Gamma-ray and Neutrino Signals from Accretion Disk Coronae of Active Galactic Nuclei
Abstract
1. Introduction
2. Research History of Non-Thermal Activity in AGN Coronae
2.1. Failure of Pair Cascade Model
2.2. Properties of AGN Coronae Revealed by X-ray Observations
2.3. Properties of AGN Coronae Revealed by Millimeter Observations
3. Generation of High-Energy Particles in AGN Coronae
3.1. Energy Loss Processes
3.2. Acceleration
3.2.1. Diffusive Shock Acceleration
3.2.2. Stochastic Acceleration
3.2.3. Magnetosphere Acceleration
3.2.4. Reconnection Acceleration
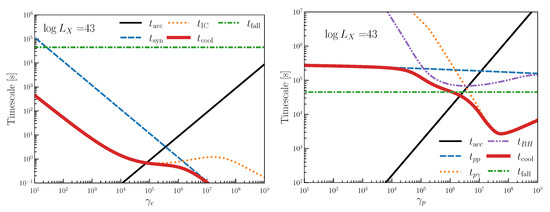
3.3. Comparison of Timescales
3.4. Particle Spectrum
3.5. Energy Injection
4. Gamma Rays and Neutrinos from AGN Coronae
4.1. Internal Gamma-ray Attenuation in Coronae
4.2. General SED Pictures
4.3. Application to NGC 1068
5. Cosmic Gamma-ray and Neutrino Background Radiation
6. Discussion
6.1. Role of Secondary Particles
6.2. Comparison of Current Available Models
6.3. Future Testing of Models
6.3.1. Radio Synchrotron Emission
6.3.2. Nuclear Spallation Effect Appearing in X-ray
6.3.3. MeV Power-Law Tail
6.3.4. Further Neutrino Observations
7. Summary
Funding
Institutional Review Board Statement
Informed Consent Statement
Acknowledgments
Conflicts of Interest
References
- Aartsen, M.G.; Abbasi, R.; Abdou, Y.; Ackermann, M.; Adams, J.; Aguilar, J.A.; Ahlers, M.; Altmann, D.; Auffenberg, J.; Bai, X.; et al. First Observation of PeV-Energy Neutrinos with IceCube. Phys. Rev. Lett. 2013, 111, 021103. [Google Scholar] [CrossRef]
- Aartsen, M.G.; Ackermann, M.; Adams, J.; Aguilar, J.A.; Ahlers, M.; Ahrens, M.; Altmann, D.; Anderson, T.; Arguelles, C.; Arlen, T.C.; et al. Observation of High-Energy Astrophysical Neutrinos in Three Years of IceCube Data. Phys. Rev. Lett. 2014, 113, 101101. [Google Scholar] [CrossRef] [PubMed]
- Murase, K. Active Galactic Nuclei as High-Energy Neutrino Sources. In Neutrino Astronomy: Current Status, Future Prospects; Gaisser, T., Karle, A., Eds.; World Scientific: Singapore, 2017; pp. 15–31. [Google Scholar] [CrossRef]
- Ahlers, M.; Halzen, F. Opening a new window onto the universe with IceCube. Prog. Part. Nucl. Phys. 2018, 102, 73–88. [Google Scholar] [CrossRef]
- IceCube Collaboration; Aartsen, M.G.; Ackermann, M.; Adams, J.; Aguilar, J.A.; Ahlers, M.; Ahrens, M.; Al Samarai, I.; Altmann, D.; Andeen, K.; et al. Neutrino emission from the direction of the blazar TXS 0506+056 prior to the IceCube-170922A alert. Science 2018, 361, 147–151. [Google Scholar] [CrossRef]
- IceCube Collaboration; Aartsen, M.G.; Ackermann, M.; Adams, J. Multimessenger observations of a flaring blazar coincident with high-energy neutrino IceCube-170922A. Science 2018, 361, eaat1378. [Google Scholar] [CrossRef]
- Aartsen, M.G.; Abraham, K.; Ackermann, M.; Adams, J.; Aguilar, J.A.; Ahlers, M.; Ahrens, M.; Altmann, D.; Andeen, K.; Anderson, T.; et al. The Contribution of Fermi-2LAC Blazars to Diffuse TeV-PeV Neutrino Flux. Astrophys. J. 2017, 835, 45. [Google Scholar] [CrossRef]
- Aartsen, M.G.; Ackermann, M.; Adams, J.; Aguilar, J.A.; Ahlers, M.; Ahrens, M.; Alispach, C.; Andeen, K.; Anderson, T.; Ansseau, I.; et al. Time-Integrated Neutrino Source Searches with 10 Years of IceCube Data. Phys. Rev. Lett. 2020, 124, 051103. [Google Scholar] [CrossRef] [PubMed]
- Tully, R.B. Nearby Galaxies Catalog; Cambridge University Press: Cambridge, UK, 1988. [Google Scholar]
- Bauer, F.E.; Arévalo, P.; Walton, D.J.; Koss, M.J.; Puccetti, S.; Gandhi, P.; Stern, D.; Alexander, D.M.; Baloković, M.; Boggs, S.E.; et al. NuSTAR Spectroscopy of Multi-component X-ray Reflection from NGC 1068. Astrophys. J. 2015, 812, 116. [Google Scholar] [CrossRef]
- Marinucci, A.; Bianchi, S.; Matt, G.; Alexander, D.M.; Baloković, M.; Bauer, F.E.; Brandt, W.N.; Gand hi, P.; Guainazzi, M.; Harrison, F.A.; et al. NuSTAR catches the unveiling nucleus of NGC 1068. Mon. Not. R. Astron. Soc. 2016, 456, L94–L98. [Google Scholar] [CrossRef]
- Pasetto, A.; González-Martín, O.; Esparza-Arredondo, D.; Osorio-Clavijo, N.; Victoria-Ceballos, C.I.; Martínez-Paredes, M. AGN Torus Detectability at Submillimeter Wavelengths: What to Expect from ALMA Continuum Data. Astrophys. J. 2019, 872, 69. [Google Scholar] [CrossRef]
- Luo, B.; Brandt, W.N.; Xue, Y.Q.; Lehmer, B.; Alexander, D.M.; Bauer, F.E.; Vito, F.; Yang, G.; Basu-Zych, A.R.; Comastri, A.; et al. The Chandra Deep Field-South Survey: 7 Ms Source Catalogs. Astrophys. J. Suppl. 2017, 228, 2. [Google Scholar] [CrossRef]
- Marcotulli, L.; Di Mauro, M.; Ajello, M. Source-count Distribution of Gamma-ray Blazars. Astrophys. J. 2020, 896, 6. [Google Scholar] [CrossRef]
- Ackermann, M.; Ajello, M.; Allafort, A.; Baldini, L.; Ballet, J.; Bastieri, D.; Bechtol, K.; Bellazzini, R.; Berenji, B.; Bloom, E.D.; et al. GeV Observations of Star-forming Galaxies with the Fermi Large Area Telescope. Astrophys. J. 2012, 755, 164. [Google Scholar] [CrossRef]
- Acciari, V.A.; Ansoldi, S.; Antonelli, L.A.; Arbet Engels, A.; Baack, D.; Babić, A.; Banerjee, B.; Barres de Almeida, U.; Barrio, J.A.; Becerra González, J.; et al. Constraints on Gamma-ray and Neutrino Emission from NGC 1068 with the MAGIC Telescopes. Astrophys. J. 2019, 883, 135. [Google Scholar] [CrossRef]
- Inoue, Y.; Khangulyan, D.; Doi, A. On the Origin of High-energy Neutrinos from NGC 1068: The Role of Nonthermal Coronal Activity. Astrophys. J. 2020, 891, L33. [Google Scholar] [CrossRef]
- Murase, K.; Kimura, S.S.; Mészáros, P. Hidden Cores of Active Galactic Nuclei as the Origin of Medium-Energy Neutrinos: Critical Tests with the MeV Gamma-ray Connection. Phys. Rev. Lett. 2020, 125, 011101. [Google Scholar] [CrossRef] [PubMed]
- Gutiérrez, E.M.; Vieyro, F.L.; Romero, G.E. Nonthermal processes in hot accretion flows onto supermassive black holes: An inhomogeneous model. arXiv 2021, arXiv:2102.11921. [Google Scholar]
- Anchordoqui, L.A.; Krizmanic, J.F.; Stecker, F.W. High-Energy Neutrinos from NGC 1068. arXiv 2021, arXiv:2102.12409. [Google Scholar]
- Müller, A.L.; Romero, G.E. Radiation from the impact of broad-line region clouds onto AGN accretion disks. Astron. Astrophys. 2020, 636, A92. [Google Scholar] [CrossRef]
- Recchia, S.; Gabici, S.; Aharonian, F.A.; Niro, V. Giant cosmic ray halos around M31 and the Milky Way. arXiv 2021, arXiv:2101.05016. [Google Scholar]
- Zdziarski, A.A. On the origin of the infrared and X-ray continua of active galactic nuclei. Astrophys. J. 1986, 305, 45–56. [Google Scholar] [CrossRef]
- Kazanas, D.; Ellison, D.C. The central engine of quasars and active galactic nuclei Hadronic interactions of shock-accelerated relativistic protons. Astrophys. J. 1986, 304, 178–187. [Google Scholar] [CrossRef]
- Sikora, M.; Kirk, J.G.; Begelman, M.C.; Schneider, P. Electron injection by relativistic protons in active galactic nuclei. Astrophys. J. Lett. 1987, 320, L81–L85. [Google Scholar] [CrossRef]
- Begelman, M.C.; Rudak, B.; Sikora, M. Consequences of relativistic proton injection in active galactic nuclei. Astrophys. J. 1990, 362, 38–51. [Google Scholar] [CrossRef]
- Stecker, F.W.; Done, C.; Salamon, M.H.; Sommers, P. High-energy neutrinos from active galactic nuclei. Phys. Rev. Lett. 1991, 66, 2697–2700. [Google Scholar] [CrossRef] [PubMed]
- Coppi, P.S. Time-dependent models of magnetized pair plasmas. Mon. Not. R. Astron. Soc. 1992, 258, 657–683. [Google Scholar] [CrossRef][Green Version]
- Ghisellini, G.; Haardt, F.; Matt, G. Aborted jets and the X-ray emission of radio-quiet AGNs. Astron. Astrophys. 2004, 413, 535–545. [Google Scholar] [CrossRef]
- Mastichiadis, A.; Protheroe, R.J.; Kirk, J.G. Spectral and temporal signatures of ultrarelativistic protons in compact sources. I. Effects of Bethe-Heitler pair production. Astron. Astrophys. 2005, 433, 765–776. [Google Scholar] [CrossRef]
- Belmont, R.; Malzac, J.; Marcowith, A. Simulating radiation and kinetic processes in relativistic plasmas. Astron. Astrophys. 2008, 491, 617–631. [Google Scholar] [CrossRef]
- Poutanen, J.; Vurm, I. On the Origin of Spectral States in Accreting Black Holes. Astrophys. J. Lett. 2009, 690, L97–L100. [Google Scholar] [CrossRef]
- Kalashev, O.; Semikoz, D.; Tkachev, I. Neutrinos in IceCube from active galactic nuclei. Sov. J. Exp. Theor. Phys. 2015, 120, 541–548. [Google Scholar] [CrossRef]
- Inoue, Y.; Khangulyan, D.; Inoue, S.; Doi, A. On High-energy Particles in Accretion Disk Coronae of Supermassive Black Holes: Implications for MeV Gamma-rays and High-energy Neutrinos from AGN Cores. Astrophys. J. 2019, 880, 40. [Google Scholar] [CrossRef]
- Stecker, F.W.; Done, C.; Salamon, M.H.; Sommers, P. Erratum: “High-energy neutrinos from active galactic nuclei” [Phys. Rev. Lett. 66, 2697 (1991)]. Phys. Rev. Lett. 1992, 69, 2738. [Google Scholar] [CrossRef]
- Fabian, A.C.; Lohfink, A.; Kara, E.; Parker, M.L.; Vasudevan, R.; Reynolds, C.S. Properties of AGN coronae in the NuSTAR era. Mon. Not. R. Astron. Soc. 2015, 451, 4375–4383. [Google Scholar] [CrossRef]
- Inoue, Y.; Doi, A. Detection of Coronal Magnetic Activity in nearby Active Supermassive Black Holes. Astrophys. J. 2018, 869, 114. [Google Scholar] [CrossRef]
- Cowsik, R.; Lee, M.A. Transport of neutrinos, radiation and energetic particles in accretion flows. Proc. R. Soc. Lond. Ser. A 1982, 383, 409–437. [Google Scholar] [CrossRef]
- Protheroe, R.J.; Kazanas, D. On the origin of relativistic particles and gamma-rays in quasars. Astrophys. J. 1983, 265, 620–624. [Google Scholar] [CrossRef]
- Madejski, G.M.; Zdziarski, A.A.; Turner, T.J.; Done, C.; Mushotzky, R.F.; Hartman, R.C.; Gehrels, N.; Connors, A.; Fabian, A.C.; Nandra, K.; et al. Joint ROSAT-Compton GRO observations of the X-ray bright Seyfert galaxy IC 4329A. Astrophys. J. 1995, 438, 672–679. [Google Scholar] [CrossRef]
- Zdziarski, A.A.; Poutanen, J.; Johnson, W.N. Observations of Seyfert Galaxies by OSSE and Parameters of Their X-ray/Gamma-ray Sources. Astrophys. J. 2000, 542, 703–709. [Google Scholar] [CrossRef]
- Lin, Y.C.; Bertsch, D.L.; Dingus, B.L.; Fichtel, C.E.; Hartman, R.C.; Hunter, S.D.; Kanbach, G.; Kniffen, D.A.; Mattox, J.R.; Mayer-Hasselwander, H.A.; et al. EGRET Limits on High-Energy Gamma-ray Emission from X-ray- and Low-Energy Gamma-ray–selected Seyfert Galaxies. Astrophys. J. Lett. 1993, 416, L53. [Google Scholar] [CrossRef]
- Katz, J.I. Nonrelativistic Compton scattering and models of quasars. Astrophys. J. 1976, 206, 910–916. [Google Scholar] [CrossRef]
- Bisnovatyi-Kogan, G.S.; Blinnikov, S.I. Disk accretion onto a black hole at subcritical luminosity. Astron. Astrophys. 1977, 59, 111–125. [Google Scholar]
- Pozdniakov, L.A.; Sobol, I.M.; Siuniaev, R.A. Effect of the multiple Compton scatterings on an X-ray emission spectrum. Calculation by the Monte Carlo method. Soviet Ast. 1977, 21, 708–714. [Google Scholar]
- Galeev, A.A.; Rosner, R.; Vaiana, G.S. Structured coronae of accretion disks. Astrophys. J. 1979, 229, 318–326. [Google Scholar] [CrossRef]
- Takahara, F. Magnetic Flare Model of Quasars and Active Galactic Nuclei—Magnetized Accretion Disk around a Massive Black Hole. Prog. Theor. Phys. 1979, 62, 629–643. [Google Scholar] [CrossRef][Green Version]
- Sunyaev, R.A.; Titarchuk, L.G. Comptonization of X-rays in plasma clouds. Typical radiation spectra. Astron. Astrophys. 1980, 500, 167–184. [Google Scholar]
- Lightman, A.P.; White, T.R. Effects of cold matter in active galactic nuclei—A broad hump in the X-ray spectra. Astrophys. J. 1988, 335, 57–66. [Google Scholar] [CrossRef]
- Magdziarz, P.; Zdziarski, A.A. Angle-dependent Compton reflection of X-rays and gamma-rays. Mon. Not. R. Astron. Soc. 1995, 273, 837–848. [Google Scholar] [CrossRef]
- Ricci, C.; Walter, R.; Courvoisier, T.J.L.; Paltani, S. Reflection in Seyfert galaxies and the unified model of AGN. Astron. Astrophys. 2011, 532, A102. [Google Scholar] [CrossRef]
- Harrison, C. Observational Constraints on the Influence of Active Galactic Nuclei on the Evolution of Galaxies. Ph.D. Thesis, Durham University, Durham, UK, 2014. [Google Scholar]
- Hickox, R.C.; Alexander, D.M. Obscured Active Galactic Nuclei. Annu. Rev. Astron. Astrophys. 2018, 56, 625–671. [Google Scholar] [CrossRef]
- Done, C.; Nayakshin, S. Can the soft excess in AGN originate from disc reflection? Mon. Not. R. Astron. Soc. 2007, 377, L59–L63. [Google Scholar] [CrossRef]
- Boissay, R.; Ricci, C.; Paltani, S. A hard X-ray view of the soft excess in AGN. Astron. Astrophys. 2016, 588, A70. [Google Scholar] [CrossRef]
- Brenneman, L.W.; Madejski, G.; Fuerst, F.; Matt, G.; Elvis, M.; Harrison, F.A.; Ballantyne, D.R.; Boggs, S.E.; Christensen, F.E.; Craig, W.W.; et al. The Broad-band X-ray Spectrum of IC 4329A from a Joint NuSTAR/Suzaku Observation. Astrophys. J. 2014, 788, 61. [Google Scholar] [CrossRef]
- Dadina, M. Seyfert galaxies in the local Universe (z ≤ 0.1): The average X-ray spectrum as seen by BeppoSAX. Astron. Astrophys. 2008, 485, 417–424. [Google Scholar] [CrossRef]
- Kompaneets, A. The establishment of thermal equilibrium between quanta and electrons. Sov. Phys. JETP 1957, 4, 730–737. [Google Scholar]
- Ueda, Y.; Akiyama, M.; Hasinger, G.; Miyaji, T.; Watson, M.G. Toward the Standard Population Synthesis Model of the X-ray Background: Evolution of X-ray Luminosity and Absorption Functions of Active Galactic Nuclei Including Compton-thick Populations. Astrophys. J. 2014, 786, 104. [Google Scholar] [CrossRef]
- Zdziarski, A.A.; Johnson, W.N.; Magdziarz, P. Broad-band γ-ray and X-ray spectra of NGC 4151 and their implications for physical processes and geometry. Mon. Not. R. Astron. Soc. 1996, 283, 193–206. [Google Scholar] [CrossRef]
- Jin, C.; Ward, M.; Done, C.; Gelbord, J. A combined optical and X-ray study of unobscured type 1 active galactic nuclei-I. Optical spectra and spectral energy distribution modelling. Mon. Not. R. Astron. Soc. 2012, 420, 1825–1847. [Google Scholar] [CrossRef]
- Morgan, C.W.; Hainline, L.J.; Chen, B.; Tewes, M.; Kochanek, C.S.; Dai, X.; Kozlowski, S.; Blackburne, J.A.; Mosquera, A.M.; Chartas, G.; et al. Further Evidence that Quasar X-ray Emitting Regions are Compact: X-Ray and Optical Microlensing in the Lensed Quasar Q J0158-4325. Astrophys. J. 2012, 756, 52. [Google Scholar] [CrossRef]
- Fabian, A.C.; Lohfink, A.; Belmont, R.; Malzac, J.; Coppi, P. Properties of AGN coronae in the NuSTAR era-II. Hybrid plasma. Mon. Not. R. Astron. Soc. 2017, 467, 2566–2570. [Google Scholar] [CrossRef]
- Ueda, Y.; Akiyama, M.; Ohta, K.; Miyaji, T. Cosmological Evolution of the Hard X-ray Active Galactic Nucleus Luminosity Function and the Origin of the Hard X-ray Background. Astrophys. J. 2003, 598, 886–908. [Google Scholar] [CrossRef]
- Hasinger, G.; Miyaji, T.; Schmidt, M. Luminosity-dependent evolution of soft X-ray selected AGN. New Chandra and XMM-Newton surveys. Astron. Astrophys. 2005, 441, 417–434. [Google Scholar] [CrossRef]
- Fukada, Y.; Hayakawa, S.; Kasahara, I.; Makino, F.; Tanaka, Y.; Sreekantan, B.V. Energy spectrum of diffuse component of cosmic soft gamma rays. Nature 1975, 254, 398. [Google Scholar] [CrossRef]
- Watanabe, K.; Hartmann, D.H.; Leising, M.D.; The, L.S.; Share, G.H.; Kinzer, R.L. The Cosmic γ-ray Background from supernovae. In Proceedings of the Fourth Compton Symposium, American Institute of Physics Conference Series, Williamsburg, VA, USA, 27–30 April 1997; Dermer, C.D., Strickman, M.S., Kurfess, J.D., Eds.; Volume 410, pp. 1223–1227. [Google Scholar] [CrossRef]
- Weidenspointner, G.; Varendorff, M.; Kappadath, S.C.; Bennett, K.; Bloemen, H.; Diehl, R.; Hermsen, W.; Lichti, G.G.; Ryan, J.; Schönfelder, V. The cosmic diffuse gamma-ray background measured with COMPTEL. In Proceedings of the Fifth Compton Symposium, American Institute of Physics Conference Series, Portsmouth, NH, USA, 1 April 2000; McConnell, M.L., Ryan, J.M., Eds.; Volume 510, pp. 467–470. [Google Scholar] [CrossRef]
- Stecker, F.W.; Salamon, M.H.; Done, C. On the Origin of the MeV Gamma-ray Background. arXiv 1999, arXiv:astro-ph/9912106. [Google Scholar]
- Inoue, Y.; Totani, T.; Ueda, Y. The Cosmic MeV Gamma-ray Background and Hard X-ray Spectra of Active Galactic Nuclei: Implications for the Origin of Hot AGN Coronae. Astrophys. J. 2008, 672, L5. [Google Scholar] [CrossRef][Green Version]
- Ajello, M.; Costamante, L.; Sambruna, R.M.; Gehrels, N.; Chiang, J.; Rau, A.; Escala, A.; Greiner, J.; Tueller, J.; Wall, J.V.; et al. The Evolution of Swift/BAT Blazars and the Origin of the MeV Background. Astrophys. J. 2009, 699, 603–625. [Google Scholar] [CrossRef]
- Toda, K.; Fukazawa, Y.; Inoue, Y. Cosmological Evolution of Flat-spectrum Radio Quasars Based on the Swift/BAT 105 Month Catalog and Their Contribution to the Cosmic MeV Gamma-ray Background Radiation. Astrophys. J. 2020, 896, 172. [Google Scholar] [CrossRef]
- Ackermann, M.; Ajello, M.; Albert, A.; Atwood, W.B.; Baldini, L.; Ballet, J.; Barbiellini, G.; Bastieri, D.; Bechtol, K.; Bellazzini, R.; et al. The Spectrum of Isotropic Diffuse Gamma-ray Emission between 100 MeV and 820 GeV. Astrophys. J. 2015, 799, 86. [Google Scholar] [CrossRef]
- Haardt, F.; Maraschi, L. A two-phase model for the X-ray emission from Seyfert galaxies. Astrophys. J. Lett. 1991, 380, L51–L54. [Google Scholar] [CrossRef]
- Liu, B.F.; Mineshige, S.; Shibata, K. A Simple Model for a Magnetic Reconnection-heated Corona. Astrophys. J. 2002, 572, L173–L176. [Google Scholar] [CrossRef]
- Di Matteo, T.; Celotti, A.; Fabian, A.C. Cyclo-synchrotron emission from magnetically dominated active regions above accretion discs. Mon. Not. R. Astron. Soc. 1997, 291, 805–810. [Google Scholar] [CrossRef]
- Inoue, Y.; Doi, A. Unveiling the nature of coronae in active galactic nuclei through submillimeter observations. Publ. Astron. Soc. Jpn. 2014, 66, L8. [Google Scholar] [CrossRef]
- Raginski, I.; Laor, A. AGN coronal emission models-I. The predicted radio emission. Mon. Not. R. Astron. Soc. 2016, 459, 2082–2096. [Google Scholar] [CrossRef]
- Antonucci, R.; Barvainis, R. Excess 2 Centimeter Emission: A New Continuum Component in the Spectra of Radio-quiet Quasars. Astrophys. J. Lett. 1988, 332, L13. [Google Scholar] [CrossRef]
- Barvainis, R.; Lonsdale, C.; Antonucci, R. Radio Spectra of Radio Quiet Quasars. Astron. J. 1996, 111, 1431. [Google Scholar] [CrossRef]
- Doi, A.; Inoue, Y. High-frequency excess in the radio continuum spectrum of the type-1 Seyfert galaxy NGC 985. Publ. Astron. Soc. Jpn. 2016, 68, 56. [Google Scholar] [CrossRef]
- Behar, E.; Vogel, S.; Baldi, R.D.; Smith, K.L.; Mushotzky, R.F. The mm-wave compact component of an AGN. Mon. Not. R. Astron. Soc. 2018, 478, 399–406. [Google Scholar] [CrossRef]
- Gallimore, J.F.; Baum, S.A.; O’Dea, C.P. The Parsec-Scale Radio Structure of NGC 1068 and the Nature of the Nuclear Radio Source. Astrophys. J. 2004, 613, 794–810. [Google Scholar] [CrossRef]
- García-Burillo, S.; Combes, F.; Ramos Almeida, C.; Usero, A.; Krips, M.; Alonso-Herrero, A.; Aalto, S.; Casasola, V.; Hunt, L.K.; Martín, S.; et al. ALMA Resolves the Torus of NGC 1068: Continuum and Molecular Line Emission. Astrophys. J. Lett. 2016, 823, L12. [Google Scholar] [CrossRef]
- Impellizzeri, C.M.V.; Gallimore, J.F.; Baum, S.A.; Elitzur, M.; Davies, R.; Lutz, D.; Maiolino, R.; Marconi, A.; Nikutta, R.; O’Dea, C.P.; et al. Counter-Rotation and High Velocity Outflow in the Parsec-Scale Molecular Torus of NGC 1068. arXiv 2019, arXiv:1908.07981. [Google Scholar] [CrossRef]
- García-Burillo, S.; Combes, F.; Ramos Almeida, C.; Usero, A.; Alonso-Herrero, A.; Hunt, L.K.; Rouan, D.; Aalto, S.; Querejeta, M.; Viti, S.; et al. ALMA images the many faces of the <ASTROBJ>NGC 1068</ASTROBJ> torus and its surroundings. Astron. Astrophys. 2019, 632, A61. [Google Scholar] [CrossRef]
- Gallimore, J.F.; Baum, S.A.; O’Dea, C.P.; Pedlar, A. The Subarcsecond Radio Structure in NGC 1068. I. Observations and Results. Astrophys. J. 1996, 458, 136. [Google Scholar] [CrossRef]
- Cotton, W.D.; Jaffe, W.; Perrin, G.; Woillez, J. Observations of the inner jet in NGC 1068 at 43 GHz. Astron. Astrophys. 2008, 477, 517–520. [Google Scholar] [CrossRef]
- Kato, S.; Fukue, J.; Mineshige, S. Black-Hole Accretion Disks—Towards a New Paradigm; Kyoto University Press: Kyoto, Japan, 2008. [Google Scholar]
- Yuan, F.; Narayan, R. Hot Accretion Flows Around Black Holes. Annu. Rev. Astron. Astrophys. 2014, 52, 529–588. [Google Scholar] [CrossRef]
- Chauvin, M.; Florén, H.G.; Friis, M.; Jackson, M.; Kamae, T.; Kataoka, J.; Kawano, T.; Kiss, M.; Mikhalev, V.; Mizuno, T.; et al. Accretion geometry of the black-hole binary Cygnus X-1 from X-ray polarimetry. Nat. Astron. 2018, 2, 652–655. [Google Scholar] [CrossRef]
- Jones, F.C. Calculated Spectrum of Inverse-Compton-Scattered Photons. Phys. Rev. 1968, 167, 1159–1169. [Google Scholar] [CrossRef]
- Moderski, R.; Sikora, M.; Coppi, P.S.; Aharonian, F. Klein-Nishina effects in the spectra of non-thermal sources immersed in external radiation fields. Mon. Not. R. Astron. Soc. 2005, 363, 954–966. [Google Scholar] [CrossRef]
- Khangulyan, D.; Aharonian, F.A.; Kelner, S.R. Simple Analytical Approximations for Treatment of Inverse Compton Scattering of Relativistic Electrons in the Blackbody Radiation Field. Astrophys. J. 2014, 783, 100. [Google Scholar] [CrossRef]
- Kelner, S.R.; Aharonian, F.A.; Bugayov, V.V. Energy spectra of gamma rays, electrons, and neutrinos produced at proton-proton interactions in the very high energy regime. Phys. Rev. D 2006, 74, 034018. [Google Scholar] [CrossRef]
- Kelner, S.R.; Aharonian, F.A. Energy spectra of gamma rays, electrons, and neutrinos produced at interactions of relativistic protons with low energy radiation. Phys. Rev. D 2008, 78, 034013. [Google Scholar] [CrossRef]
- Gao, S.; Asano, K.; Mészáros, P. High energy neutrinos from dissipative photospheric models of gamma ray bursts. J. Cosmol. Astro-Part. Phys. 2012, 2012, 058. [Google Scholar] [CrossRef][Green Version]
- Drury, L.O. An introduction to the theory of diffusive shock acceleration of energetic particles in tenuous plasmas. Rep. Prog. Phys. 1983, 46, 973–1027. [Google Scholar] [CrossRef]
- Blandford, R.; Eichler, D. Particle acceleration at astrophysical shocks: A theory of cosmic ray origin. Phys. Rep. 1987, 154, 1–75. [Google Scholar] [CrossRef]
- Zhdankin, V.; Uzdensky, D.A.; Werner, G.R.; Begelman, M.C. Electron and ion energization in relativistic plasma turbulence. arXiv 2018, arXiv:astro-ph.HE/1809.01966. [Google Scholar] [CrossRef]
- Beskin, V.S.; Istomin, Y.N.; Parev, V.I. Filling the Magnetosphere of a Supermassive Black-Hole with Plasma. Soviet Ast. 1992, 36, 642. [Google Scholar]
- Levinson, A. Particle Acceleration and Curvature TeV Emission by Rotating, Supermassive Black Holes. Phys. Rev. Lett. 2000, 85, 912–915. [Google Scholar] [CrossRef]
- Hoshino, M.; Lyubarsky, Y. Relativistic Reconnection and Particle Acceleration. Space Sci. Rev. 2012, 173, 521–533. [Google Scholar] [CrossRef]
- Uchiyama, Y.; Aharonian, F.A.; Tanaka, T.; Takahashi, T.; Maeda, Y. Extremely fast acceleration of cosmic rays in a supernova remnant. Nature 2007, 449, 576–578. [Google Scholar] [CrossRef]
- Sudoh, T.; Inoue, Y.; Khangulyan, D. Multiwavelength Emission from Galactic Jets: The Case of the Microquasar SS433. Astrophys. J. 2020, 889, 146. [Google Scholar] [CrossRef]
- Inoue, S.; Takahara, F. Electron Acceleration and Gamma-ray Emission from Blazars. Astrophys. J. 1996, 463, 555. [Google Scholar] [CrossRef]
- Finke, J.D.; Dermer, C.D.; Böttcher, M. Synchrotron Self-Compton Analysis of TeV X-ray-Selected BL Lacertae Objects. Astrophys. J. 2008, 686, 181–194. [Google Scholar] [CrossRef]
- Inoue, Y.; Tanaka, Y.T. Baryon Loading Efficiency and Particle Acceleration Efficiency of Relativistic Jets: Cases for Low Luminosity BL Lacs. Astrophys. J. 2016, 828, 13. [Google Scholar] [CrossRef]
- Kimura, S.S.; Murase, K.; Toma, K. Neutrino and Cosmic-Ray Emission and Cumulative Background from Radiatively Inefficient Accretion Flows in Low-luminosity Active Galactic Nuclei. Astrophys. J. 2015, 806, 159. [Google Scholar] [CrossRef]
- Zhdankin, V.; Werner, G.R.; Uzdensky, D.A.; Begelman, M.C. Kinetic Turbulence in Relativistic Plasma: From Thermal Bath to Nonthermal Continuum. Phys. Rev. Lett. 2017, 118, 055103. [Google Scholar] [CrossRef] [PubMed]
- Wong, K.; Zhdankin, V.; Uzdensky, D.A.; Werner, G.R.; Begelman, M.C. First-principles demonstration of diffusive particle acceleration in kinetic simulations of relativistic plasma turbulence. arXiv 2019, arXiv:astro-ph.HE/1901.03439. [Google Scholar]
- Dermer, C.D.; Miller, J.A.; Li, H. Stochastic Particle Acceleration near Accreting Black Holes. Astrophys. J. 1996, 456, 106. [Google Scholar] [CrossRef]
- Neronov, A.; Aharonian, F.A. Production of TeV Gamma Radiation in the Vicinity of the Supermassive Black Hole in the Giant Radio Galaxy M87. Astrophys. J. 2007, 671, 85–96. [Google Scholar] [CrossRef]
- Levinson, A.; Rieger, F. Variable TeV Emission as a Manifestation of Jet Formation in M87? Astrophys. J. 2011, 730, 123. [Google Scholar] [CrossRef]
- Rieger, F.M. Nonthermal Processes in Black Hole-Jet Magnetospheres. Int. J. Mod. Phys. D 2011, 20, 1547–1596. [Google Scholar] [CrossRef]
- Aleksić, J.; Ansoldi, S.; Antonelli, L.A.; Antoranz, P.; Babic, A.; Bangale, P.; Barrio, J.A.; González, J.B.; Bednarek, W.; Bernardini, E.; et al. Black hole lightning due to particle acceleration at subhorizon scales. Science 2014, 346, 1080–1084. [Google Scholar] [CrossRef]
- Aharonian, F.A.; Barkov, M.V.; Khangulyan, D. Scenarios for Ultrafast Gamma-ray Variability in AGN. Astrophys. J. 2017, 841, 61. [Google Scholar] [CrossRef]
- Beloborodov, A.M. Radiative Magnetic Reconnection Near Accreting Black Holes. Astrophys. J. 2017, 850, 141. [Google Scholar] [CrossRef]
- Liu, W.; Petrosian, V.; Dennis, B.R.; Jiang, Y.W. Double Coronal Hard and Soft X-ray Source Observed by RHESSI: Evidence for Magnetic Reconnection and Particle Acceleration in Solar Flares. Astrophys. J. 2008, 676, 704–716. [Google Scholar] [CrossRef]
- Nishizuka, N.; Shibata, K. Fermi Acceleration in Plasmoids Interacting with Fast Shocks of Reconnection via Fractal Reconnection. Phys. Rev. Lett. 2013, 110, 051101. [Google Scholar] [CrossRef]
- Balbus, S.A.; Hawley, J.F. A Powerful Local Shear Instability in Weakly Magnetized Disks. I. Linear Analysis. Astrophys. J. 1991, 376, 214. [Google Scholar] [CrossRef]
- Aharonian, F.; Anchordoqui, L.; Khangulyan, D.; Montaruli, T. Microquasar LS 5039: A TeV gamma-ray emitter and a potential TeV neutrino source. J. Phys. Conf. Ser. 2006, 39, 408–415. [Google Scholar] [CrossRef]
- Khangulyan, D.; Aharonian, F.; Bosch-Ramon, V. On the formation of TeV radiation in LS 5039. Mon. Not. R. Astron. Soc. 2008, 383, 467–478. [Google Scholar] [CrossRef]
- Derishev, E.V.; Aharonian, F.A.; Kocharovsky, V.V.; Kocharovsky, V.V. Particle acceleration through multiple conversions from a charged into a neutral state and back. Phys. Rev. D 2003, 68, 043003. [Google Scholar] [CrossRef]
- Ginzburg, V.L.; Syrovatskii, S.I. The Origin of Cosmic Rays; Macmillan: New York, NY, USA, 1964. [Google Scholar]
- Ackermann, M.; Ajello, M.; Allafort, A.; Baldini, L.; Ballet, J.; Barbiellini, G.; Baring, M.G.; Bastieri, D.; Bechtol, K.; Bellazzini, R.; et al. Detection of the Characteristic Pion-Decay Signature in Supernova Remnants. Science 2013, 339, 807–811. [Google Scholar] [CrossRef]
- Breit, G.; Wheeler, J.A. Collision of Two Light Quanta. Phys. Rev. 1934, 46, 1087–1091. [Google Scholar] [CrossRef]
- Heitler, W. Quantum Theory of Radiation; Clarendon: Oxford, UK, 1954. [Google Scholar]
- Aharonian, F.A. Very High Energy Cosmic Gamma Radiation: A Crucial Window on the Extreme Universe; World Scientific Publishing Co.: Singapore, 2004. [Google Scholar] [CrossRef]
- Bonometto, S.; Rees, M.J. On possible observable effects of electron pair-production in QSOs. Mon. Not. R. Astron. Soc. 1971, 152, 21. [Google Scholar] [CrossRef]
- Done, C.; Fabian, A.C. The behaviour of compact non-thermal sources with pair production. Mon. Not. R. Astron. Soc. 1989, 240, 81–102. [Google Scholar] [CrossRef][Green Version]
- Guilbert, P.W.; Fabian, A.C.; Rees, M.J. Spectral and variability constraints on compact sources. Mon. Not. R. Astron. Soc. 1983, 205, 593–603. [Google Scholar] [CrossRef]
- Dermer, C.D.; Menon, G. High Energy Radiation from Black Holes: Gamma Rays, Cosmic Rays, and Neutrinos; Princeton University Press: Princeton, NJ, USA, 2009. [Google Scholar]
- Kawanaka, N.; Kato, Y.; Mineshige, S. X-ray Emissions from Three-Dimensional Magnetohydrodynamic Coronal Accretion Flows. Publ. Astron. Soc. Jpn. 2008, 60, 399. [Google Scholar] [CrossRef]
- The Fermi-LAT collaboration. Fermi Large Area Telescope Fourth Source Catalog. arXiv 2019, arXiv:1902.10045. [Google Scholar]
- Ajello, M.; Atwood, W.B.; Baldini, L.; Ballet, J.; Barbiellini, G.; Bastieri, D.; Bellazzini, R.; Bissaldi, E.; Blandford, R.D.; Bloom, E.D.; et al. 3FHL: The Third Catalog of Hard Fermi-LAT Sources. Astrophys. J. 2017, 232, 18. [Google Scholar] [CrossRef]
- Lenain, J.P.; Ricci, C.; Türler, M.; Dorner, D.; Walter, R. Seyfert 2 galaxies in the GeV band: Jets and starburst. Astron. Astrophys. 2010, 524, A72. [Google Scholar] [CrossRef]
- Lamastra, A.; Fiore, F.; Guetta, D.; Antonelli, L.A.; Colafrancesco, S.; Menci, N.; Puccetti, S.; Stamerra, A.; Zappacosta, L. Galactic outflow driven by the active nucleus and the origin of the gamma-ray emission in NGC 1068. Astron. Astrophys. 2016, 596, A68. [Google Scholar] [CrossRef]
- Oh, K.; Koss, M.; Markwardt, C.B.; Schawinski, K.; Baumgartner, W.H.; Barthelmy, S.D.; Cenko, S.B.; Gehrels, N.; Mushotzky, R.; Petulante, A.; et al. The 105-Month Swift-BAT All-sky Hard X-ray Survey. Astrophys. J. Suppl. Ser. 2018, 235, 4. [Google Scholar] [CrossRef]
- Gruber, D.E.; Matteson, J.L.; Peterson, L.E.; Jung, G.V. The Spectrum of Diffuse Cosmic Hard X-rays Measured with HEAO 1. Astrophys. J. 1999, 520, 124–129. [Google Scholar] [CrossRef]
- Churazov, E.; Sunyaev, R.; Revnivtsev, M.; Sazonov, S.; Molkov, S.; Grebenev, S.; Winkler, C.; Parmar, A.; Bazzano, A.; Falanga, M.; et al. INTEGRAL observations of the cosmic X-ray background in the 5–100 keV range via occultation by the Earth. Astron. Astrophys. 2007, 467, 529–540. [Google Scholar] [CrossRef]
- Kinzer, R.L.; Jung, G.V.; Gruber, D.E.; Matteson, J.L.; Peterson, L.E. Diffuse Cosmic Gamma Radiation Measured by HEAO 1. Astrophys. J. 1997, 475, 361. [Google Scholar] [CrossRef]
- Ajello, M.; Greiner, J.; Sato, G.; Willis, D.R.; Kanbach, G.; Strong, A.W.; Diehl, R.; Hasinger, G.; Gehrels, N.; Markwardt, C.B.; et al. Cosmic X-ray Background and Earth Albedo Spectra with Swift BAT. Astrophys. J. 2008, 689, 666–677. [Google Scholar] [CrossRef]
- Weidenspointner, G.; Varendorff, M.; Kappadath, S.C.; Bennett, K.; Bloemen, H.; Diehl, R.; Hermsen, W.; Lichti, G.G.; Ryan, J.; Schönfelder, V. The cosmic diffuse gamma-ray background measured with COMPTEL. Am. Inst. Phys. Conf. Ser. 2000, 510, 467–470. [Google Scholar] [CrossRef]
- Aartsen, M.G.; Abraham, K.; Ackermann, M.; Adams, J.; Aguilar, J.A.; Ahlers, M.; Ahrens, M.; Altmann, D.; Anderson, T.; Archinger, M.; et al. A Combined Maximum-likelihood Analysis of the High-energy Astrophysical Neutrino Flux Measured with IceCube. Astrophys. J. 2015, 809, 98. [Google Scholar] [CrossRef]
- Ajello, M.; Gasparrini, D.; Sánchez-Conde, M.; Zaharijas, G.; Gustafsson, M.; Cohen-Tanugi, J.; Dermer, C.D.; Inoue, Y.; Hartmann, D.; Ackermann, M.; et al. The Origin of the Extragalactic Gamma-ray Background and Implications for Dark Matter Annihilation. Astrophys. J. Lett. 2015, 800, L27. [Google Scholar] [CrossRef]
- Eichler, D. High-energy neutrino astronomy: A probe of galactic nuclei? Astrophys. J 1979, 232, 106–112. [Google Scholar] [CrossRef]
- The IceCube Collaboration. The IceCube Collaboration: Contributions to the 29th International Cosmic Ray Conference (ICRC 2005), Pune, India, Aug. 2005. arXiv 2005, arXiv:astro-ph/astro-ph/0509330. [Google Scholar]
- Stecker, F.W. PeV neutrinos observed by IceCube from cores of active galactic nuclei. Phys. Rev. D 2013, 88, 047301. [Google Scholar] [CrossRef]
- Kimura, S.S.; Tomida, K.; Murase, K. Acceleration and escape processes of high-energy particles in turbulence inside hot accretion flows. Mon. Not. R. Astron. Soc. 2019, 485, 163–178. [Google Scholar] [CrossRef]
- Tashiro, M.; Maejima, H.; Toda, K.; Kelley, R.; Reichenthal, L.; Lobell, J.; Petre, R.; Guainazzi, M.; Costantini, E.; Edison, M.; et al. Concept of the X-ray Astronomy Recovery Mission. In Proceedings of the Society of Photo-Optical Instrumentation Engineers (SPIE) Conference Series, Austin, TX, USA, 6 July 2018; Volume 10699, p. 1069922. [Google Scholar] [CrossRef]
- Nandra, K.; Barret, D.; Barcons, X.; Fabian, A.; Herder, J.W.D.; Piro, L.; Watson, M.; Adami, C.; Aird, J.; Afonso, J.M.; et al. The Hot and Energetic Universe: A White Paper presenting the science theme motivating the Athena+ mission. arXiv 2013, arXiv:1306.2307. [Google Scholar]
- Gallo, L.C.; Randhawa, J.S.; Waddell, S.G.H.; Hani, M.H.; García, J.A.; Reynolds, C.S. Nuclear spallation in active galaxies. Mon. Not. R. Astron. Soc. 2019, 484, 3036–3041. [Google Scholar] [CrossRef]
- Kheirandish, A.; Murase, K.; Kimura, S.S. High-Energy Neutrinos from Magnetized Coronae of Active Galactic Nuclei and Prospects for Identification of Seyfert Galaxies and Quasars in Neutrino Telescopes. arXiv 2021, arXiv:2102.04475. [Google Scholar]
| 1 |













Publisher’s Note: MDPI stays neutral with regard to jurisdictional claims in published maps and institutional affiliations. |
© 2021 by the authors. Licensee MDPI, Basel, Switzerland. This article is an open access article distributed under the terms and conditions of the Creative Commons Attribution (CC BY) license (https://creativecommons.org/licenses/by/4.0/).
Share and Cite
Inoue, Y.; Khangulyan, D.; Doi, A. Gamma-ray and Neutrino Signals from Accretion Disk Coronae of Active Galactic Nuclei. Galaxies 2021, 9, 36. https://doi.org/10.3390/galaxies9020036
Inoue Y, Khangulyan D, Doi A. Gamma-ray and Neutrino Signals from Accretion Disk Coronae of Active Galactic Nuclei. Galaxies. 2021; 9(2):36. https://doi.org/10.3390/galaxies9020036
Chicago/Turabian StyleInoue, Yoshiyuki, Dmitry Khangulyan, and Akihiro Doi. 2021. "Gamma-ray and Neutrino Signals from Accretion Disk Coronae of Active Galactic Nuclei" Galaxies 9, no. 2: 36. https://doi.org/10.3390/galaxies9020036
APA StyleInoue, Y., Khangulyan, D., & Doi, A. (2021). Gamma-ray and Neutrino Signals from Accretion Disk Coronae of Active Galactic Nuclei. Galaxies, 9(2), 36. https://doi.org/10.3390/galaxies9020036

