from any ideas, methods, instructions or products referred to in the content. |
© 2023 by the authors. Licensee MDPI, Basel, Switzerland. This article is an open access article distributed under the terms and conditions of the Creative Commons Attribution (CC BY) license (https://creativecommons.org/licenses/by/4.0/).
Share and Cite
Youssefi, Y.; Ansari, A.; Ou-ani, O.; Oucheikh, L.; Oubair, A.; Lgaz, H.; Hammouti, B.; Chaouiki, A.; Ko, Y.G.; Znini, M. Insights into the Corrosion Inhibition Performance of Three 2-Isoxazoline-γ-Lactones for Carbon Steel in Acidic Medium: Linking Molecular and Experimental-Level Information with Microscopic-Scale Modeling. Lubricants 2023, 11, 141. https://doi.org/10.3390/lubricants11030141
Youssefi Y, Ansari A, Ou-ani O, Oucheikh L, Oubair A, Lgaz H, Hammouti B, Chaouiki A, Ko YG, Znini M. Insights into the Corrosion Inhibition Performance of Three 2-Isoxazoline-γ-Lactones for Carbon Steel in Acidic Medium: Linking Molecular and Experimental-Level Information with Microscopic-Scale Modeling. Lubricants. 2023; 11(3):141. https://doi.org/10.3390/lubricants11030141
Chicago/Turabian StyleYoussefi, Youssef, Abdeslam Ansari, Omar Ou-ani, Lahcen Oucheikh, Ahmad Oubair, Hassane Lgaz, Belkheir Hammouti, Abdelkarim Chaouiki, Young Gun Ko, and Mohamed Znini. 2023. "Insights into the Corrosion Inhibition Performance of Three 2-Isoxazoline-γ-Lactones for Carbon Steel in Acidic Medium: Linking Molecular and Experimental-Level Information with Microscopic-Scale Modeling" Lubricants 11, no. 3: 141. https://doi.org/10.3390/lubricants11030141
APA StyleYoussefi, Y., Ansari, A., Ou-ani, O., Oucheikh, L., Oubair, A., Lgaz, H., Hammouti, B., Chaouiki, A., Ko, Y. G., & Znini, M. (2023). Insights into the Corrosion Inhibition Performance of Three 2-Isoxazoline-γ-Lactones for Carbon Steel in Acidic Medium: Linking Molecular and Experimental-Level Information with Microscopic-Scale Modeling. Lubricants, 11(3), 141. https://doi.org/10.3390/lubricants11030141

