Polarimetric Properties of Blazars Caught by the WEBT
Abstract
1. Introduction
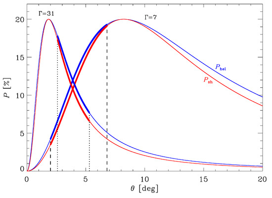
2. Polarimetric Signatures in Blazars
3. Polarimetric Results by the WEBT
4. Conclusions
Funding
Institutional Review Board Statement
Informed Consent Statement
Data Availability Statement
Conflicts of Interest
References
- Urry, C.M.; Padovani, P. Unified Schemes for Radio-Loud Active Galactic Nuclei. Publ. Astron. Soc. Pac. 1995, 107, 803–845. [Google Scholar] [CrossRef]
- Sillanpää, A.; Takalo, L.O.; Pursimo, T.; Nilsson, K.; Heinamaki, P.; Katajainen, S.; Pietila, H.; Hanski, M.; Rekola, R.; Kidger, M.; et al. Double-peak struc-ture in the cyclic optical outbursts of blazar OJ 287. Astron. Astrophys. 1996, 315, L13–L16. [Google Scholar]
- Ackermann, M.; Ajello, M.; Albert, A.; Atwood, W.B.; Baldini, L.; Ballet, J.; Barbiellini, G.; Bastieri, D.; Becerra Gonzalez, J.; Bellazzini, R.; et al. Multi-wavelength Evidence for Quasi-periodic Modulation in the Gamma-Ray Blazar PG 1553+113. Astrophys. J. 2015, 813, L41. [Google Scholar] [CrossRef]
- Villata, M.; Raiteri, C.M.; Balonek, T.J.; Aller, M.F.; Jorstad, S.G.; Kurtanidze, O.M.; Nicastro, F.; Nilsson, K.; Aller, H.D.; Arai, A.; et al. The unprecedented optical outburst of the quasar 3C 454.3. The WEBT campaign of 2004–2005. Astron. Astrophys. 2006, 453, 817–822. [Google Scholar] [CrossRef]
- Raiteri, C.M.; Villata, M.; Carosati, D.; Benítez, E.; Kur-tanidze, S.O.; Gupta, A.C.; Mirzaqulov, D.O.; D’Ammando, F.; Larionov, V.M.; Pursimo, T.; et al. The dual nature of blazar fast variability: Space and ground observations of S5 0716+714. Mon. Not. R. Astron. Soc. 2021, 501, 1100–1115. [Google Scholar] [CrossRef]
- Villata, M.; Raiteri, C.M.; Kurtanidze, O.M.; Nikolashvili, M.G.; Ibrahimov, M.A.; Papadakis, I.E.; Tsinganos, K.; Sadakane, K.; Okada, N.; Takalo, L.O.; et al. The WEBT BL Lacertae Campaign 2000. Astron. Astrophys. 2002, 390, 407–421. [Google Scholar] [CrossRef]
- Villata, M.; Raiteri, C.M.; Kurtanidze, O.M.; Nikolashvili, M.G.; Ibrahimov, M.A.; Papadakis, I.E.; Tosti, G.; Hroch, F.; Takalo, L.O.; Sillanpää, A.; et al. The WEBT BL Lacertae Campaign 2001 and its extension. Optical light curves and colour analysis 1994–2002. Astron. Astrophys. 2004, 421, 103–114. [Google Scholar] [CrossRef]
- Villata, M.; Raiteri, C.M.; Larionov, V.M.; Kurtanidze, O.M.; Nilsson, K.; Aller, M.F.; Tornikoski, M.; Volvach, A.; Aller, H.D.; Arkharov, A.A.; et al. Multifrequency monitoring of the blazar 0716+714 during the GASP-WEBT-AGILE campaign of 2007. Astron. Astrophys. 2008, 481, L79–L82. [Google Scholar] [CrossRef]
- Smith, P.S. The Optical and Ultraviolet Polarization of BL Lac Ob-jects and OVV Quasars 1996. In Blazar Continuum Variability; Miller, H.R., Webb, J.R., Noble, J.C., Eds.; ASP Conference Series; Astronomical Society of the Pacific: San Francisco, CA, USA, 1996; Volume 110, pp. 135–149. [Google Scholar]
- Ledden, J.E.; Aller, H.D. The radio polarization of AO 0235+164: A rotating source? Astrophys. J. 1979, 229, L1–L3. [Google Scholar] [CrossRef]
- Aller, H.D.; Hodge, P.E.; Aller, M.F. Radio polarization rotators: BL Lacertae and 0727–115. Astrophys. J. 1981, 248, L5–L8. [Google Scholar] [CrossRef]
- Kikuchi, S.; Inoue, M.; Mikami, Y.; Tabara, H.; Kato, T. A synchronous variation of polarization angle in OJ 287 in the optical and radio regions. Astron. Astrophys. 1988, 190, L8–L10. [Google Scholar]
- Marscher, A.P.; Jorstad, S.G.; D’Arcangelo, F.D.; Smith, P.S.; Williams, G.G.; Larionov, V.M.; Oh, H.; Olmstead, A.R.; Aller, M.F.; Aller, H.D.; et al. The inner jet of an active galactic nucleus as revealed by a radio-to-γ-ray outburst. Nature 2008, 452, 966–969. [Google Scholar] [CrossRef]
- Marscher, A.P.; Jorstad, S.G.; Larionov, V.M.; Aller, M.F.; Aller, H.D.; Lähteenmäki, A.; Agudo, I.; Smith, P.S.; Gurwell, M.; Hagen-Thorn, V.A.; et al. Probing the Inner Jet of the Quasar PKS 1510–089 with Multi-Waveband Monitoring During Strong Gam-ma-Ray Activity. Astrophys. J. 2010, 710, L126–L131. [Google Scholar] [CrossRef]
- Sasada, M.; Uemura, M.; Fukazawa, Y.; Kawabata, K.S.; Itoh, R.; Sakon, I.; Fujisawa, K.; Kadota, A.; Ohsugi, T.; Yoshida, M.; et al. Multi-Wavelength Photometric and Polarimetric Observations of the Outburst of 3C 454.3 in 2009 December. Publ. Astron. Soc. Jpn. 2012, 64, 58. [Google Scholar] [CrossRef]
- Morozova, D.A.; Larionov, V.M.; Troitsky, I.S.; Jorstad, S.G.; Marscher, A.P.; Gómez, J.L.; Blinov, D.A.; Efimova, N.V.; Hagen-Thorn, V.A.; Hagen-Thorn, E.I.; et al. The Outburst of the Blazar S4 0954+658 in 2011 March-April. Astron. J. 2014, 148, 42. [Google Scholar] [CrossRef]
- Blinov, D.; Pavlidou, V.; Papadakis, I.; Kiehlmann, S.; Panop-oulou, G.; Liodakis, I.; King, O.G.; Angelakis, E.; Baloković, M.; Das, H.; et al. RoboPol: First sea-son rotations of optical polarization plane in blazars. Mon. Not. R. Astron. Soc. 2015, 453, 1669–1683. [Google Scholar] [CrossRef]
- Blinov, D.; Pavlidou, V.; Papadakis, I.; Kiehlmann, S.; Liodakis, I.; Panopoulou, G.V.; Angelakis, E.; Baloković, M.; Hovatta, T.; King, O.G.; et al. RoboPol: Connec-tion between optical polarization plane rotations and gamma-ray flares in blazars. Mon. Not. R. Astron. Soc. 2018, 474, 1296–1306. [Google Scholar] [CrossRef]
- D’Arcangelo, F.D.; Marscher, A.P.; Jorstad, S.G.; Smith, P.S.; Larionov, V.M.; Hagen-Thorn, V.A.; Kopatskaya, E.N.; Williams, G.G.; Gear, W.K. Rapid Multiwaveband Polarization Variability in the Quasar PKS 0420–014: Optical Emission from the Compact Radio Jet. Astrophys. J. 2007, 659, L107–L110. [Google Scholar] [CrossRef]
- Marscher, A.P. Turbulent, Extreme Multi-zone Model for Sim-ulating Flux and Polarization Variability in Blazars. Astrophys. J. 2014, 780, 87–96. [Google Scholar] [CrossRef]
- Kiehlmann, S.; Savolainen, T.; Jorstad, S.G.; Sokolov-sky, K.V.; Schinzel, F.K.; Marscher, A.P.; Larionov, V.M.; Agudo, I.; Akitaya, H.; Benítez, E.; et al. Polarization angle swings in blazars: The case of 3C 279. Astron. Astrophys. 2016, 590, A10. [Google Scholar] [CrossRef]
- Lyutikov, M.; Kravchenko, E.V. Polarization swings in blazars. Mon. Not. R. Astron. Soc. 2017, 467, 3876–3886. [Google Scholar] [CrossRef]
- Blandford, R.D.; Königl, A. Relativistic jets as compact radio sources. Astrophys. J. 1979, 232, 34–48. [Google Scholar] [CrossRef]
- Björnsson, C.-I. Polarization properties of a source in rela-tivistic motion. Astrophys. J. 1982, 260, 855–867. [Google Scholar] [CrossRef]
- Königl, A.; Choudhuri, A.R. A model of the po-larization position-angle swings in BL Lacertae objects. Astrophys. J. 1985, 289, 188–192. [Google Scholar] [CrossRef]
- Larionov, V.M.; Jorstad, S.G.; Marscher, A.P.; Morozova, D.A.; Blinov, D.A.; Hagen-Thorn, V.A.; Konstantinova, T.S.; Kopatskaya, E.N.; Larionova, L.V.; Larionova, E.G.; et al. The Outburst of the Blazar S5 0716+71 in 2011 October: Shock in a Helical Jet. Astrophys. J. 2013, 768, 40. [Google Scholar] [CrossRef]
- Zhang, H.; Chen, X.; Böttcher, M. Synchrotron Polarization in Blazars. Astrophys. J. 2014, 789, 66. [Google Scholar] [CrossRef]
- Zhang, H.; Deng, W.; Li, H.; Böttcher, M. Polarization Signa-tures of Relativistic Magnetohydrodynamic Shocks in the Blazar Emission Region. I. Force-free Helical Magnetic Fields. Astrophys. J. 2016, 817, 63. [Google Scholar] [CrossRef]
- Zhang, H.; Li, X.; Giannios, D.; Guo, F.; Liu, Y.-H.; Dong, L. Radiation and Polarization Signatures from Magnetic Reconnection in Relativistic Jets. I. A Systematic Study. Astrophys. J. 2020, 901, 149. [Google Scholar] [CrossRef]
- Larionov, V.; Jorstad, S.; Marscher, A.; Smith, P. Polari-zation Vector Rotations: Real, Spurious, Hidden and Imaginary. Galaxies 2016, 4, 43. [Google Scholar] [CrossRef]
- Kiehlmann, S.; Blinov, D.; Liodakis, I.; Pavlidou, V.; Readhead, A.C.S.; Angelakis, E.; Casadio, C.; Hovatta, T.; Kylafis, N.; Mahabal, A.; et al. The Distribu-tion of Rotation Speeds in Optical Polarization Position Angle Rotations in Blazars. arXiv 2021, arXiv:2104.02622. [Google Scholar]
- Larionov, V.M.; Jorstad, S.G.; Marscher, A.P.; Raiteri, C.M.; Villata, M.; Agudo, I.; Aller, M.F.; Arkharov, A.A.; Asfandiyarov, I.M.; Bach, U.; et al. Results of WEBT, VLBA and RXTE monitoring of 3C 279 during 2006–2007. Astron. Astrophys. 2008, 492, 389–400. [Google Scholar] [CrossRef]
- Raiteri, C.M.; Villata, M.; Smith, P.S.; Larionov, V.M.; Acosta-Pulido, J.A.; Aller, M.F.; D’Ammando, F.; Gurwell, M.A.; Jorstad, S.G.; Joshi, M.; et al. Varia-bility of the blazar 4C 38.41 (B3 1633+382) from GHz frequencies to GeV energies. Astron. Astro-phys. 2012, 545, A48. [Google Scholar] [CrossRef]
- Hughes, P.A.; Aller, H.D.; Aller, M.F. Polarized radio out-bursts in BL Lacertae. II. The flux and polarization of a piston-driven shock. Astrophys. J. 1985, 298, 301–315. [Google Scholar] [CrossRef]
- Raiteri, C.M.; Villata, M.; D’Ammando, F.; Larionov, V.M.; Gurwell, M.A.; Mirzaqulov, D.O.; Smith, P.S.; Acosta-Pulido, J.A.; Agudo, I.; Arévalo, M.J.; et al. The awakening of BL Lacertae: Observations by Fermi, Swift and the GASP-WEBT. Mon. Not. R. Astron. Soc. 2013, 436, 1530–1545. [Google Scholar] [CrossRef]
- Carnerero, M.I.; Raiteri, C.M.; Villata, M.; Acosta-Pulido, J.A.; D’Ammando, F.; Smith, P.S.; Larionov, V.M.; Agudo, I.; Arévalo, M.J.; Arkharov, A.A.; et al. Multiwavelength behaviour of the blazar OJ 248 from radio to γ-rays. Mon. Not. R. Astron. Soc. 2015, 450, 2677–2691. [Google Scholar] [CrossRef]
- Bhatta, G.; Goyal, A.; Ostrowski, M.; Stawarz, L.; Akitaya, H.; Arkharov, A.A.; Bachev, R.; Benítez, E.; Borman, G.A.; Carosati, D.; et al. Discovery of a Highly Po-larized Optical Microflare in Blazar S5 0716+714 during the 2014 WEBT Campaign. Astrophys. J. 2015, 809, L27. [Google Scholar] [CrossRef]
- Raiteri, C.M.; Nicastro, F.; Stamerra, A.; Villata, M.; Larionov, V.M.; Blinov, D.; Acosta-Pulido, J.A.; Arévalo, M.J.; Arkharov, A.A.; Bachev, R.; et al. Synchrotron emission from the blazar PG 1553+113. An analysis of its flux and polarization variability. Mon. Not. R. Astron. Soc. 2017, 466, 3762–3774. [Google Scholar] [CrossRef]
- Carnerero, M.I.; Raiteri, C.M.; Villata, M.; Acosta-Pulido, J.A.; Larionov, V.M.; Smith, P.S.; D’Ammando, F.; Agudo, I.; Arévalo, M.J.; Bachev, R.; et al. Dissecting the long-term emission behaviour of the BL Lac object Mrk 421. Mon. Not. R. Astron. Soc. 2017, 472, 3789–3804. [Google Scholar] [CrossRef]
- Acciari, V.A.; Ansoldi, S.; Antonelli, L.A.; Asano, K.; Babić, A.; Banerjee, B.; Baquero, A.; de Almeida, U.B.; Barrio, J.A.; Becerra González, J.; et al. Multiwave-length variability and correlation studies of Mrk 421 during historically low X-ray and γ-ray ac-tivity in 2015–2016. Mon. Not. R. Astron. Soc. 2021, 504, 1427–1451. [Google Scholar]
- Larionov, V.M.; Villata, M.; Raiteri, C.M.; Jorstad, S.G.; Marscher, A.P.; Agudo, I.; Smith, P.S.; Acosta-Pulido, J.A.; Arévalo, M.J.; Arkharov, A.A.; et al. Ex-ceptional outburst of the blazar CTA 102 in 2012: The GASP-WEBT campaign and its extension. Mon. Not. R. Astron. Soc. 2016, 461, 3047–3056. [Google Scholar] [CrossRef]
- Raiteri, C.M.; Villata, M.; Acosta-Pulido, J.A.; Agudo, I.; Arkharov, A.A.; Bachev, R.; Baida, G.V.; Benítez, E.; Borman, G.A.; Boschin, W.; et al. Blazar spectral variability as explained by a twisted inhomogeneous jet. Nature 2017, 552, 374–377. [Google Scholar] [CrossRef] [PubMed]
- Raiteri, C.M.; Villata, M.; Carnerero, M.I.; Acosta-Pulido, J.A.; Mirzaqulov, D.O.; Larionov, V.M.; Romano, P.; Vercellone, S.; Agudo, I.; Arkharov, A.A.; et al. The beamed jet and quasar core of the distant blazar 4C 71.07. Mon. Not. R. Astron. Soc. 2019, 489, 1837–1849. [Google Scholar] [CrossRef]
- Larionov, V.M.; Jorstad, S.G.; Marscher, A.P.; Villata, M.; Raiteri, C.M.; Smith, P.S.; Agudo, I.; Savchenko, S.S.; Morozova, D.A.; Acosta-Pulido, J.A.; et al. Mul-tiwavelength behaviour of the blazar 3C 279: Decade-long study from γ-ray to radio. Mon. Not. R. Astron. Soc. 2020, 492, 3829–3848. [Google Scholar] [CrossRef]


| Publisher’s Note: MDPI stays neutral with regard to jurisdictional claims in published maps and institutional affiliations. | 
© 2021 by the authors. Licensee MDPI, Basel, Switzerland. This article is an open access article distributed under the terms and conditions of the Creative Commons Attribution (CC BY) license (https://creativecommons.org/licenses/by/4.0/).
Share and Cite
Raiteri, C.M.; Villata, M. Polarimetric Properties of Blazars Caught by the WEBT. Galaxies 2021, 9, 42. https://doi.org/10.3390/galaxies9020042
Raiteri CM, Villata M. Polarimetric Properties of Blazars Caught by the WEBT. Galaxies. 2021; 9(2):42. https://doi.org/10.3390/galaxies9020042
Chicago/Turabian StyleRaiteri, Claudia M., and Massimo Villata. 2021. "Polarimetric Properties of Blazars Caught by the WEBT" Galaxies 9, no. 2: 42. https://doi.org/10.3390/galaxies9020042
APA StyleRaiteri, C. M., & Villata, M. (2021). Polarimetric Properties of Blazars Caught by the WEBT. Galaxies, 9(2), 42. https://doi.org/10.3390/galaxies9020042
 
         
                                                

