Probing Magnetic Fields and Acceleration Mechanisms in Blazar Jets with X-ray Polarimetry
Abstract
1. Introduction
2. High Synchrotron Peak Blazars as Laboratories for Particle Acceleration
3. Particle Acceleration in Blazar Jets: Shocks and Magnetic Reconnection
4. Modeling X-ray Polarimetric Signatures in HSP
4.1. Shocks: Large Scale vs. Small Scale Treatments
4.2. Magnetic Reconnection in Unstable Jets
5. Outlook
- (1)
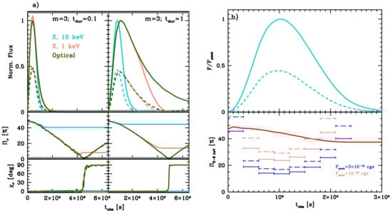
- For acceleration by shocks that are characterized by a magnetic field with a strong self-produced component, one anticipates a quite large (around for the parameters assumed in [33,54]) and stable degree of polarization of the X-ray emission. Moreover, since the emission occurs in a region that is characterized by a well defined orientation of the magnetic field, the angle of polarization is not expected to display large changes during the evolution of a flare. However, at optical frequencies, one predicts a more complex behavior. It is important to note that, while, for the X-ray band, it is likely that the emission is dominated by a single component (especially during flares), in the case of the optical emission it is quite likely that several components (or large portion of the jet) can contribute to the observed flux. This likely implies a dilution of the measured polarization in the optical, in agreement with the usually low (around 10%) average degree of polarization measured in BL Lac objects. As discussed above, this simple model neglects the possibly important role of turbulence in the downstream flow. A high level of turbulence can destroy the order of the self-generated field, greatly affecting the resulting polarization.
- (2)
- In the case of flares that are powered by the dissipation of magnetic energy in current sheets produced during the evolution of instabilities one expects a relatively small polarization (around 20%) at all bands, as a result of the simultaneous contribution of several active current sheets with different orientation. Moreover, the evolution of the instability results in significant variations of the angle of polarization over timescales that IXPE can easily resolve. The confinement of particles within the current sheets mainly determines the similar polarization in the optical and the X-ray band. However, the development of turbulence, which results in the effective energy-dependent diffusion of particles, could have an important role in shaping the polarimetric properties. Further studies are required to clarify the situation.
Funding
Acknowledgments
Conflicts of Interest
References
- Bykov, A.; Gehrels, N.; Krawczynski, H.; Lemoine, M.; Pelletier, G.; Pohl, M. Particle Acceleration in Relativistic Outflows. Space Sci. Rev. 2012, 173, 309–339. [Google Scholar] [CrossRef]
- Matthews, J.H.; Bell, A.R.; Blundell, K.M. Particle acceleration in astrophysical jets. New Astron. Rev. 2020, 89, 101543. [Google Scholar] [CrossRef]
- Romero, G.E.; Boettcher, M.; Markoff, S.; Tavecchio, F. Relativistic Jets in Active Galactic Nuclei and Microquasars. Space Sci. Rev. 2017, 207, 5–61. [Google Scholar] [CrossRef]
- Blandford, R.; Meier, D.; Readhead, A. Relativistic Jets from Active Galactic Nuclei. Annu. Rev. Astron. Astrophys. 2019, 57, 467–509. [Google Scholar] [CrossRef]
- Rani, B.; Jorstad, S.G.; Marscher, A.P.; Agudo, I.; Sokolovsky, K.V.; Larionov, V.M.; Smith, P.; Mosunova, D.A.; Borman, G.A.; Grishina, T.S.; et al. Exploring the Connection between Parsec-scale Jet Activity and Broadband Outbursts in 3C 279. Astrophys. J. 2018, 858, 80. [Google Scholar] [CrossRef]
- Hardee, P.E. The Role of Macroscopic and Microscopic Jet Instabilities. EPJ Web Conf. 2013, 61, 02001. [Google Scholar] [CrossRef]
- Guo, F.; Liu, Y.-H.; Daughton, W.; Li, H. Particle Acceleration and Plasma Dynamics during Magnetic Reconnection in the Magnetically Dominated Regime. Astrophys. J. 2015, 806, 167. [Google Scholar] [CrossRef]
- Sironi, L.; Spitkovsky, A. Relativistic Reconnection: An Efficient Source of Non-thermal Particles. Astrophys. J. Lett. 2014, 783, L21–L27. [Google Scholar] [CrossRef]
- Werner, G.R.; Uzdensky, D.A.; Cerutti, B.; Nalewajko, K.; Begelman, M.C. The Extent of Power-law Energy Spectra in Collisionless Relativistic Magnetic Reconnection in Pair Plasmas. Astrophys. J. Lett. 2016, 816, L8–L12. [Google Scholar] [CrossRef]
- Zenitani, S.; Hoshino, M. The Generation of Nonthermal Particles in the Relativistic Magnetic Reconnection of Pair Plasmas. Astrophys. J. Lett. 2001, 562, L63–L66. [Google Scholar] [CrossRef]
- Aller, H.D.; Aller, M.F.; Hughes, P.A. Polarized radio outbursts in BL Lacertae. I. Polarized emission from a compact jet. Astrophys. J. 1985, 298, 296–300. [Google Scholar] [CrossRef]
- Baring, M.G.; Böttcher, M.; Summerlin, E.J. Probing acceleration and turbulence at relativistic shocks in blazar jets. Mon. Not. R. Astron. Soc. 2017, 464, 4875–4894. [Google Scholar] [CrossRef]
- Marscher, A.P.; Gear, W.K. Models for high-frequency radio outbursts in extragalactic sources, with application to the early 1983 millimeter-to-infrared flare of 3C 273. Astrophys. J. 1985, 298, 114–127. [Google Scholar] [CrossRef]
- Bell, A.R. Particle Acceleration by Shocks in Supernova Remnants. Braz. J. Phys. 2014, 44, 415–425. [Google Scholar] [CrossRef]
- Blandford, R.; Eichler, D. Particle acceleration at astrophysical shocks: A theory of cosmic ray origin. Phys. Rep. 1987, 154, 1–75. [Google Scholar] [CrossRef]
- Spitkovsky, A. Particle Acceleration in Relativistic Collisionless Shocks: Fermi Process at Last? Astrophys. J. Lett. 2008, 682, L5–L9. [Google Scholar] [CrossRef]
- Angel, J.R.P.; Stockman, H.S. Optical and infrared polarization of active extragalactic objects. Annu. Rev. Astron. Astrophys. 1980, 18, 321–361. [Google Scholar] [CrossRef]
- Blinov, D.; Pavlidou, V.; Papadakis, I.; Kiehlmann, S.; Panopoulou, G.; Liodakis, I.; King, O.G.; Angelakis, E.; Baloković, M.; Das, H.; et al. RoboPol: First season rotations of optical polarization plane in blazars. Mon. Not. R. Astron. Soc. 2015, 453, 1669–1683. [Google Scholar] [CrossRef]
- Blinov, D.; Pavlidou, V.; Papadakis, I.; Kiehlmann, S.; Liodakis, I.; Panopoulou, G.V.; Angelakis, E.; Baloković, M.; Hovatta, T.; King, O.G.; et al. RoboPol: Connection between optical polarization plane rotations and gamma-ray flares in blazars. Mon. Not. R. Astron. Soc. 2018, 474, 1296–1306. [Google Scholar] [CrossRef]
- Larionov, V.M.; Jorstad, S.G.; Marscher, A.P.; Morozova, D.A.; Blinov, D.A.; Hagen-Thorn, V.A.; Konstantinova, T.S.; Kopatskaya, E.N.; Larionova, L.V.; Larionova, E.G.; et al. The Outburst of the Blazar S5 0716+71 in 2011 October: Shock in a Helical Jet. Astrophys. J. 2013, 768, 40. [Google Scholar] [CrossRef]
- Marscher, A.P.; Jorstad, S.G.; D’Arcangelo, F.D.; Smith, P.S.; Williams, G.G.; Larionov, V.M.; Oh, H.; Olmstead, A.R.; Aller, M.F.; Aller, H.D.; et al. The inner jet of an active galactic nucleus as revealed by a radio-to-γ-ray outburst. Nature 2008, 452, 966–969. [Google Scholar] [CrossRef] [PubMed]
- Marscher, A.P.; Jorstad, S.G.; Larionov, V.M.; Aller, M.F.; Aller, H.D.; Lähteenmäki, A.; Agudo, I.; Smith, P.S.; Gurwell, M.; Hagen-Thorn, V.A. Probing the Inner Jet of the Quasar PKS 1510–089 with Multi-Waveband Monitoring During Strong Gamma-Ray Activity. Astrophys. J. Lett. 2010, 710, L126–L131. [Google Scholar] [CrossRef]
- Abdo, A.A.; Ackermann, M.; Ajello, M.; Axelsson, M.; Baldini, L.; Ballet, J.; Barbiellini, G.; Bastieri, D.; Baughman, B.M.; Bechtol, K.; et al. A change in the optical polarization associated with a γ-ray flare in the blazar 3C279. Nature 2010, 463, 919–923. [Google Scholar]
- Nalewajko, K. Polarization Swings from Curved Trajectories of the Emitting Regions. Int. J. Mod. Phys. D 2010, 19, 701–706. [Google Scholar] [CrossRef]
- Kiehlmann, S.; Blinov, D.; Pearson, T.J.; Liodakis, I. Optical EVPA rotations in blazars: Testing a stochastic variability model with RoboPol data. Mon. Not. R. Astron. Soc. 2017, 472, 3589–3604. [Google Scholar] [CrossRef]
- Marscher, A.P. Turbulent, Extreme Multi-zone Model for Simulating Flux and Polarization Variability in Blazars. Astrophys. J. 2014, 780, 87. [Google Scholar] [CrossRef]
- Marscher, A.P. Time-variable linear polarization as a probe of the physical conditions in the compact jets of blazars. Proc. Int. Astron. Union 2015, 313, 122–127. [Google Scholar] [CrossRef]
- Weisskopf, M.C.; Ramsey, B.; O’Dell, S.L.; Tennant, A.; Elsner, R.; Soffita, P.; Bellazzini, R.; Costa, E.; Kolodziejczak, J.; Kaspi, V.; et al. The Imaging X-ray Polarimetry Explorer (IXPE). SPIE 2016, 9905, 990517. [Google Scholar] [CrossRef]
- Mücke, A.; Protheroe, R.J.; Engel, R.; Rachen, J.P.; Stanev, T. BL Lac objects in the synchrotron proton blazar model. Astropart. Phys. 2003, 18, 593–613. [Google Scholar] [CrossRef]
- Tavecchio, F.; Maraschi, L.; Ghisellini, G. Constraints on the Physical Parameters of TeV Blazars. Astrophys. J. 1998, 509, 608–619. [Google Scholar] [CrossRef]
- Tavecchio, F.; Ghisellini, G.; Ghirlanda, G.; Foschini, L.; Maraschi, L. TeV BL Lac objects at the dawn of the Fermi era. Mon. Not. R. Astron. Soc. 2010, 401, 1570–1586. [Google Scholar] [CrossRef]
- Tavecchio, F.; Ghisellini, G. On the magnetization of BL Lac jets. Mon. Not. R. Astron. Soc. 2016, 456, 2374–2382. [Google Scholar] [CrossRef]
- Tavecchio, F.; Landoni, M.; Sironi, L.; Coppi, P. Probing shock acceleration in BL Lac jets through X-ray polarimetry: The time-dependent view. Mon. Not. R. Astron. Soc. 2020, 498, 599–608. [Google Scholar] [CrossRef]
- Abdo, A.A.; Ackermann, M.; Ajello, M.; Baldini, L.; Ballet, J.; Barbiellini, G.; Bastieri, D.; Bechtol, K.; Bellazzini, R.; Berenji, B.; et al. Fermi Large Area Telescope Observations of Markarian 421: The Missing Piece of its Spectral Energy Distribution. Astrophys. J. 2011, 736, 131. [Google Scholar] [CrossRef]
- Blandford, R.D.; Königl, A. Relativistic jets as compact radio sources. Astrophys. J. 1979, 232, 34–48. [Google Scholar] [CrossRef]
- Marscher, A.P. Relativistic blast-wave model for superlight motion in compact double radio sources. Astrophys. J. 1978, 219, 392–399. [Google Scholar] [CrossRef]
- Böttcher, M. Modeling the emission processes in blazars. Astrophys. Space Sci. 2007, 309, 95–104. [Google Scholar] [CrossRef]
- Böttcher, M.; Baring, M.G. Multi-wavelength Variability Signatures of Relativistic Shocks in Blazar Jets. Astrophys. J. 2019, 887, 133. [Google Scholar] [CrossRef]
- Schure, K.M.; Bell, A.R.; Drury, L.O.; Bykov, A.M. Diffusive Shock Acceleration and Magnetic Field Amplification. Space Sci. Rev. 2012, 173, 491–519. [Google Scholar] [CrossRef]
- Sironi, L.; Petropoulou, M.; Giannios, D. Relativistic jets shine through shocks or magnetic reconnection? Mon. Not. R. Astron. Soc. 2015, 450, 183–191. [Google Scholar] [CrossRef]
- Komissarov, S.S.; Barkov, M.V.; Vlahakis, N.; Königl, A. Magnetic acceleration of relativistic active galactic nucleus jets. Mon. Not. R. Astron. Soc. 2007, 380, 51–70. [Google Scholar] [CrossRef]
- Tchekhovskoy, A.; McKinney, J.C.; Narayan, R. Efficiency of Magnetic to Kinetic Energy Conversion in a Monopole Magnetosphere. Astrophys. J. 2009, 699, 1789–1808. [Google Scholar] [CrossRef]
- Zhdankin, V.; Uzdensky, D.A.; Werner, G.R.; Begelman, M.C. Kinetic turbulence in shining pair plasma: Intermittent beaming and thermalization by radiative cooling. Mon. Not. R. Astron. Soc. 2020, 493, 603–626. [Google Scholar] [CrossRef]
- Giannios, D.; Uzdensky, D.A. GRB and blazar jets shining through their stripes. Mon. Not. R. Astron. Soc. 2019, 484, 1378–1389. [Google Scholar] [CrossRef]
- Zhang, H.; Giannios, D. Radiation signatures from striped blazar jet. Mon. Not. R. Astron. Soc. 2021, 502, 1145–1157. [Google Scholar] [CrossRef]
- Cawthorne, T.V.; Cobb, W.K. Linear Polarization of Radiation from Oblique and Conical Shocks. Astrophys. J. 1990, 350, 536–544. [Google Scholar] [CrossRef]
- Hughes, P.A.; Aller, H.D.; Aller, M.F. Polarized radio outbursts in BL Lacertae. II. The flux and polarization of a piston-driven shock. Astrophys. J. 1985, 298, 301–315. [Google Scholar] [CrossRef]
- Jones, T.W. Polarization as a Probe of magnetic Fields and Plasma Properties of Compact Radio Sources: Simulation of Relativistic Jets. Astrophys. J. 1988, 332, 678–695. [Google Scholar] [CrossRef]
- Laing, R.A. A model for the magnetic-field structure in extended radio sources. Mon. Not. R. Astron. Soc. 1980, 193, 439–449. [Google Scholar] [CrossRef]
- Nalewajko, K.; Sikora, M. Polarization of synchrotron emission from relativistic reconfinement shocks with ordered magnetic fields. A&A 2012, 543, A115. [Google Scholar]
- Zhang, H.; Deng, W.; Li, H.; Böttcher, M. Polarization Signatures of Relativistic Magnetohydrodynamic Shocks in the Blazar Emission Region. I. Force-free Helical Magnetic Fields. Astrophys. J. 2016, 817, 63. [Google Scholar] [CrossRef]
- Zhang, H.; Chen, X.; Böttcher, M.; Guo, F.; Li, H. Polarization Swings Reveal Magnetic Energy Dissipation in Blazars. Astrophys. J. 2015, 804, 58. [Google Scholar] [CrossRef]
- Caprioli, D.; Spitkovsky, A. Simulations of Ion Acceleration at Non-relativistic Shocks. II. Magnetic Field Amplification. Astrophys. J. 2014, 794, 46. [Google Scholar] [CrossRef]
- Tavecchio, F.; Landoni, M.; Sironi, L.; Coppi, P. Probing dissipation mechanisms in BL Lac jets through X-ray polarimetry. Mon. Not. R. Astron. Soc. 2018, 480, 2872–2880. [Google Scholar] [CrossRef]
- Angelakis, E.; Hovatta, T.; Blinov, D.; Pavlidou, V.; Kiehlmann, S.; Myserlis, I.; Böttcher, M.; Mao, P.; Panopoulou, G.V.; Liodakis, I.; et al. RoboPol: The optical polarization of gamma-ray-loud and gamma-ray-quiet blazars. Mon. Not. R. Astron. Soc. 2016, 463, 3365–3380. [Google Scholar] [CrossRef]
- Itoh, R.; Nalewajko, K.; Fukazawa, Y.; Uemura, M.; Tanaka, Y.T.; Kawabata, K.S.; Madejski, G.M.; Schinzel, F.K.; Kanda, Y.; Shiki, K.; et al. Systematic Study of Gamma-ray-bright Blazars with Optical Polarization and Gamma-Ray Variability. Astrophys. J. 2016, 833, 77. [Google Scholar] [CrossRef]
- Bodo, G.; Tavecchio, F. Recollimation shocks and radiative losses in extragalactic relativistic jets. Astron. Astrophys. 2018, 609, 122. [Google Scholar] [CrossRef]
- Komissarov, S.S.; Falle, S.A.E.G. Simulations of Superluminal Radio Sources. Mon. Not. R. Astron. Soc. 1997, 288, 833–848. [Google Scholar] [CrossRef]
- Daly, R.A.; Marscher, A.P. The Gasdynamics of Compact Relativistic Jets. Astrophys. J. 1988, 334, 539–551. [Google Scholar] [CrossRef]
- Peirson, A.L.; Romani, R.W. The Polarization Behavior of Relativistic Synchrotron Jets. Astrophys. J. 2018, 864, 140. [Google Scholar] [CrossRef]
- Liodakis, I.; Peirson, A.L.; Romani, R.W. Prospects for Detecting X-ray Polarization in Blazar Jets. Astrophys. J. 2019, 880, 29. [Google Scholar] [CrossRef]
- Werner, G.R.; Uzdensky, D.A. Nonthermal Particle Acceleration in 3D Relativistic Magnetic Reconnection in Pair Plasma. Astrophys. J. Lett. 2017, 843, L27. [Google Scholar] [CrossRef]
- Christie, I.M.; Petropoulou, M.; Sironi, L.; Giannios, D. Interplasmoid Compton scattering and the Compton dominance of BL Lacs. Mon. Not. R. Astron. Soc. 2020, 492, 549–555. [Google Scholar] [CrossRef]
- Christie, I.M.; Petropoulou, M.; Sironi, L.; Giannios, D. Radiative signatures of plasmoid-dominated reconnection in blazar jets. Mon. Not. R. Astron. Soc. 2019, 482, 65–82. [Google Scholar] [CrossRef]
- Petropoulou, M.; Sironi, L.; Spitkovsky, A.; Giannios, D. Relativistic Magnetic Reconnection in Electron-Positron-Proton Plasmas: Implications for Jets of Active Galactic Nuclei. Astrophys. J. 2019, 880, 37. [Google Scholar] [CrossRef]
- Petropoulou, M.; Giannios, D.; Sironi, L. Blazar flares powered by plasmoids in relativistic reconnection. Mon. Not. R. Astron. Soc. 2016, 462, 3325–3343. [Google Scholar] [CrossRef]
- Giannios, D. Reconnection-driven plasmoids in blazars: Fast flares on a slow envelope. Mon. Not. R. Astron. Soc. 2013, 431, 355–363. [Google Scholar] [CrossRef]
- Bodo, G.F.; Tavecchio, F.; Sironi, L. Kink-driven magnetic reconnection in relativistic jets: Consequences for X-ray polarimetry of BL Lacs. Mon. Not. R. Astron. Soc. 2021, 501, 2836–2847. [Google Scholar] [CrossRef]
- Bromberg, O.; Singh, C.B.; Davelaar, J.; Philippov, A.A. Kink Instability: Evolution and Energy Dissipation in Relativistic Force-free Nonrotating Jets. Astrophys. J. 2019, 884, 39. [Google Scholar] [CrossRef]
- Davelaar, J.; Philippov, A.A.; Bromberg, O.; Singh, C.B. Particle Acceleration in Kink-unstable Jets. Astrophys. J. Lett. 2020, 896, L31. [Google Scholar] [CrossRef]
- Zhang, H.; Li, H.; Guo, F.; Taylor, G. Polarization Signatures of Kink Instabilities in the Blazar Emission Region from Relativistic Magnetohydrodynamic Simulations. Astrophys. J. 2017, 835, 125. [Google Scholar] [CrossRef]
- Hosking, D.N.; Sironi, L. A First-principle Model for Polarization Swings during Reconnection-powered Flares. Astrophys. J. Lett. 2020, 900, L23. [Google Scholar] [CrossRef]
- Zhang, H.; Li, X.; Guo, F.; Giannios, D. Large-amplitude Blazar Polarization Angle Swing as a Signature of Magnetic Reconnection. Astrophys. J. Lett. 2018, 862, L25. [Google Scholar] [CrossRef]
- Zhang, H.; Li, X.; Giannios, D.; Guo, F.; Liu, Y.-H.; Dong, L. Radiation and Polarization Signatures from Magnetic Reconnection in Relativistic Jets. I. A Systematic Study. Astrophys. J. 2020, 901, 149. [Google Scholar] [CrossRef]
- Begelman, M.C. Instability of Toroidal Magnetic Field in Jets and Plerions. Astrophys. J. 1998, 493, 291–300. [Google Scholar] [CrossRef]









| Optical | Medium-Hard X-rays | |
|---|---|---|
| Shock (turbulent) | , variable; variable, smooth rotations possible | , highly variable highly and rapidly variable |
| Shock (self-produced field) | , slowly variable, flips by deg | substantially constant, constant |
| Reconnection (kink-induced) | 20–30%, moderately variable smooth rotations, deg | same as optical as optical |
Publisher’s Note: MDPI stays neutral with regard to jurisdictional claims in published maps and institutional affiliations. |
© 2021 by the author. Licensee MDPI, Basel, Switzerland. This article is an open access article distributed under the terms and conditions of the Creative Commons Attribution (CC BY) license (https://creativecommons.org/licenses/by/4.0/).
Share and Cite
Tavecchio, F. Probing Magnetic Fields and Acceleration Mechanisms in Blazar Jets with X-ray Polarimetry. Galaxies 2021, 9, 37. https://doi.org/10.3390/galaxies9020037
Tavecchio F. Probing Magnetic Fields and Acceleration Mechanisms in Blazar Jets with X-ray Polarimetry. Galaxies. 2021; 9(2):37. https://doi.org/10.3390/galaxies9020037
Chicago/Turabian StyleTavecchio, Fabrizio. 2021. "Probing Magnetic Fields and Acceleration Mechanisms in Blazar Jets with X-ray Polarimetry" Galaxies 9, no. 2: 37. https://doi.org/10.3390/galaxies9020037
APA StyleTavecchio, F. (2021). Probing Magnetic Fields and Acceleration Mechanisms in Blazar Jets with X-ray Polarimetry. Galaxies, 9(2), 37. https://doi.org/10.3390/galaxies9020037

